Next Article in Journal
Numerical Investigation of Crack Mitigation in Tubular KT-Joints Using Composite Reinforcement
Previous Article in Journal
The Development of a Mobile E-Nose System for Real-Time Beef Quality Monitoring and Spoilage Detection
 
 
Font Type:
Arial Georgia Verdana
Font Size:
Aa Aa Aa
Line Spacing:
Column Width:
Background:
Proceeding Paper

Forecasting Teletraffic Performance Using Regression Analysis, FNNN, GRNN and CFNN †

by
Ivelina Balabanova
and
Georgi Georgiev
*
Department of Communications Equipment and Technologies, Technical University of Gabrovo, 5300 Gabrovo, Bulgaria
*
Author to whom correspondence should be addressed.
Presented at the 4th International Conference on Communications, Information, Electronic and Energy Systems (CIEES 2023), Plovdiv, Bulgaria, 23–25 November 2023.
Eng. Proc. 2024, 60(1), 11; https://doi.org/10.3390/engproc2024060011
Published: 9 January 2024

Abstract

This paper presents an approach for the predictive analysis of teletraffic performance indices through derived analytical and regression structures based on Artificial Intelligence. The systematization of synthesis, testing, and verification processes for simulation-modeled teletraffic ICT infrastructure with queue service organization was carried out. The forecast models for the selected system throughput and system response time indices against the specific complex indicator Service Demand were obtained. Polynomial regression models based on the Coefficient of determination R were achieved. In the course of procedural teletraffic forecasting, we used Feed-Forward Neural Networks (FFNNs), Generalized Regression Neural Networks (GRNNs), and Cascade-Forward Neural Networks. The selection of neural models was performed as the functional minimization of the Mean-Squared Error (MSE) and Mean Absolute Error (MAE).

1. Introduction

One of the main aspects of adequate traffic planning in modern telecommunications systems is associated with the ability to predict optimal levels of basic productivity indices with the optimal allocation of computing resources [1,2,3]. These processes are particularly relevant in queue systems linked to monitoring the speed and reliability of package processing. An essential qualitative indicator that characterizes packet data transmission in strategic and conceptual traffic planning activities in these systems is the Teletraffic Sevice Demand [4,5,6,7,8]. The stated indicator is related to the overall diagnosis and prediction of the behavior of a specific telecommunications system. Its impact on quantitative changes in qualitative parameters of incoming and outgoing traffic, as well as identifying service user requests, is particularly important [9,10]. Classical regression analysis with the STATOSTICA package is an essential tool in predictive procedures regarding the teleraffic load, bottlenecks, and packet losses for various server resources in modern telecommunication systems. Significant traffic indices subject to targeted forecast analysis are the variation times of arrival and release of processed service requests. Minimization procedures based on conventional and non-conventional methods and optimization algorithms can be applied in relation to these specified parameters [11,12,13].
A telecommunication objective system with queue data structures was created by imitation modeling in Java Modeling Tool software (https://www.onworks.net/software/app-java-modelling-tools accessed on 26 June 2023). This paper introduces a synthesis task and an innovative approach for the predictive analysis of system throughput and system response time dependent on the Service Demand indicator, significant for traffic and network planning resources. This approach integrates and combines regression analysis, and Artificial Intelligence categories—FFNN, GRNN, and CFNN techniques.

2. Regression Models for Predicting Performance Indices

Studies on the systematization of the predictive analysis approach were divided into two stages. The first stage is related to the assessment of the adequacy of mathematical regression models of the zero and second degree (1) with the product STATISTICA in terms of the following defined indicators:
  • x1—controllable factor system demand, s;
  • y1 and y2—system throughput and system response time output parameters.
y = b0 + b1x1 + b11x12.
Figure 1 illustrates the obtained output data from the application of the set regression analysis in relation to model (1) selected due to the higher obtained values of the Coefficient of determination R2 for the forecasted traffic performance indices. In an analysis against the basic polynomial model (1), very high levels of R2 were achieved, respectively, with R2 = 0.99999789 at y1 and R2 = 0.99998982 for factor y2. All experimental regression beta coefficients bi were assessed as significant against an accepted level of significance α = 0.05.
y1 = 44.68508 − 0.85155x1 − 1.37503x12
y2 = 0.224490 + 0.002054x1 + 0.008986x12
The final regression models (2) and (3) were derived to predict the potential performance indices for the imitation modeled teletraffic system.

3. Neural Apparatus for Predictive Analysis of Traffic Indices

The second stage of the studies is focused on activities to diagnose the effectiveness of FFNNs, GRNNs, and CFNNs neurons versus the assessment of MSE and MAE criteria in procedural traffic prediction in MATLAB. The listed categories of neural structures were analyzed with train, validation, and test data sets as follows:
  • Predictors—(1) system demand, s (x1) and (2) the values of the teletraffic indicator System demand raised to the second power (x12);
  • Target output indexes—system throughput and system response time, respectively (y1) and (y2).

3.1. Feed-Forward Neural Networks Investigation

Table 1 summarizes the resulting levels of the specified quality assessment criteria for the learning process of feed-forward structures with Levenberg–Marquardt (LM) in the system throughput parameter. MSE and MAE indices were examined for a fixed change in computational units in the interlayer of test FFNNs 5 to 15. Maximum errors MSE = 0.0294 and MAE = 0.1071 for neural architecture at five structural hidden neurons were observed. Minimum readings of the 6.8843 × 10−4 and 0.0189 quality indicators were achieved for FFNN with six hidden neurons.
The selected final neural model with direct signal propagation and backpropagation error for the predictive analysis of the system throughput index is given in Figure 2. This model is made of three structural layers with a set of hyperbolic tangent and linear transfer functions in hidden and output layers.

3.2. Generalized Regression Neural Networks Analysis

The next phase consists of monitoring the adequacy of the tool of the four-layer Generalized Regression Neural Networks in the task of predictive analysis. A peculiarity of this type of neural architecture is the invariable number of neurons in the second structural layer with the application of the Gaussian activation function, equal to the number of standards in the applied input information set. The basic GRNN architecture is shown in Figure 3.
The selection of GRNN forecast models is based on the MSE and MAE, studying variations in the process of an incremental increase in the value of the specific spread indicator in the radial basis network layer in an experimentally determined range. Table 2 shows the data of the registered values of MSE and MAE for the two targeted teletraffic performance indices. A general trend of an exponential error increase was observed with an ascending smooth change in the function parameter spread from 0.050 to 0.300 at the two forecast indicators. The highest levels of criteria for system throughput and system response time were established in spread = 0.300, as follows “MSE = 0.0214 and MAE = 0.1144” and “MSE = 6.4204 × 10−7 and MAE = 6.2290 × 10−4”. With the minimum set grade with the greatest degree of suitability spread = 0.050, the functions in the radial basis structural layer of GRNN achieved the lowest levels MSE = 1.01008 × 10−4, MAE = 0.0042 for system throughput and MSE = 2.9993 × 10−9, MAE = 2.21640 × 10−5 at system response time.
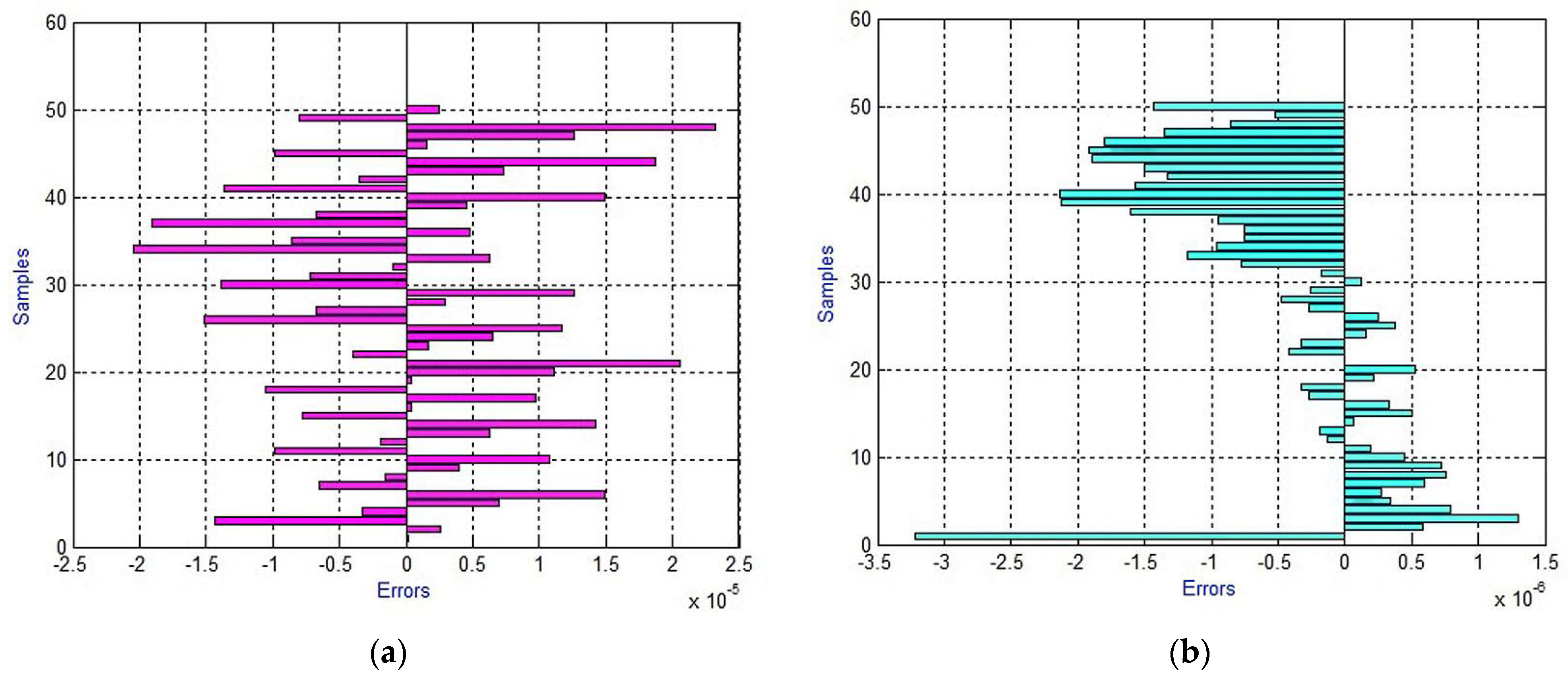
Similarly to the previous category of neural networks, an assessment of the differences between the theoretical and the obtained experimental values of the target teletraffic parameters was conducted using the Residual diagrams of Figure 4.
In connection with the selected GRNNs for regression modeling at spread = 0.050, error variations in the forecast indices system throughput and system response time, falling within the ranges “−0.0400 to 0.0453” and “−2.3781 × 10−4 to 2.3022 × 10−4”, were observed. The overall trend for the studied teletraffic indices was the registered peaks at the initial and final benchmarks of the applied test information set. The final assessment at GRNN was associated with a finding to a lesser extent for better advantages compared to the experimental residue values and those of the selected FFNN model for the system throughput index.

3.3. Cascade-Forward Neural Networks Estimation

The final phase of the present research covers the selection activities of Cascade-Forward Neural Networks for the purposes of teletraffic forecasting. This category of neural networks is considered a variety of FFNNs with corresponding structural differences related to the presence of a direct connection between the input and output layer and the inclusion of a second weight matrix to the output layer.
Similar training procedures with an LM approach in the structural alteration of hidden neurons in the known range of 5 to 15 computational units in terms of the complex analysis of MSE and MAE quality indicators have been applied. The results of a CFNN performance study are presented in Table 3. Neural architectures, achieving the requirements for the minimization of the analyzed indicators, were found with 7 for system throughput and 14 hidden neurons in the system response time index, as shown in Figure 5.
The achieved minimum error levels fall in consecutive orders of magnitude of “1.0782 × 10−10—MSE for y1”, “8.5520 × 10−6—MAE at y1”, “1.1041 × 10−12—MSE in y2” and “8.0021 × 10−7—MAE for y2”. The following highest values of the quality criteria groups MSE = 5.8023 × 10−9, MAE = 5.7095 × 10−5 at system throughput and MSE = 4.0863 × 10−9, MAE = 5.3444 × 10−5 for teletraffic system response time were obtained.
In the research process, it was established that the synthesized Cascade-Forward Models outperformed GRNNs to a significant degree. This is expressed by the Residual plot in Figure 6, where lower residue variation ranges were achieved. Regarding the system throughput and system response time index, the following limit quantitative estimates were observed: “−2.0396 × 10−5 to 2.3236 × 10−5” and “−3.2148 × 10−6 to 1.3014 × 10−5”.

4. Conclusions

The proposed approach for predictive analysis based on regression modeling and diagnosis via classical regression analysis, FFNN, GRNN, and CFNN, by evaluating a set of complex criteria, shows very good effectiveness.
The projected models from the conducted studies allow conceptual planning and the adaptation of the test imitation modeling teletraffic in accordance with the observance and maintenance of the set configuration parameters to the systems for servicing different types of traffic and categories of packages with good reliability.
The developed approach gives the opportunity for system upgrading with the inclusion of additional analytical tools and implementation in systems for monitoring and administering network traffic in communications.

Author Contributions

Conceptualization, I.B. and G.G.; methodology, I.B and G.G.; software, I.B and G.G.; validation, I.B. and G.G.; formal analysis, I.B. and G.G.; investigation, I.B. and G.G.; resources, I.B. and G.G.; data curation, I.B. and G.G.; writing—original draft preparation, I.B. and G.G.; writing—review and editing, I.B. and G.G.; visualization, I.B. and G.G.; supervision, I.B. and G.G.; project administration, I.B. and G.G.; funding acquisition, Internal project for Technical University of Gabrovo. All authors have read and agreed to the published version of the manuscript.

Funding

This research received no external funding.

Institutional Review Board Statement

Not applicable.

Informed Consent Statement

Not applicable.

Data Availability Statement

Detailed information about the presented study can be freely obtained by contacting the authors.

Conflicts of Interest

The authors declare no conflict of interest.

References

  1. Iversen, V. Teletraffic Engineering and Network Planning, 1st ed.; DTU Fotonik: Kongens Lyngby, Denmark, 2015; pp. 300–398. [Google Scholar]
  2. Boulearu, I.P.; Bechet, P.I.; Sarbu, A.H. A Survey on Network Planning and Traffic Engineering for Deployable Networks. In Proceedings of the International Conference Knowledge-Based Organization, Sibiu, Romania, 11–13 June 2020. [Google Scholar]
  3. Logothetis, M.A.; Moscholios, I.D. Teletraffic models. Wiley StatsRef Stat. Ref. Online 2022, 1, 1–9. [Google Scholar]
  4. Penttinen, T. The Telecommunicatons Handbook Engineering Guidelines for Fixed, Mobile and Satellite Systems, 1st ed.; Wiley: New York, NY, USA, 2015; pp. 500–1008. [Google Scholar]
  5. Iannone, E. Telecommunications Networks, 1st ed.; CRC Press: Boca Raton, FL, USA, 2012; pp. 120–508. [Google Scholar]
  6. Giambere, G. Queuing Theory and Telecommunications, 2nd ed.; Springer: Berlin/Heidelberg, Germany, 2015; pp. 100–537. [Google Scholar]
  7. Adan, I.; Resing, J. Queueing Systems, 1st ed.; Springer: Berlin/Heidelberg, Germany, 2021; pp. 50–182. [Google Scholar]
  8. Alfa, A. Queueing Theory for Telecommunications, 1st ed.; Springer: Berlin/Heidelberg, Germany, 2010; pp. 100–356. [Google Scholar]
  9. Konyrova, M.K.; Kumyzbayeva, S.L.; Ilev, T.B.; Chezhimbayeva, K.N. Effenciency Assessment of IoT Devices Control with Teletraffic Theory. East.-Eur. J. Enterp. Technol. 2023, 3, 49–59. [Google Scholar]
  10. Giambere, G. Queuing Theory and Telecommunications: Networks and Applications, 2nd ed.; Springer: Berlin/Heidelberg, Germany, 2014; pp. 250–357. [Google Scholar]
  11. Ivanova, E.P.; Iliev, T.B.; Stoyanov, I.S.; Mihaylov, G.Y.; Radev, D.I. Defining Significant Parameters in Teletraffic Systems. In Proceedings of the International Confefence Telecommunications, Informatics, Energy and Management, Kavala, Greece, 12–14 September 2019. [Google Scholar]
  12. Sadinov, S.M.; Balabanova, I.S.; Georgiev, G.I. Statistical Models for Predicting of Teletraphic Parameters of Markov Chain. Int. J. Inf. Models Anal. 2018, 7, 77–88. [Google Scholar]
  13. Balabanova, I.S.; Kostadinova, S.C.; Georgiev, G.I. Regression Analysis and Optimization of Teletraffic Models for Parameters Forecasting. In Proceedings of the International Conference Telecommunications, Informatics, Energy and Management, Kavala, Greece, 12–14 September 2019. [Google Scholar]
Figure 1. Regression results in checking the adequacy of a model (1) for the performance index (a) system throughput and (b) system response time.
Figure 1. Regression results in checking the adequacy of a model (1) for the performance index (a) system throughput and (b) system response time.
Engproc 60 00011 g001
Figure 2. Selected FFNN architecture for the prediction of a system throughput performance indicator.
Figure 2. Selected FFNN architecture for the prediction of a system throughput performance indicator.
Engproc 60 00011 g002
Figure 3. GRNN structure for predictive performance of the system throughput and system response time indices.
Figure 3. GRNN structure for predictive performance of the system throughput and system response time indices.
Engproc 60 00011 g003
Figure 4. Residuals plot for GRNN to predict the teletraffic indicator system throughput (a) and system response time (b) in spread = 0.050.
Figure 4. Residuals plot for GRNN to predict the teletraffic indicator system throughput (a) and system response time (b) in spread = 0.050.
Engproc 60 00011 g004
Figure 5. CRNNs to predict performance indicator levels—(a) system throughput and (b) system response time.
Figure 5. CRNNs to predict performance indicator levels—(a) system throughput and (b) system response time.
Engproc 60 00011 g005
Figure 6. Residuals plot in CFNNs for performance analysis of system throughput (a) and system response time (b).
Figure 6. Residuals plot in CFNNs for performance analysis of system throughput (a) and system response time (b).
Engproc 60 00011 g006
Table 1. Results of a study of FFNN models for the prediction of the teletraffic indicator system throughput in LM training.
Table 1. Results of a study of FFNN models for the prediction of the teletraffic indicator system throughput in LM training.
Hidden NeuronsSystem Throughput
MSEMAE
50.02940.1071
66.8843 × 10−40.0189
70.00380.0488
88.3449 × 10−40.0256
90.00480.0523
100.00530.0653
110.00390.0517
120.00400.0480
130.00930.0919
140.00280.0444
150.00480.0606
Table 2. Quality evaluation results of GRNN models for predicting performance indicator levels.
Table 2. Quality evaluation results of GRNN models for predicting performance indicator levels.
Spread
Indicator
System ThroughputSystem Response Time
MSEMAEMSEMAE
0.0501.0108 × 10−40.00422.9993 × 10−92.2164 × 10−5
0.0753.4460 × 10−40.00911.0252 × 10−84.8472 × 10−5
0.1008.1530 × 10−40.01562.4299 × 10−88.3690 × 10−5
0.1250.00160.02364.7319 × 10−81.2712 × 10−4
0.1500.00270.03318.1474 × 10−81.7830 × 10−4
0.1750.00430.04381.2892 × 10−72.3670 × 10−4
0.2000.00640.05581.9185 × 10−73.0184 × 10−4
0.2250.00910.06892.7244 × 10−73.7342 × 10−4
0.2500.01240.08313.7294 × 10−74.5111 × 10−4
0.2750.01650.09834.9550 × 10−75.3435 × 10−4
0.3000.02140.11446.4204 × 10−76.2290 × 10−4
0.0501.0108 × 10−40.00422.9993 × 10−92.2164 × 10−5
Table 3. Examine the quality of CFNN models for predicting traffic performance parameters.
Table 3. Examine the quality of CFNN models for predicting traffic performance parameters.
Hidden
Neurons
System ThroughputSystem Response Time
MSEMAEMSEMAE
51.6415 × 10−92.0126 × 10−57.5662 × 10−102.0018 × 10−5
61.0022 × 10−91.4178 × 10−56.0152 × 10−115.7154 × 10−6
71.0782 × 10−108.5520 × 10−61.3590 × 10−108.1408 × 10−6
82.2607 × 10−109.8568 × 10−62.0148 × 10−121.2498 × 10−6
91.6997 × 10−109.0878 × 10−65.3233 × 10−115.0956 × 10−6
105.8023 × 10−95.7095 × 10−54.0863 × 10−95.3444 × 10−5
111.8411 × 10−101.1316 × 10−56.3765 × 10−121.5975 × 10−6
121.3511 × 10−109.4508 × 10−67.2580 × 10−102.2891 × 10−5
131.7786 × 10−91.7127 × 10−53.3792 × 10−101.5585 × 10−5
147.3851 × 10−101.8198 × 10−51.1041 × 10−128.0021 × 10−7
153.0354 × 10−93.3020 × 10−56.6437 × 10−102.0675 × 10−5
51.6415 × 10−92.0126 × 10−57.5662 × 10−102.0018 × 10−5
Disclaimer/Publisher’s Note: The statements, opinions and data contained in all publications are solely those of the individual author(s) and contributor(s) and not of MDPI and/or the editor(s). MDPI and/or the editor(s) disclaim responsibility for any injury to people or property resulting from any ideas, methods, instructions or products referred to in the content.

Share and Cite

MDPI and ACS Style

Balabanova, I.; Georgiev, G. Forecasting Teletraffic Performance Using Regression Analysis, FNNN, GRNN and CFNN. Eng. Proc. 2024, 60, 11. https://doi.org/10.3390/engproc2024060011

AMA Style

Balabanova I, Georgiev G. Forecasting Teletraffic Performance Using Regression Analysis, FNNN, GRNN and CFNN. Engineering Proceedings. 2024; 60(1):11. https://doi.org/10.3390/engproc2024060011

Chicago/Turabian Style

Balabanova, Ivelina, and Georgi Georgiev. 2024. "Forecasting Teletraffic Performance Using Regression Analysis, FNNN, GRNN and CFNN" Engineering Proceedings 60, no. 1: 11. https://doi.org/10.3390/engproc2024060011

APA Style

Balabanova, I., & Georgiev, G. (2024). Forecasting Teletraffic Performance Using Regression Analysis, FNNN, GRNN and CFNN. Engineering Proceedings, 60(1), 11. https://doi.org/10.3390/engproc2024060011

Article Metrics

Back to TopTop