Next Article in Journal
Assessing Disparities in Community Water Fluoridation across US States: A Spectral Clustering Approach
Previous Article in Journal
Planning of Solar Steam Cooking System at SMVDU
 
 
Font Type:
Arial Georgia Verdana
Font Size:
Aa Aa Aa
Line Spacing:
Column Width:
Background:
Proceeding Paper

Absorption and Dispersion Properties of a Coupled Asymmetric Double Quantum Dot Molecule–Metal Nanoparticle Structure †

by
Spyridon G. Kosionis
* and
Emmanuel Paspalakis
Materials Science Department, School of Natural Sciences, University of Patras, 265 04 Patras, Greece
*
Author to whom correspondence should be addressed.
Presented at the 4th International Electronic Conference on Applied Sciences, 27 October–10 November 2023; Available online: https://asec2023.sciforum.net/.
Eng. Proc. 2023, 56(1), 244; https://doi.org/10.3390/ASEC2023-15299
Published: 26 October 2023
(This article belongs to the Proceedings of The 4th International Electronic Conference on Applied Sciences)

Abstract

:
The interaction of excitons with localized surface plasmons in hybrid nanostructures containing semiconductor quantum dots and metal nanoparticles, under specific conditions, may generate products with collective optical properties that have an abundance of potential applications in the area of nanotechnology. In the present study, we explore the behavior of the linear absorption and dispersion properties of the double-semiconductor quantum dot molecule in the presence of a spherical metal nanoparticle. We find that a transparency window arises in the absorption spectrum, the width of which decreases with the decrease in the electron tunnelling rate. In the low-electron-tunnelling regime, slow light is generated, an effect closely associated with tunneling-induced transparency. The enhancement of the tunneling rate induces a broadening in the transparency window, occurring due to the Autler–Townes splitting. The investigation of the impact of the distance between the quantum dot and the metal nanoparticle on the slowdown factor and the width of the transparency window shows that, by transposing the metal nanoparticle closer to the double-semiconductor quantum dot molecule, the transparency window widens.

1. Introduction

The potential properties arising from the interaction of semiconductor quantum dots (SQDs) with electromagnetic fields have been studied intensely in recent years for their applications in nanophotonics and quantum technologies. The asymmetric double-semiconductor quantum dot molecule is a semiconductor quantum dot nanostructure that exhibits unique optical properties [1,2,3,4,5,6], leading, for example, to important quantum optical phenomena like tunneling-induced transparency, Autler–Townes splitting, and slow light generation without the need for an external electromagnetic field. When semiconductor quantum dots and metal nanoparticles (MNPs) are placed close to each other, with distances in range of a few nanometers, coupled nanostructures are created that have, in many cases, enhanced optical properties in comparison to the individual components. Recently, attention has been given to the optical properties of a coupled nanostructure fabricated by coupling a metal nanoparticle to a double-semiconductor quantum dot molecule [7,8,9,10].
In the present study, the behavior of the absorption and dispersion properties of the double-semiconductor quantum dot molecule in the presence of a spherical metal nanoparticle is explored by applying a theoretical approach. Specifically, tunneling-induced transparency, Autler–Townes splitting, and slow light generation are obtained in the double-SQD structure in the presence of the metal nanoparticle. Further, their properties are studied in relation to interparticle distance between the semiconductor quantum dot structure and the metal nanoparticle.

2. Methods

The hybrid nanostructure being studied consists of a spherical MNP and an asymmetric double-SQD molecule. The electric permittivities of the SDQs and the environment are denoted by ε S and ε e n v , respectively, while the electric permittivity of the MNP is described by the frequency-dependent function ε m ( ω ) . We symbolize the center-to-center distance between the components of the hybrid with R and the radius of the MNP with a . The SQDs are assumed to have different band structures, while their coupling is achieved due to the coherent tunneling effect.
The hybrid nanostructure is subjected to a classical electromagnetic field, with amplitude E and angular frequency ω . This excites the interband transition 0 1 , as shown in Figure 1. A continuum of states is used to model the surface plasmons induced on the MNP and the exciton states of the asymmetric double-SQD molecule can be depicted as a characteristic Λ-type energy-level pattern: 0 is the ground state, 1 is the direct exciton state (the excited electron and the hole are both located in the same SQD) and 2 is the indirect exciton state (the excited electron is transferred to the second SQD, due to coherent electron tunneling, while the hole remains in the first SQD). The tunneling rate T e is adjusted by modifying the value of a gate voltage applied to the SQDs. Long-range electrostatic interaction couples the SQDs to the MNP.
The Hamiltonian of the system, in the dipole approximation, is written as a summation of the terms H i , with i = 1 , 2 , 3 . In this case, H 1 = n = 1 , 2 Ε n n n describes the unperturbed Λ-type system, with Ε n denoting the energy of state n , while H 2 = G ρ 10 ( t ) + Ω e i ω t + c . c 0 1 + 1 0 owes its presence to the coupling of the asymmetric SQD molecule with the incident field, where G = n = 1 N s n γ n a 2 n + 1 μ 2 / 4 π ε e n v ε e f f S 2 R 2 n + 4 is related to the self-interaction of the SQD molecule and Ω = E μ / ( 2 ε e f f S ) 1 + s a γ 1 a 3 / R 3 is the Rabi frequency, with μ symbolizing the electric dipole moment of the 0 1 transition ε e f f S = ( ε S + 2 ε e n v ) / ( 3 ε e n v ) and γ n = ε m ( ω ) ε e n v / ε e n v ( n + 1 ) / n + ε m ( ω ) . Finally, H 3 = T e 1 2 + c . c . counts for electron tunneling between the SQDs, where T e is the tunneling rate coefficient.
Next, we derive the density matrix equations under the rotating wave approximation and apply a first-order expansion approximation to the density matrix elements, with respect to the amplitude of the probe field, ρ n m = ρ n m ( 1 ) + Ω * e i ω t ρ n m ( 2 ) + Ω e i ω t ρ n m ( 3 ) , where | ρ n m ( 2 ) | , | ρ n m ( 3 ) | < < | ρ n m ( 1 ) | . We then obtain a set of differential equations, which are solved in the steady state. In order to explore the linear optical response (dispersion and absorption) of the asymmetric SQD molecule to the probe field, we should calculate the real and the imaginary parts of the optical susceptibility
χ S Q D ( 1 ) ( ω ) = 2 ( Γ / V ) μ / ( ε 0 E ) ρ 01 ( 2 ) * ( ω ) ,
where ( Γ / V ) denotes the ratio of the squared electric field restricted in the active region of an SQD to the volume of an SQD.
The slowdown factor for the light propagating through the asymmetric SQD is
S ( ω ) = n ( ω ) + ω 𝜕 n ( ω ) / 𝜕 ω ,
where n ( ω ) = Re [ 1 + χ S Q D ( 1 ) ( ω ) ] is the index of refraction.

3. Results and Discussion

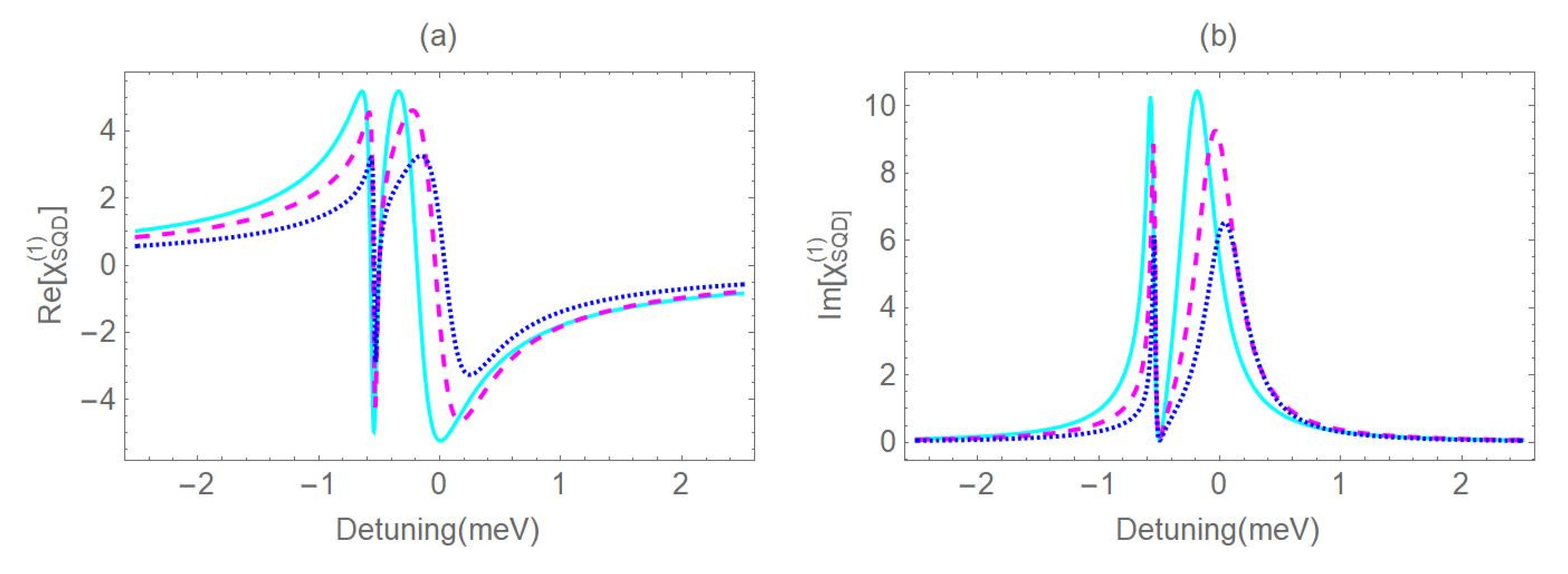
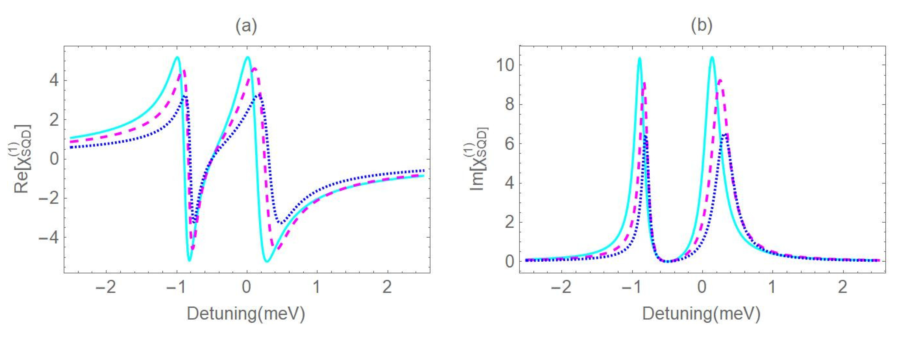
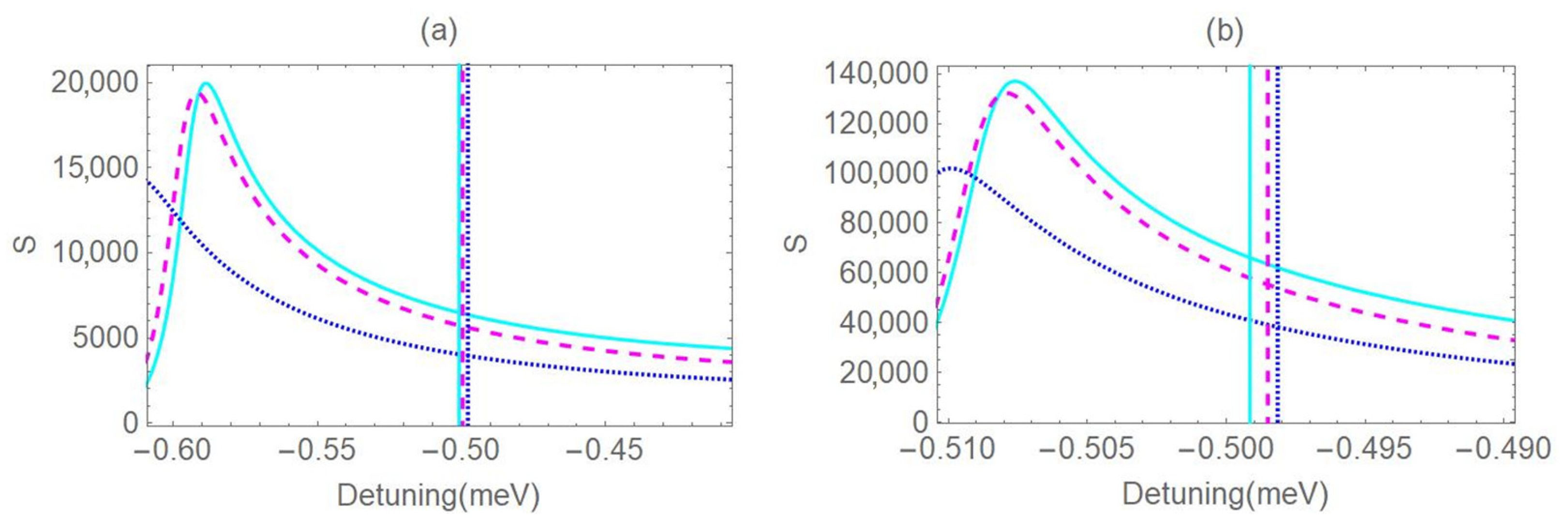
In Figure 2 and Figure 3, we investigate the profile of the linear dispersion, caption (a), and absorption spectra, caption (b), for the SQD, as a function of the field detuning Δ = ( ω ω 01 ) of the incident field with regard to the 0 1 transition, in two distinct electron tunnelling regimes ( T e = 0.5  meV , in Figure 2 and 0.15  meV , in Figure 3). In Figure 4, we present the slowdown factor for the light propagating through the double-SQD molecule, as a function of the detuning ( ω ω 01 ) , for a high, caption (a), and a low, caption (b), electron tunneling rate. Discrete line styles are used to indicate different values of the interparticle distance ( R = 11.5 nm: turquoise solid curve, 13 nm: magenta dashed curve and 80 nm: blue dotted curve). We use the values of the decay rates Γ 10 = 0.022  meV , Γ 12 = 0 , and Γ 20 = 0.0001  meV and the dephasing rates γ 01 = 0.22  meV , γ 12 = 0.1  meV , and γ 02 = 0.001  meV , which are typical for InAs/GaAs SQDs. The nanostructure is surrounded by a vacuum and the hybrid structure is placed in vacuum ( ε e n v = ε 0 ), and the electric permittivity of the SQDs is six times that of the one corresponding to vacuum conditions ( ε S = 6 ε 0 ), as shown in Ref. [8]. The dipole moment for the interband optical transition is μ = 0.65 e   n m and the energy difference between levels 0 and 1 is ω 01 = 1.4  eV . In the strong confinement regime, we assume that Γ / V = 5 × 10 23   m 3 [8]. The polarization of the probe field is assumed to be in parallel with the interparticle axis and, hence, s a = 2 and s n = ( n + 1 ) 2 . The MNP has a fixed size, with radius a = 7.5   nm , while, for its electric permittivity function ε m ( ω ) , we use the experimental data that correspond to gold, as indicated in Ref. [11]. We find that it is sufficient to keep N = 10 terms, while applying the multipole polarization regime in order to calculate the self-interaction coefficient G , since the results reach convergence.
In Figure 2a,b, we present the linear dispersion spectrum and absorption spectrum, for the SQD, respectively, for different values of the parameter R in the strong tunneling regime, with T e = 0.5  meV . Considering an infinitesimal interaction between the components of the nanostructure, a condition practically accomplished at the distance of 80  nm , we observe that the spectral profile of Re [ χ S Q D ( 1 ) ] (/ Im [ χ S Q D ( 1 ) ] ) is composed of two dispersion-like (/Lorentzian-type) resonances centered at ω ω 01 ω 12 / 2 G R / 2 ± ( ω 12 G R ) 2 + 4 T e 2 / 2 , where G R = Re ( G ) . The full width at half maximum (FWHM) values of the resonances that arise on the spectrum of Im [ χ S Q D ( 1 ) ] are given by the formulae 1 ± ( ω 12 G R ) / ( ω 12 G R ) 2 + T e 2 γ 01 . We also found that, in the limiting case where the upper states are degenerate ( ω 12 = 0 ), the profiles of these spectra become antisymmetric and symmetric, respectively. In the general case, the value of Im [ χ S Q D ( 1 ) ] , at the position of its local minimum ( ω ω 01 ω 12 ), is
Im [ χ S Q D ( 1 ) ] min = 2 Γ V μ Ω R ε 0 E γ 02 γ 01 γ 02 + T e 2 ,
which exhibits dependence on the interparticle distance, as the second term of the Rabi frequency is proportional to R 3 . The minimum absorption is found and this leads to the phenomenon of tunneling-induced transparency. This value cannot be equal to zero for a non-zero tunneling rate coefficient since the first term of the Rabi frequency cannot be eliminated for any value of the interparticle distance, as it is R -independent. When the asymmetric SQD molecule is brought closer to the MNP due to the increase in the G R parameter, the distance between the resonances along the horizontal axis, and the difference of the FWHM that corresponds to the resonances of the absorption spectrum should both increase based on the analytical formulae given above.
In Figure 3, we investigate the linear optical response of the SQD for a lower electron tunneling rate ( T e = 0.15  meV ). We can show that the amplitude of maximal absorption is independent of the tunneling rate, which explains why the magnitude of the absorption resonances remains the same for a given value of the parameter R as the one detected in Figure 2b, with T e = 0.5  meV . Furthermore, the distance between the positions of the resonances and the discrepancy of the FWHM arising on the Im [ χ S Q D ( 1 ) ] spectrum should both increase with the increase in the electron tunneling rate. This result is in accordance with the findings stemming from the comparison of Figure 2 with Figure 3, where the value of T e is taken equal to 0.15  meV . We also note that the slope of the linear dispersion spectrum Re [ χ S Q D ( 1 ) ] , at the position where the absorption is minimized, is steeper compared to the corresponding slope in the high tunneling rate regime, Figure 2a. This leads to a decrease in the group velocity of the propagated light within the SQD (see also Figure 4). The substantial slowing down of light combined with the quite narrow transparency window is a consequence of the tunneling-induced transparency [3]. This is different in the case of the low-electron tunneling regime, where the smooth slope and the broad transparency window originate from the Autler–Townes splitting effect [3].

4. Conclusions

In summary, we theoretically explored the linear optical response of an asymmetric tunneling-controlled double-SQD–MNP to an incident electromagnetic field. We used a density matrix approach and calculated the real and imaginary parts of the linear optical susceptibility of the SQD in the presence of the MNP. We found that, in the high-electron tunnelling regime, a broad transparency window originating from the Autler–Townes effect arose on the absorption spectrum, which was approximately centered around a field detuning equal to the energy gap between the upper states of the double-SQD molecule. In the low-electron tunneling regime, the width of this transparency window diminishes, while the slope of the absorption spectrum increases. We can take advantage of this effect known as tunneling-induced transparency for the precipitation of light within the medium. We also found that the decrease in the distance between the counterparts of the hybrid nanostructure induces a broadening of the transparency window.

Author Contributions

Conceptualization, S.G.K. and E.P.; methodology, S.G.K. and E.P.; software, S.G.K.; validation, S.G.K. and E.P.; investigation S.G.K. and E.P.; writing—original draft preparation, S.G.K. and E.P.; writing—review and editing; S.G.K. and E.P.; visualization, S.G.K.; supervision, E.P.; All authors have read and agreed to the published version of the manuscript.

Funding

This research received no external funding.

Institutional Review Board Statement

Not applicable.

Informed Consent Statement

Not applicable.

Data Availability Statement

The data presented in this study are available on request from the corresponding author.

Conflicts of Interest

The authors declare no conflicts of interest.

References

  1. Villas-Boas, J.M.; Govorov, A.O.; Ulloa, S.E. Coherent control of tunneling in a quantum dot molecule. Phys. Rev. B 2004, 69, 125342. [Google Scholar] [CrossRef]
  2. Borges, H.S.; Sanz, L.; Villas-Boas, J.M.; Alcalde, A.M. Robust states in semiconductor quantum dot molecules. Phys. Rev. B 2010, 81, 075322. [Google Scholar] [CrossRef]
  3. Yao, H.-F.; Cui, N.; Niu, Y.-P.; Gong, S.-Q. Voltage-controlled coherent population transfer in an asymmetric semiconductor quantum dot molecule. Photonics Nanostruct. Fundam. Appl. 2011, 9, 174–178. [Google Scholar] [CrossRef]
  4. Voutsinas, E.; Terzis, A.F.; Paspalakis, E. Control of indirect exciton population in an asymmetric quantum dot molecule. Phys. Lett. A 2014, 378, 219–225. [Google Scholar] [CrossRef]
  5. Yuan, C.-H.; Zhu, K.-D. Voltage-controlled slow light in asymmetry double quantum dots. Appl. Phys. Lett. 2006, 89, 052115. [Google Scholar] [CrossRef]
  6. Borges, H.S.; Sanz, L.; Villas-Bôas, J.M.; Diniz Neto, O.O.; Alcalde, A.M. Tunneling induced transparency and slow light in quantum dot molecules. Phys. Rev. B 2012, 85, 115425. [Google Scholar] [CrossRef]
  7. You, Y.; Qi, Y.H.; Niu, Y.-P.; Gong, S.-Q. Control of electromagnetically induced grating by surface plasmon and tunneling in a hybrid quantum dot-metal nanoparticle system. J. Phys. Condens. Matt. 2019, 31, 105801. [Google Scholar] [CrossRef] [PubMed]
  8. Kosionis, S.G.; Paspalakis, E. Controlling the pump-probe optical response in asymmetric tunneling-controlled double quantum dot molecule—Metal nanoparticle hybrids. Appl. Sci. 2021, 11, 11714. [Google Scholar] [CrossRef]
  9. Akram, H.; Abdullah, M.; Al-Khursan, A.H. Energy absorbed from double quantum dot-metal nanoparticle hybrid system. Sci. Rep. 2022, 12, 21495. [Google Scholar] [CrossRef] [PubMed]
  10. Kosionis, S.G.; Paspalakis, E. Coherent effects in energy absorption in double quantum dot molecule–Metal nanoparticle hybrids. Phys. E Low-Dimens. Syst. Nanostruct. 2022, 135, 114907. [Google Scholar] [CrossRef]
  11. Johnson, P.B.; Christy, R.W. Optical constants of the noble metals. Phys. Rev. B 1972, 6, 4370. [Google Scholar] [CrossRef]
Figure 1. Schematic energy-level configuration of the double-SQD molecule (right) and the MNP (left) coupled together via Coulomb interaction. The surface plasmons induced on the MNP are modeled as a continuum of energy states and the exciton states of the asymmetric double-SQD molecule correspond to a typical Λ-type energy-level configuration.
Figure 1. Schematic energy-level configuration of the double-SQD molecule (right) and the MNP (left) coupled together via Coulomb interaction. The surface plasmons induced on the MNP are modeled as a continuum of energy states and the exciton states of the asymmetric double-SQD molecule correspond to a typical Λ-type energy-level configuration.
Engproc 56 00244 g001
Figure 2. The spectra of the real and the imaginary part of χ S Q D ( 1 ) , captions (a) and (b), respectively, for various interparticle distances ( R = 11.5   nm : turquoise solid curve, 13   nm : magenta dashed curve and 80   nm : blue dotted curve), for a tunneling rate coefficient T e = 0.5  meV . The values of the rest physical parameters are provided in Section 3.
Figure 2. The spectra of the real and the imaginary part of χ S Q D ( 1 ) , captions (a) and (b), respectively, for various interparticle distances ( R = 11.5   nm : turquoise solid curve, 13   nm : magenta dashed curve and 80   nm : blue dotted curve), for a tunneling rate coefficient T e = 0.5  meV . The values of the rest physical parameters are provided in Section 3.
Engproc 56 00244 g002
Figure 3. Same spectra as in Figure 2, with T e = 0.15  meV .
Figure 3. Same spectra as in Figure 2, with T e = 0.15  meV .
Engproc 56 00244 g003
Figure 4. The slowdown factor, S , as a function of the field detuning, for the same values of the physical parameters as the ones used in Figure 2 and Figure 3, in captions (a) and (b), respectively. The vertical lines intersect the horizontal axis at the position where Im [ χ M N P ( 1 ) ] is minimized.
Figure 4. The slowdown factor, S , as a function of the field detuning, for the same values of the physical parameters as the ones used in Figure 2 and Figure 3, in captions (a) and (b), respectively. The vertical lines intersect the horizontal axis at the position where Im [ χ M N P ( 1 ) ] is minimized.
Engproc 56 00244 g004
Disclaimer/Publisher’s Note: The statements, opinions and data contained in all publications are solely those of the individual author(s) and contributor(s) and not of MDPI and/or the editor(s). MDPI and/or the editor(s) disclaim responsibility for any injury to people or property resulting from any ideas, methods, instructions or products referred to in the content.

Share and Cite

MDPI and ACS Style

Kosionis, S.G.; Paspalakis, E. Absorption and Dispersion Properties of a Coupled Asymmetric Double Quantum Dot Molecule–Metal Nanoparticle Structure. Eng. Proc. 2023, 56, 244. https://doi.org/10.3390/ASEC2023-15299

AMA Style

Kosionis SG, Paspalakis E. Absorption and Dispersion Properties of a Coupled Asymmetric Double Quantum Dot Molecule–Metal Nanoparticle Structure. Engineering Proceedings. 2023; 56(1):244. https://doi.org/10.3390/ASEC2023-15299

Chicago/Turabian Style

Kosionis, Spyridon G., and Emmanuel Paspalakis. 2023. "Absorption and Dispersion Properties of a Coupled Asymmetric Double Quantum Dot Molecule–Metal Nanoparticle Structure" Engineering Proceedings 56, no. 1: 244. https://doi.org/10.3390/ASEC2023-15299

APA Style

Kosionis, S. G., & Paspalakis, E. (2023). Absorption and Dispersion Properties of a Coupled Asymmetric Double Quantum Dot Molecule–Metal Nanoparticle Structure. Engineering Proceedings, 56(1), 244. https://doi.org/10.3390/ASEC2023-15299

Article Metrics

Back to TopTop