The Odd Beta Prime Inverted Kumaraswamy Distribution with Application to COVID-19 Mortality Rate in Italy †
Abstract
:1. Introduction
- (i)
- to improve the general performance of the classical IK distribution, which can handle right-skewed and heavy-tailed data sets when compared to other competitive models;
- (ii)
- to develop a model with different shapes, such as right-skewed and reversed-J shape;
- (iii)
- to introduce a new model with various hazard functions that can capture increasing, bathtub, and concave-convex shapes; and
- (iv)
- to consistently offer superior fit in comparison to well-established, generated distributions for the same baseline distribution.
2. The Odd Beta Prime Inverted Kumaraswamy Distribution
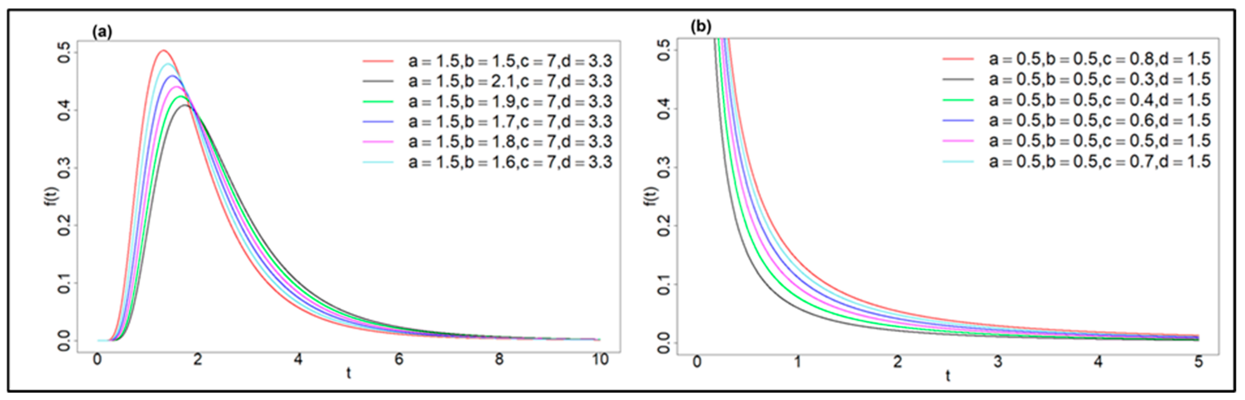
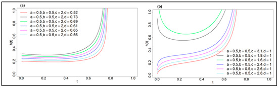
3. Properties of the Odd Beta Prime Inverted Kumaraswamy Distribution
3.1. Moments
3.2. Moment Generating Function
3.3. Quantile Function
4. Estimation of Parameters
5. Numerical Illustration to COVID-19 Mortality Rate
6. Concluding Remarks
Author Contributions
Funding
Institutional Review Board Statement
Informed Consent Statement
Data Availability Statement
Acknowledgments
Conflicts of Interest
References
- Ishaq, A.; Suleiman, A.; Usman, A.; Daud, H.; Sokkalingam, R., III. Transformed Log Burr III Distri-bution: Structural Features and Ap-plication to Milk Production. Eng. Proc 2023, 52. [Google Scholar]
- Bagci, K.; Arslan, T.; Celik, H.E. Inverted Kumarswamy distribution for modeling the wind speed data: Lake Van, Turkey. Renew. Sustain. Energy Rev. 2021, 135, 110110. [Google Scholar] [CrossRef]
- Keller, A.; Arr, K. Alternate reliability models for mechanical systems. In Proceedings of the Third International Conference on Reliability and Maintainability, Toulouse, France, 18–21 October 1982. [Google Scholar]
- Lin, C.; Duran, B.; Lewis, T. Inverted gamma as a life distribution. Microelectron. Reliab. 1989, 29, 619–626. [Google Scholar] [CrossRef]
- Voda, V.G. On the inverse Rayleigh distributed random variable. Rep. Statis. App. Res. JUSE 1972, 19, 13–21. [Google Scholar]
- Al-Dayian, G.R. Burr type III distribution: Properties and Estimation. Egypt. Stat. J. 1999, 43, 102–116. [Google Scholar]
- Abd EL-Kade, R.; AL-Dayian, G.; AL-Gendy, S. Inverted Pareto Type I distribution: Properties and estimation. J. Fac. Commer. AL-Azhar Univ. Girls’ Branch 2003, 21, 19–40. [Google Scholar]
- Al-Dayian, G. Inverted Pareto Type II distribution: Properties and estimation. J. Fac. Commer. AL-Azhar Univ. Girls’ Branch 2004, 22, 1–18. [Google Scholar]
- Keller, A.; Kamath, A.; Perera, U. Reliability analysis of CNC machine tools. Reliab. Eng. 1982, 3, 449–473. [Google Scholar] [CrossRef]
- Louzada, F.; Ramos, P.L.; Nascimento, D. The Inverse Nakagami-m Distribution: A Novel Approach in Reliability. IEEE Trans. Reliab. 2018, 67, 1030–1042. [Google Scholar] [CrossRef]
- Sharma, V.K.; Singh, S.K.; Singh, U.; Agiwal, V. The inverse Lindley distribution: A stress-strength reliability model with application to head and neck cancer data. J. Ind. Prod. Eng. 2015, 32, 162–173. [Google Scholar] [CrossRef]
- Abd AL-Fattah, A.; El-Helbawy, A.; Al-Dayian, G. Inverted Kumaraswamy Distribution: Properties and Estimation. Pak. J. Stat. 2017, 33, 37–61. [Google Scholar]
- Hassan, A.S.; Abd-Allah, M. On the Inverse Power Lomax Distribution. Ann. Data Sci. 2019, 6, 259–278. [Google Scholar] [CrossRef]
- Tahir, M.; Cordeiro, G.M.; Ali, S.; Dey, S.; Manzoor, A. The inverted Nadarajah–Haghighi distribution: Estimation methods and applications. J. Stat. Comput. Simul. 2018, 88, 2775–2798. [Google Scholar] [CrossRef]
- Hassan, A.S.; Elgarhy, M.; Ragab, R. Statistical properties and estimation of inverted Topp-Leone distribution. J. Stat. Appl. Probab 2020, 9, 319–331. [Google Scholar]
- Akarawak, E.E.E.; Adeyeye, S.J.; Khaleel, M.A.; Adedotun, A.F.; Ogunsanya, A.S.; Amalare, A.A. The inverted Gompertz-Fréchet distribution with applications. Sci. Afr. 2023, 21, e01769. [Google Scholar] [CrossRef]
- Ishaq, A.I.; Suleiman, A.A.; Daud, H.; Singh, N.S.S.; Othman, M.; Sokkalingam, R.; Wiratchotisatian, P.; Usman, A.G.; Abba, S.I. Log-Kumaraswamy distribution: Its features and applications. Front. Appl. Math. Stat. 2023, 9, 1258961. [Google Scholar] [CrossRef]
- Kumaraswamy, P. A generalized probability density function for double-bounded random processes. J. Hydrol. 1980, 46, 79–88. [Google Scholar] [CrossRef]
- Jones, M. Kumaraswamy’s distribution: A beta-type distribution with some tractability advantages. Stat. Methodol. 2009, 6, 70–81. [Google Scholar] [CrossRef]
- Pak, A.; Rastogi, M.K. Classical and Bayesian estimation of Kumaraswamy distribution based on type II hybrid censored data. Electron. J. Appl. Stat. Anal. 2018, 11, 235–252. [Google Scholar]
- Cribari-Neto, F.; Santos, J. Inflated Kumaraswamy distributions. An. Acad. Bras. Ciências 2019, 91, e20180955. [Google Scholar] [CrossRef]
- Eldessouky, E.A.; Hassan, O.H.M.; Elgarhy, M.; Hassan, E.A.; Elbatal, I.; Almetwally, E.M. A New Extension of the Kumaraswamy Exponential Model with Modeling of Food Chain Data. Axioms 2023, 12, 379. [Google Scholar] [CrossRef]
- Fayomi, A.; Khan, S.; Tahir, M.H.; Algarni, A.; Jamal, F.; Abu-Shanab, R. A new extended gumbel distribution: Properties and application. PLoS ONE 2022, 17, e0267142. [Google Scholar] [CrossRef]
- Suleiman, A.A.; Othman, M.; Ishaq, A.I.; Abdullah, M.L.; Indawati, R.; Daud, H.; Sokkalingam, R. A New Statistical Model Based on the Novel Generalized Odd Beta Prime Family of Continuous Probability Distributions with Applications to Cancer Disease Data Sets. Preprints 2022, 2022120072. [Google Scholar] [CrossRef]
- Muhammad, M.; Liu, L.; Abba, B.; Muhammad, I.; Bouchane, M.; Zhang, H.; Musa, S. A New Extension of the Topp–Leone-Family of Models with Applications to Real Data. Ann. Data Sci. 2023, 10, 225–250. [Google Scholar] [CrossRef]
- Usman, A.; Ishaq, A.I.; Suleiman, A.A.; Othman, M.; Daud, H.; Aliyu, Y. Univariate and Bivariate Log-Topp-Leone Distribution Using Censored and Uncensored Datasets. Comput. Sci. Math. Forum 2023, 7, 32. [Google Scholar]
- Willayat, F.; Saud, N.; Ijaz, M.; Silvianita, A.; El-Morshedy, M. Marshall–Olkin Extended Gumbel Type-II Distribution: Properties and Applications. Complexity 2022, 2022, 2219570. [Google Scholar] [CrossRef]
- Sayibu, S.B.; Luguterah, A.; Nasiru, S. McDonald Generalized Power Weibull Distribution: Properties, and Applications. J. Stat. Appl. Probab. 2024, 13, 297–322. [Google Scholar]
- Dhungana, G.P.; Kumar, V. Exponentiated Odd Lomax Exponential distribution with application to COVID-19 death cases of Nepal. PLoS ONE 2022, 17, e0269450. [Google Scholar] [CrossRef]
- Ishaq, A.I.; Abiodun, A.A. The Maxwell–Weibull distribution in modeling lifetime datasets. Ann. Data Sci. 2020, 7, 639–662. [Google Scholar] [CrossRef]
- Abdullahi, U.A.; Suleiman, A.A.; Ishaq, A.I.; Usman, A.; Suleiman, A. The Maxwell–Exponential Distribution: Theory and Application to Lifetime Data. J. Stat. Model. Anal. (JOSMA) 2021, 3, 2. [Google Scholar] [CrossRef]
- Ishaq, A.; Usman, A.; Tasi’u, M.; Suleiman, A.; Ahmad, A. A New Odd F-Weibull Distribution: Properties and Application of the Monthly Nigerian Naira to British Pound Exchange Rate Data. In Proceedings of the 2022 International Conference on Data Analytics for Business and Industry (ICDABI), Virtual, 25–26 October 2022; IEEE: Piscataway, NJ, USA, 2022; pp. 326–332. [Google Scholar]
- Suleiman, A.A.; Daud, H.; Othman, M.; Ishaq, A.I.; Indawati, R.; Abdullah, M.L.; Husin, A. The Odd Beta Prime-G Family of Probability Distributions: Properties and Applications to Engineering and Environmental Data. Comput. Sci. Math. Forum 2023, 7, 20. [Google Scholar] [CrossRef]
- Suleiman, A.A.; Daud, H.; Singh, N.S.S.; Othman, M.; Ishaq, A.I.; Sokkalingam, R. A Novel Odd Beta Prime-Logistic Distribution: Desirable Mathematical Properties and Applications to Engineering and Environmental Data. Sustainability 2023, 15, 10239. [Google Scholar] [CrossRef]
- Suleiman, A.A. A Novel Extension of the Fréchet Distribution: Statistical Properties and Application to Groundwater Pollutant Concentrations. J. Data Sci. Insights 2023, 1, 8–24. Available online: http://citedness.com/index.php/jdsi/article/view/3 (accessed on 27 September 2023).
- Suleiman, A.A.; Daud, H.; Singh, N.S.S.; Ishaq, A.I.; Othman, M. A New Odd Beta Prime-Burr X Distribution with Applications to Petroleum Rock Sample Data and COVID-19 Mortality Rate. Data 2023, 8, 143. [Google Scholar] [CrossRef]
- Suleiman, A.A.; Suleiman, A.; Abdullahi, U.A.; Suleiman, S.A. Estimation of the case fatality rate of COVID-19 epidemiological data in Nigeria using statistical regression analysis. Biosaf. Health 2021, 3, 4–7. [Google Scholar] [CrossRef]
- Osi, A.A.; Abdu, M.; Muhammad, U.; Ibrahim, A.; Isma’il, L.A.; Suleiman, A.A.; Abdulkadir, H.S.; Sada, S.S.; Dikko, H.G.; Ringim, M.Z. A classification approach for predicting COVID-19 Patient’s survival outcome with machine learning techniques. MedRxiv 2020. [Google Scholar] [CrossRef]
- Hassan, A.S.; Almetwally, E.M.; Ibrahim, G.M. Kumaraswamy Inverted Topp-Leone Distribution with Applications to COVID-19 Data. Comput. Mater. Contin. 2021, 68, 337–358. [Google Scholar] [CrossRef]




| Statistic | Min | Q1 | Q3 | Median | Mean | Max | Std. dev | Skewness | Kurtosis |
|---|---|---|---|---|---|---|---|---|---|
| Value | 0.0138 | 0.1201 | 0.2064 | 0.1628 | 0.1668 | 0.4972 | 0.0788 | 0.7624 | 1.8129 |
| Model | Estimates | Fitted Measures | |||||||
|---|---|---|---|---|---|---|---|---|---|
| AIC | CAIC | BIC | HQIC | ||||||
| OBPIK | 1.8061 | 0.9866 | 1.4746 | 1.9989 | 20.7935 | −33.5870 | −32.8027 | −25.4856 | −30.4461 |
| IK | 1.9465 | 1.1201 | --- | --- | 1.9899 | 0.0200 | 0.2464 | 4.0707 | 1.5904 |
| TLGIK | 1.5382 | 0.8963 | 1.1591 | 1.1737 | 20.6626 | −33.3252 | −32.5409 | −25.2238 | −30.1843 |
| MOEIK | 1.2582 | 1.4474 | 0.2106 | --- | 16.2904 | −26.5809 | −26.1193 | −20.5048 | −24.2252 |
Disclaimer/Publisher’s Note: The statements, opinions and data contained in all publications are solely those of the individual author(s) and contributor(s) and not of MDPI and/or the editor(s). MDPI and/or the editor(s) disclaim responsibility for any injury to people or property resulting from any ideas, methods, instructions or products referred to in the content. |
© 2023 by the authors. Licensee MDPI, Basel, Switzerland. This article is an open access article distributed under the terms and conditions of the Creative Commons Attribution (CC BY) license (https://creativecommons.org/licenses/by/4.0/).
Share and Cite
Suleiman, A.A.; Daud, H.; Ishaq, A.I.; Othman, M.; Sokkalingam, R.; Usman, A.; Osi, A.A. The Odd Beta Prime Inverted Kumaraswamy Distribution with Application to COVID-19 Mortality Rate in Italy. Eng. Proc. 2023, 56, 218. https://doi.org/10.3390/ASEC2023-16310
Suleiman AA, Daud H, Ishaq AI, Othman M, Sokkalingam R, Usman A, Osi AA. The Odd Beta Prime Inverted Kumaraswamy Distribution with Application to COVID-19 Mortality Rate in Italy. Engineering Proceedings. 2023; 56(1):218. https://doi.org/10.3390/ASEC2023-16310
Chicago/Turabian StyleSuleiman, Ahmad Abubakar, Hanita Daud, Aliyu Ismail Ishaq, Mahmod Othman, Rajalingam Sokkalingam, Abubakar Usman, and Abdulhameed Ado Osi. 2023. "The Odd Beta Prime Inverted Kumaraswamy Distribution with Application to COVID-19 Mortality Rate in Italy" Engineering Proceedings 56, no. 1: 218. https://doi.org/10.3390/ASEC2023-16310
APA StyleSuleiman, A. A., Daud, H., Ishaq, A. I., Othman, M., Sokkalingam, R., Usman, A., & Osi, A. A. (2023). The Odd Beta Prime Inverted Kumaraswamy Distribution with Application to COVID-19 Mortality Rate in Italy. Engineering Proceedings, 56(1), 218. https://doi.org/10.3390/ASEC2023-16310

