Abstract
We present an approach for inspecting the composition of exhaled breath from data obtained from sensors integrated in a knitted garment. Simultaneous recordings were made for temperature, relative humidity, CO2 and VOC, using sensors sewn in a smart mask and sensors in the garment that include two knitted respiratory inductive plethysmography coils and one accelerometer. We established that the correlation between signals obtained from the smart mask sensors and those from chest and abdomen movement is linear. A linear regression model on mean centralized data was used to train a linear model to predict CO2 and VOC data in exhaled breath from sensor readings in the knitted garment only.
1. Introduction
Breath analysis is an emerging field of research that aims to develop sensors that can be integrated into face masks. These sensors can identify volatile compounds in breath, which are associated with various health conditions [1]. Another way to monitor breathing is by using respiratory inductance plethysmography (RIP) [2], which measures the movement of the chest and abdominal wall during breathing. This method assesses pulmonary ventilation and provides information about lung function. Currently, the correlation between exhaled breath and chest/abdomen movement is not well-established in the literature. RIP breathing signals in healthy people and those who have COPD or asthma are different because of decreased lung function [3]. We also expect their exhaled breath composition to be different for the same reason. Thus, a correlation between exhaled breath and RIP might exist since both parameters are influenced by lung health.
This study aims to investigate whether a correlation exists between exhaled breath measured by different sensors integrated in a cotton face mask and two RIP coils integrated into a knitted garment with an accelerometer. Measurements were taken from all sensors simultaneously, controlled by an ESP32 microcontroller. After signal processing, including bandpass filtering and phase shifting, we found that, for the normal breathing of healthy volunteers, these signals were linearly correlated. This correlation between sensor data is used to train a linear model, using linear regression to predict the VOC and CO2 in the exhaled breath from the RIP and accelerometer data only.
2. Materials and Methods
Knitting a thin (250 μm diameter), insulated metal wire with ordinary yarn in the round creates a body-conform RIP coil with increased sensitivity and wearability [4,5] compared to elastic-band-based RIP implementations [6]. Accelerometers are frequently used to measure the movement of the chest [7] during breathing. We integrated one accelerometer within the garment with the knitted coils to increase the amount of data upon which machine learning is based. The knitted RIP coils have 10 rows (thus 10 windings) and were positioned at the waist and chest underneath the armpits. The accelerometer (IMU-6050 was placed at the height of the sternum. Exhaled breath signals were measured by a humidity and temperature sensor (BME280), and a MEMS-based CO2 and VOC gas sensor (ENS160 MOX) sewn onto the mask near the mouth, daisy chained, and then covered with a layer of thin cotton. All sensor boards were acquired from Adafruit, NY, USA. The mask sensors and accelerometer were connected via I2C to the ESP32 development board. Each knitted RIP coil was connected to a home-built Colpitts oscillator that converts the inductance variations of the coils into frequency variations. The mean frequency of the Colpitts oscillator was between 1.3 and 1.4 MHz and depended on the average circumference of the body. The frequency of the oscillations was read using two channels of pulse counters of the ESP32. When inhaling, the frequency decreases, and when exhaling, the frequency increases. Figure 1a provides a schematic overview of the sensors system and Figure 1b provides the simultaneously measured raw data obtained from some of the sensors during normal breathing by a healthy volunteer.
Figure 1.
(a) An illustration of the sensor system, showing the mask with sensor breakout boards (top), the knitted RIP coils, the position of the accelerometer on the garments and the Colpitts oscillators’ PCB.; (b) The raw, simultaneously measured data from the CO2; temperature, T; accelerometer—axis perpendicular to body; and the two knitted RIP coils (blue top coil, red bottom coil) during normal breathing.
When starting the measurements, a transient in the mask sensors occurs as the sensors adapt from room to body temperature (Figure 1b). The transient is smaller for the gas sensors (~20 s) than for the temperature sensor (~30 s). To simplify the correlation study, one can either wait for the equilibrium to occur before taking recordings, remove the transient data from the analysis, or apply the Lavenberg–Marquardt algorithm to remove the trend [8]. For simplicity, we removed the transient data before further processing. For healthy participants, the phase shift between the measurements was small, mainly due to the sampling time and serial I2C readout. The sampling time of 1 s in this set-up was limited by the slowest sensor, which is the VOC/CO2 sensor. The phase shift, if larger than that imposed by the sampling time, during “normal” breathing can be indicative of lung disease related to the non-synchronous movement of chest and abdominal muscles that help with breathing.
3. Results
3.1. Correlations
MATLAB was used for signal conditioning. DC, low-frequency signals (baseline wander), and high-frequency (noise) signals were removed using an IIR bandpass filter with a passband of 0.1 Hz < f < 0.4 Hz. This was necessary for the accelerometer data that were quite noisy due to the interference of the gravitational force, even when participants were sitting/standing still. The phase difference was determined using the function finddelay and then shifting the signals back over the delay.
Linear and non-linear (quadratic) least-squares fit measurements were applied in MATLAB to find the correlation between the signal from the knitted chest RIP sensor (Df1) and all other signals. The data points and the linear least-squares fit are given in Figure 2.
Figure 2.
The sensor data points (y-axis) vs. Df1 (x-axis) after signal conditioning and the linear least-squares fit to the data. Showing linear correlation between all sensors but no correlation with the X- and Y-axis accelerometer data. Dots are data points and the red line is the fit.
Figure 2 shows an excellent linear correlation, except for X and Y accelerometer data. The correlation coefficient for the linear and non-linear least-squares fit using the function corrcoef in MATLAB are approximately the same and ≥0.91 (except X and Y). A fast Fourier transform gives a peak frequency of 0.23 Hz or ~14 breaths per min. for all.
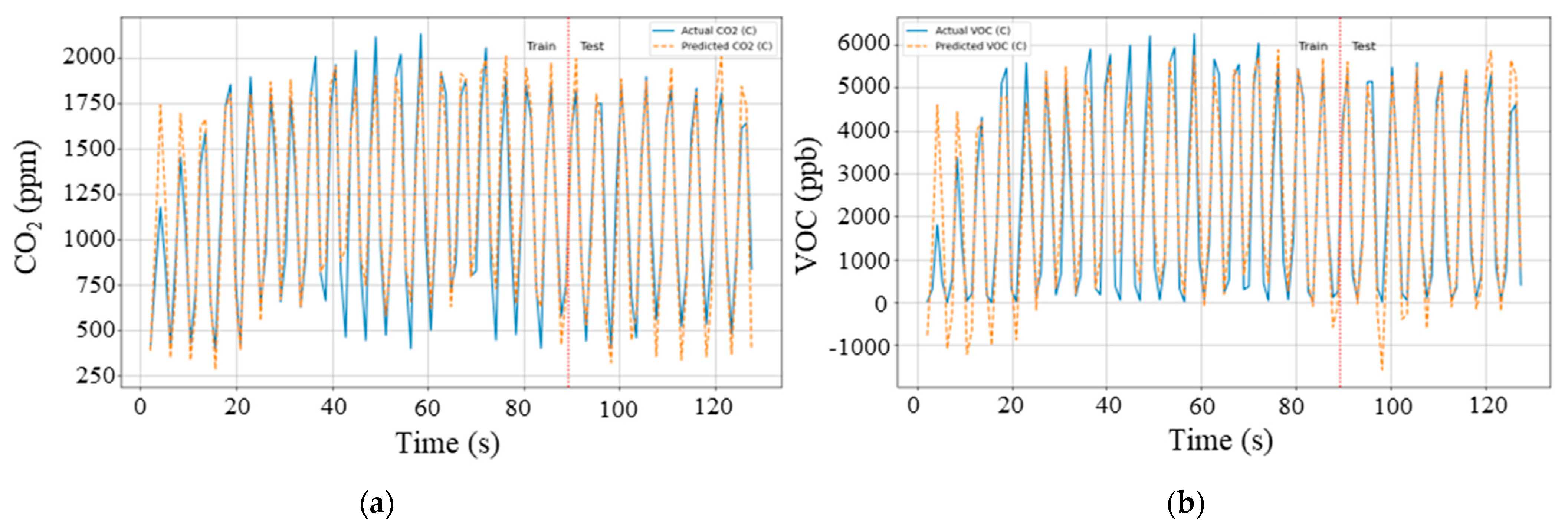
3.2. Prediction of VOC and CO2 Data from Garment Sensors
Since the data is linearly correlated, we used sklearn’s [9] LinearRegression model on mean centralized data to train a linear model to predict CO2 or VOC = a1 × f0 + a2 × f1 + a3 × aX + a4 × aY + a5 × aZ + c + m × time. For training we used the simultaneously measured data from the two knitted coils (f0, f1) and the accelerometer (aX, aY, aZ) over the first 90 s of the measurement, and then tested it on the remainder of the data, effectively predicting the CO2 or VOC level from the garment sensors only. The results are given in Figure 3.
Figure 3.
Training for 90 s and predicting for 40 s. The solid line (blue) is the actual data; the dashed line (orange) is the predicted data: (a) CO2; (b) VOC.
In this study, we have demonstrated that breathing signals from chest/abdomen circumference changes and the gas content in exhaled breath are linearly correlated. We have shown that this correlation allows us to predict VOC and CO2 levels in exhaled breath using knitted RIP sensors and one accelerometer integrated in a garment.
Author Contributions
Conceptualization, M.S. and K.F.; software, M.S.; hardware, M.A.M.; investigation, K.F.; writing K.F.; supervision, K.F. All authors have read and agreed to the published version of the manuscript.
Funding
This research received no external funding.
Institutional Review Board Statement
Ethical review and approval were waived as only the authors were involved.
Informed Consent Statement
Patient consent was waived as only the authors were involved.
Data Availability Statement
The raw data supporting the conclusions of this article will be made available by the authors on request.
Acknowledgments
We thank Jingjie Qin and Hamine Maarki for the PCB design and K. Thielemans for ESP32 programming help.
Conflicts of Interest
The authors declare no conflicts of interest.
References
- Di Zazzo, L.; Magna, G.; Lucentini, M.; Stefanelli, M.; Paolesse, R.; Di Natale, C. Sensor-Embedded Face Masks for Detection of Volatiles in Breath: A Proof of Concept Study. Chemosensors 2021, 9, 356. [Google Scholar] [CrossRef]
- Houssein, A.; Ge, D.; Gastinger, S.; Dumond, R.; Prioux, J. Estimation of respiratory variables from thoracoabdominal breathing distance: A review of different techniques and calibration methods. Physiol. Meas. 2019, 40, 03TR01. [Google Scholar]
- Tobin, M.J.; Jenouri, G.; Lind, B.; Watson, H.; Schneider, A.; Sackner, M.A. Validation of Respiratory Inductive Plethysmography in Patients with Pulmonary Disease. Chest 1983, 83, 615–620. [Google Scholar] [CrossRef]
- Fobelets, K. Knitted coils as breathing sensors. Sens. Actuators A Phys. 2020, 306, 111945. [Google Scholar] [CrossRef]
- Kiener, K.; Anand, A.; Fobelets, W.; Fobelets, K. Low Power Respiration Monitoring Using Wearable 3D Knitted Helical Coils. IEEE Sens. J. 2022, 22, 1374. [Google Scholar] [CrossRef]
- Konno, K.; Mead, J. Measurement of the separate volume changes of rib cage and abdomen during breathing. J. Appl. Physiol. 1967, 22, 407–422. [Google Scholar] [CrossRef]
- Ali, M.; Elsayed, A.; Mendez, A.; Savaria, Y.; Sawan, M. Contact and Remote Breathing Rate Monitoring Techniques: A Review. IEEE Sens. J. 2021, 21, 14569. [Google Scholar] [CrossRef]
- Moré, J.J. The Levenberg-Marquardt algorithm: Implementation and theory. In Numerical Analysis. Lecture Notes in Mathematics; Watson, G.A., Ed.; Springer: Berlin/Heidelberg, Germany, 1978; Volume 630. [Google Scholar] [CrossRef]
- Pedregosa, F.; Varoquaux, G.; Gramfort, A.; Michel, V.; Thirion, B.; Grisel, O.; Blondel, M.; Prettenhofer, P.; Weiss, R.; Dubourg, V.; et al. Scikit-learn: Machine learning in Python. J. Mach. Learn. Res. 2011, 12, 2825–2830. [Google Scholar]
Disclaimer/Publisher’s Note: The statements, opinions and data contained in all publications are solely those of the individual author(s) and contributor(s) and not of MDPI and/or the editor(s). MDPI and/or the editor(s) disclaim responsibility for any injury to people or property resulting from any ideas, methods, instructions or products referred to in the content. |
© 2024 by the authors. Licensee MDPI, Basel, Switzerland. This article is an open access article distributed under the terms and conditions of the Creative Commons Attribution (CC BY) license (https://creativecommons.org/licenses/by/4.0/).


