Physicochemical and Rheological Characterization and Antioxidant Activity of the Juice of “Puro Puro” (Passiflora pinnatistipula) †
Abstract
1. Introduction
2. Materials and Methods
2.1. Materials
2.2. Preparation of the Puro Puro Juice
2.3. Determination of Physicochemical Properties
2.4. Rheological Behavior
3. Results and Discussions
3.1. Physicochemical Characterization, Color and Antioxidant Activity of Cigars
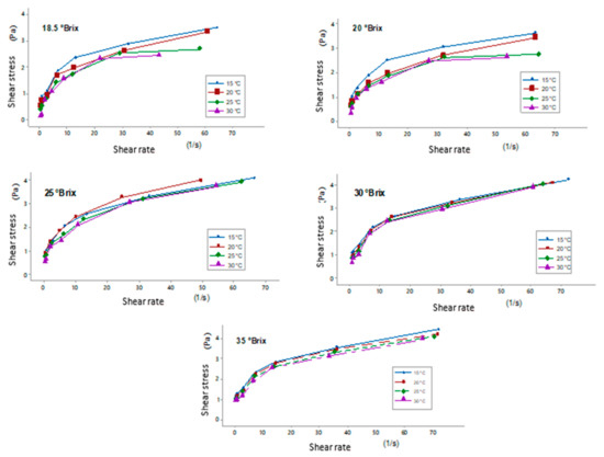
3.2. Rheological Characterization
Author Contributions
Funding
Institutional Review Board Statement
Informed Consent Statement
Data Availability Statement
Conflicts of Interest
References
- Denardin, C.C.; Hirsch, G.E.; Da Rocha, R.F.; Vizzotto, M.; Henriques, A.T.; Moreira, J.C.F.; Guma, F.T.C.R.; Emanuelli, T. Antioxidant Capacity and Bioactive Compounds of Four Brazilian Native Fruits. J. Food Drug Anal. 2015, 23, 387–398. [Google Scholar] [CrossRef] [PubMed]
- Duque, A.; Giraldo, G.; Quintero, V. Caracterización de La Fruta, Pulpa y Concentrado de Uchuva (Physalis peruviana L.). Temas Agrar. 2011, 16, 75–83. [Google Scholar] [CrossRef]
- Cerqueira-Silva, C.; Jesus, O.; Santos, E.; Corrêa, R.; Souza, A. Genetic Breeding and Diversity of the Genus Passiflora: Progress and Perspectives in Molecular and Genetic Studies. Int. J. Mol. Sci. 2014, 15, 14122–14152. [Google Scholar] [CrossRef]
- Araya, S.; Martins, A.M.; Junqueira, N.T.V.; Costa, A.M.; Faleiro, F.G.; Ferreira, M.E. Microsatellite Marker Development by Partial Sequencing of the Sour Passion Fruit Genome (Passiflora edulis Sims). BMC Genom. 2017, 18, 549. [Google Scholar] [CrossRef] [PubMed]
- Corrêa, R.C.G.; Peralta, R.M.; Haminiuk, C.W.I.; Maciel, G.M.; Bracht, A.; Ferreira, I.C.F.R. The Past Decade Findings Related with Nutritional Composition, Bioactive Molecules and Biotechnological Applications of Passiflora spp. (Passion Fruit). Trends Food Sci. Technol. 2016, 58, 79–95. [Google Scholar] [CrossRef]
- Ocampo, J.; d’Eeckenbrugge, G.C.; Morales, G. Genetic Resources of Colombian Tacsonias (Passiflora Supersection Tacsonia): A Biological Treasure Still to Discover, Use and Conserve. Passiflora Online J. 2017, 10, 24–53. [Google Scholar]
- Møller Jørgensen, P.; Vásquez, R. A Revision of Passiflora Sections Insignes and ×Inkea (Passifloraceae). An. Jardín Botánico Madr. 2009, 66, 35–53. [Google Scholar] [CrossRef][Green Version]
- Checa Coral, O.; Rosero Álvarez, E.; Eraso Cultid, I. Colección y Caracterización Morfoagronómica Del Subgénero Tacsonia En La Zona Andina Del Departamento de Nariño, Colombia. Rev. Factultad Nac. Agron. Medellín 2011, 64, 5893–5907. [Google Scholar]
- Yockteng, R.; d’Eeckenbrugge, G.C.; Souza-Chies, T.T. Passiflora. In Wild Crop Relatives: Genomic and Breeding Resources; Kole, C., Ed.; Springer: Berlin/Heidelberg, Germany, 2011; pp. 129–171. ISBN 978-3-642-20446-3. [Google Scholar]
- Martin, F.W.; Nakasone, H.Y. The Edible Species of Passiflora. Econ. Bot. 1970, 24, 333–343. [Google Scholar] [CrossRef]
- González-Benito, M.E.; Aguilar, N.; Ávila, T. Germination and Embryo Rescue from Passiflora spp. Seeds Post-Cryopreservation. CryoLetters 2009, 30, 142–147. [Google Scholar]
- Albert, L. Experimentos Preliminares En La Hibridación de Especies Comestibles de Passiflora. Actual. Biológicas 1981, 10, 103–111. [Google Scholar] [CrossRef]
- Castañeda, R.; Gutiérrez, H.; Chávez, G.; Villanueva, R. Etnobotánica de Las Flores de La Pasión (Passiflora) En La Provincia Andina de Angaraes (Huancavelica, Perú). Bol. Latinoam. Caribe Plantas Med. Aromáticas 2019, 18, 27–41. [Google Scholar] [CrossRef]
- AOAC. Official Methods of Analysis of the Association of Official Analytical Chemist, 16th ed.; Sidney, W., Ed.; AOAC: Arlington, VA, USA, 1998. [Google Scholar]
- Arnao, M.; Cano, A.; Acosta, M. The Hydrophilic and Lipophilic Contribution to Total Antioxidat Activity. Food Chem. 2001, 73, 239–244. [Google Scholar] [CrossRef]
- Pardo-Jumbo, A.; Matute, N.L.; Echevarria, A.P. Determinación de Compuestos Bioactivos y Actividad Antioxidante de La Pulpa de Maracuyá (Passiflora edulis). FACSalud 2017, 1, 5–11. [Google Scholar] [CrossRef]
- De Carvalho, M.V.O.; De Oliveira, L.D.L.; Costa, A.M. Effect of Training System and Climate Conditions on Phytochemicals of Passiflora Setacea, a Wild Passiflora from Brazilian Savannah. Food Chem. 2018, 266, 350–358. [Google Scholar] [CrossRef] [PubMed]
- Barbieri, S.F.; De Oliveira Petkowicz, C.L.; De Godoy, R.C.B.; De Azeredo, H.C.M.; Franco, C.R.C.; Silveira, J.L.M. Pulp and Jam of Gabiroba (Campomanesia xanthocarpa Berg): Characterization and Rheological Properties. Food Chem. 2018, 263, 292–299. [Google Scholar] [CrossRef]
- Andrade, R.D.; Ortega, F.A.; Montes, E.J.; Torres, R.; Pérez, O.A.; Castro, M.; Gutiérrez, L.A. Caracterización Fisicoquímica y Reológica de La Pulpa de Guayaba (Psidium Guajava L.) Varidades Híbrido de Klom Sali, Puerto Rico, D14 y Red. Rev. Fac. Quím. Farm. 2009, 16, 13–18. [Google Scholar]
- Ortega Quintana, F.A.; Galvan, E.S.; Arrieta Rivero, R.; Torres Gallo, R. Efecto de La Temperatura y Concentración Sobre Las Propiedades Reológicas de La Pulpa de Mango Variedad Tommy Atkins. Rev. ION 2015, 28, 79–92. [Google Scholar] [CrossRef]
- Rubio-Merino, J.; Rubio-Hernández, F.J. Activation Energy for the Viscoelastic Flow: Analysis of the Microstructure-at-Rest of (Water- and Milk-Based) Fruit Beverages. Food Chem. 2019, 293, 486–490. [Google Scholar] [CrossRef]
- Uekane, T.M.; Nicolotti, L.; Griglione, A.; Bizzo, H.R.; Rubiolo, P.; Bicchi, C.; Rocha-Leão, M.H.M.; Rezende, C.M. Studies on the Volatile Fraction Composition of Three Native Amazonian-Brazilian Fruits: Murici (Byrsonima crassifolia L., Malpighiaceae), Bacuri (Platonia insignis M., Clusiaceae), and Sapodilla (Manilkara sapota L., Sapotaceae). Food Chem. 2017, 219, 13–22. [Google Scholar] [CrossRef]
- Fischer, P.; Pollard, M.; Erni, P.; Marti, I.; Padar, S. Rheological Approaches to Food Systems. Comptes Rendus Phys. 2009, 10, 740–750. [Google Scholar] [CrossRef]
- Dak, M.; Verma, R.C.; Sharma, G.P. Flow Characteristics of Juice of “Totapuri” Mangoes. J. Food Eng. 2006, 76, 557–561. [Google Scholar] [CrossRef]
- Melgar, B.; Pereira, E.; Oliveira, M.B.P.P.; Garcia-Castello, E.M.; Rodriguez-Lopez, A.D.; Sokovic, M.; Barros, L.; Ferreira, I.C.F.R. Extensive Profiling of Three Varieties of Opuntia spp. Fruit for Innovative Food Ingredients. Food Res. Int. 2017, 101, 259–265. [Google Scholar] [CrossRef] [PubMed]
- Cepeda, E.; Collado, I. Rheology of Tomato and Wheat Dietary Fibers in Water and in Suspensions of Pimento Purée. J. Food Eng. 2014, 134, 67–73. [Google Scholar] [CrossRef]
- Karaman, S.; Kayacier, A. Effect of Temperature on Rheological Characteristics of Molasses: Modeling of Apparent Viscosity Using Adaptive Neuro—Fuzzy Inference System (ANFIS). LWT-Food Sci. Technol. 2011, 44, 1717–1725. [Google Scholar] [CrossRef]


| Physicochemical Characterization | Value |
|---|---|
| pH | 4.50 |
| Acidity (% ascorbic acid) | 4.48 |
| Total Soluble Solids (Brix) | 18.50 |
| Humidity (%) | 66.00 |
| Total ash (% d.b.) | 8.82 |
| Total fat (% d.b.) | 4.41 |
| Crude protein (% d.b.) | 13.24 |
| Carbohydrates (by difference, % d.b.) | 73.53 |
| Color | |
| L* | |
| a* | 1.2 |
| b* | 4.4 |
| ΔE | 20.8 |
| Antioxidant Activity | |
| Antioxidant activity of the “puro puro” juice (µmol Equi. Trolox/g) | 5.20 |
| Temperature (°C) | Rheological Parameters | Concentration (°Brix) | ||||
|---|---|---|---|---|---|---|
| 18.5 | 20 | 25 | 30 | 35 | ||
| 15 | K | 0.99 | 1.10 | 1.16 | 1.28 | 1.38 |
| N | 0.31 | 0.29 | 0.30 | 0.27 | 0.26 | |
| r2 | 0.985 | 0.993 | 0.990 | 0.978 | 0.973 | |
| 20 | K | 0.84 | 0.89 | 1.09 | 1.16 | 1.30 |
| N | 0.34 | 0.32 | 0.31 | 0.29 | 0.27 | |
| r2 | 0.982 | 0.997 | 0.984 | 0.984 | 0.977 | |
| 25 | K | 0.68 | 0.82 | 0.99 | 1.05 | 1.22 |
| N | 0.37 | 0.31 | 0.33 | 0.31 | 0.28 | |
| r2 | 0.986 | 0.992 | 0.989 | 0.973 | 0.974 | |
| 30 | K | 0.42 | 0.62 | 0.79 | 0.94 | 1.09 |
| N | 0.55 | 0.40 | 0.40 | 0.34 | 0.30 | |
| r2 | 0.961 | 0.976 | 0.995 | 0.968 | 0.995 | |
| Temperature (°C) | Rotation Speed (rpm) | Concentration (°Brix) | ||||
|---|---|---|---|---|---|---|
| 18.5 | 20 | 25 | 30 | 35 | ||
| 15 | 0.5 | 2.16 | 2.37 | 2.52 | 2.70 | 9.27 |
| 1.0 | 1.34 | 1.45 | 1.55 | 1.62 | 5.40 | |
| 4.0 | 0.51 | 0.54 | 0.58 | 0.59 | 1.83 | |
| 10.0 | 0.27 | 0.28 | 0.31 | 0.30 | 0.89 | |
| 20.0 | 0.17 | 0.17 | 0.19 | 0.18 | 0.52 | |
| 50.0 | 0.09 | 0.09 | 0.10 | 0.09 | 0.25 | |
| 100.0 | 0.06 | 0.06 | 0.06 | 0.06 | 0.15 | |
| 20 | 0.5 | 1.83 | 1.96 | 2.37 | 2.51 | 7.87 |
| 1.0 | 1.16 | 1.22 | 1.47 | 1.54 | 4.61 | |
| 4.0 | 0.46 | 0.47 | 0.56 | 0.58 | 1.58 | |
| 10.0 | 0.25 | 0.25 | 0.30 | 0.30 | 0.78 | |
| 20.0 | 0.16 | 0.16 | 0.18 | 0.19 | 0.46 | |
| 50.0 | 0.09 | 0.09 | 0.10 | 0.10 | 0.23 | |
| 100.0 | 0.06 | 0.05 | 0.06 | 0.06 | 0.13 | |
| 25 | 0.5 | 1.50 | 1.80 | 2.18 | 2.30 | 6.00 |
| 1.0 | 0.97 | 1.12 | 1.37 | 1.43 | 3.49 | |
| 4.0 | 0.40 | 0.43 | 0.54 | 0.55 | 1.18 | |
| 10.0 | 0.22 | 0.23 | 0.29 | 0.29 | 0.57 | |
| 20.0 | 0.14 | 0.14 | 0.18 | 0.18 | 0.33 | |
| 50.0 | 0.08 | 0.08 | 0.10 | 0.10 | 0.16 | |
| 100.0 | 0.05 | 0.05 | 0.06 | 0.06 | 0.09 | |
| 30 | 0.5 | 0.84 | 1.36 | 1.74 | 2.06 | 6.14 |
| 1.0 | 0.61 | 0.90 | 1.15 | 1.31 | 3.54 | |
| 4.0 | 0.33 | 0.39 | 0.50 | 0.53 | 1.18 | |
| 10.0 | 0.22 | 0.23 | 0.28 | 0.29 | 0.57 | |
| 20.0 | 0.16 | 0.15 | 0.19 | 0.18 | 0.33 | |
| 50.0 | 0.10 | 0.09 | 0.11 | 0.10 | 0.16 | |
| 100.0 | 0.08 | 0.06 | 0.07 | 0.06 | 0.09 | |
Disclaimer/Publisher’s Note: The statements, opinions and data contained in all publications are solely those of the individual author(s) and contributor(s) and not of MDPI and/or the editor(s). MDPI and/or the editor(s) disclaim responsibility for any injury to people or property resulting from any ideas, methods, instructions or products referred to in the content. |
© 2023 by the authors. Licensee MDPI, Basel, Switzerland. This article is an open access article distributed under the terms and conditions of the Creative Commons Attribution (CC BY) license (https://creativecommons.org/licenses/by/4.0/).
Share and Cite
Córdova-Ramos, J.S.; Pihue, S.; Ruiz, A.; Ore, F.; Aguirre, L.; Olivera-Montenegro, L. Physicochemical and Rheological Characterization and Antioxidant Activity of the Juice of “Puro Puro” (Passiflora pinnatistipula). Eng. Proc. 2023, 42, 6. https://doi.org/10.3390/engproc2023042006
Córdova-Ramos JS, Pihue S, Ruiz A, Ore F, Aguirre L, Olivera-Montenegro L. Physicochemical and Rheological Characterization and Antioxidant Activity of the Juice of “Puro Puro” (Passiflora pinnatistipula). Engineering Proceedings. 2023; 42(1):6. https://doi.org/10.3390/engproc2023042006
Chicago/Turabian StyleCórdova-Ramos, Javier S., Sandra Pihue, Alfonso Ruiz, Franklin Ore, Lizeth Aguirre, and Luis Olivera-Montenegro. 2023. "Physicochemical and Rheological Characterization and Antioxidant Activity of the Juice of “Puro Puro” (Passiflora pinnatistipula)" Engineering Proceedings 42, no. 1: 6. https://doi.org/10.3390/engproc2023042006
APA StyleCórdova-Ramos, J. S., Pihue, S., Ruiz, A., Ore, F., Aguirre, L., & Olivera-Montenegro, L. (2023). Physicochemical and Rheological Characterization and Antioxidant Activity of the Juice of “Puro Puro” (Passiflora pinnatistipula). Engineering Proceedings, 42(1), 6. https://doi.org/10.3390/engproc2023042006
