Hierarchy of Waste Management: Option Selection for Managing Johannesburg City’s Restaurant Food Waste †
Abstract
:1. Introduction
2. Methodology
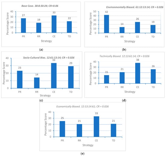
3. Results and Discussion
4. Conclusions and Recommendations
Author Contributions
Funding
Institutional Review Board Statement
Informed Consent Statement
Data Availability Statement
Conflicts of Interest
References
- Food Waste Prevention and Management: A Guideline for South African; Department of Environment, Forestry and Fisheries & Council for Science and Industrial Research: Pretoria, South Africa, 2021.
- Abrahams, C.; Everatt, D. City Profile: Johanessburg, South Africa. Environ. Urban. ASIA 2019, 10, 255–270. [Google Scholar] [CrossRef]
- Sindhu, R.; Binod, P.; Nair, R.B.; Varjani, S.; Pandey, A.; Gnansounou, E. Waste to wealth: Valorization of food waste for the production of fuels and chemicals. In Current Developments in Biotechnology and Bioprocessing; Elsevier B V: Amsterdam, The Netherlands, 2020; pp. 181–197. [Google Scholar]
- Rasmeni, Z.Z.; Madyira, D.M. A review of the current municipal solid waste management practices in Johannesburg city townships. In Proceedings of the 2nd International Conference on Sustainable Materials Processing and Manufacturing (SMPM 2019), Sun City, South Africa, 8–10 March 2019; pp. 1025–1031. [Google Scholar] [CrossRef]
- Traven, L. Circular economy and the waste management hierarchy: Friends or foes of sustainable economic growth? A critical appraisal illustrated by the case of the Republic of Croatia. Waste Manag. Res. 2019, 37, 1–2. [Google Scholar] [CrossRef] [PubMed]
- Badi, I.; Shetwan, A.; Abdulshahed, A.; Eltayeb, W. Evaluation of solid waste treatment methods in Libya by using the Analytic Hierarchy Process. Decision Mak. Appl. Manag. Eng. 2019, 2, 19–35. [Google Scholar] [CrossRef]
- Thengane, S.K. Assessment of different technologies for managing yard waste using the Analytic Hierarchy Process. Process Integr. Optim. Sustain. 2019, 3, 255–272. [Google Scholar] [CrossRef]
- Yakubu, Y.; Zhou, J. Novel approach to quantify municipal solid waste management hierarchy based on analytical hierarchy process. Int. J. Environ. Sci. Technol. 2019, 16, 1897–1908. [Google Scholar] [CrossRef]
- Sangha, K.K.; Russell-Smith, J.; Costanza, R. Mainstreaming indigenous and local communities’ connections with nature for policy decision-making. Glob. Ecol. Conserv. 2019, 19, e00668. [Google Scholar] [CrossRef]


| Strategy (Explanation/Example) | Strategy’s suitability for managing food waste in Johannesburg |
| Prevention and Reduction (Reduce surplus food generation) | Measures to reduce losses can be implemented. However, it is practically impossible to accurately predict the ever-fluctuating food demand for a restaurant business. Maintaining accurate quantities of restaurant stock inventory, cooked meals and food orders is almost impossible in order to eliminate losses completely. |
| Re-Use and Recycle (Reuse by donating extra food to food banks, soup kitchens, etc) (Recycle by scrapping food and use as feedstock for animals) | Contaminated food cannot be repurposed for human consumption. It is practically challenging to avoid contamination during handling and collection of food waste from restaurant guests. |
| This is a selective process whereby certain foods cannot be fed to certain animals or certain conditions such as expired or fermented foods may make food unsuitable as feed to specific animals. Sorting waste food may be costly and no such systems exist in South Africa at the moment. | |
| Resource Recovery (Composting for soil amendments as well as processing to recover energy) | Multiple benefits derived from these processes including addressing clean energy needs, cleaning the environment, job creation, improved agricultural yields, providing raw materials for other industries, etc. Most of the applicable technologies have matured and have been applied elsewhere with success so they can be replicated for Johannesburg city. |
| Treatment and Disposal in landfills (Stabilise and dispose) | This has been practiced traditionally in the whole country (South Africa) but space constraints and other challenges are now exposing this strategy’s sustainability shortcomings. |
Disclaimer/Publisher’s Note: The statements, opinions and data contained in all publications are solely those of the individual author(s) and contributor(s) and not of MDPI and/or the editor(s). MDPI and/or the editor(s) disclaim responsibility for any injury to people or property resulting from any ideas, methods, instructions or products referred to in the content. |
© 2023 by the authors. Licensee MDPI, Basel, Switzerland. This article is an open access article distributed under the terms and conditions of the Creative Commons Attribution (CC BY) license (https://creativecommons.org/licenses/by/4.0/).
Share and Cite
Rashama, C.; Christian, R.; Matambo, T.S. Hierarchy of Waste Management: Option Selection for Managing Johannesburg City’s Restaurant Food Waste. Eng. Proc. 2023, 37, 38. https://doi.org/10.3390/ECP2023-14627
Rashama C, Christian R, Matambo TS. Hierarchy of Waste Management: Option Selection for Managing Johannesburg City’s Restaurant Food Waste. Engineering Proceedings. 2023; 37(1):38. https://doi.org/10.3390/ECP2023-14627
Chicago/Turabian StyleRashama, Charles, Riann Christian, and Tonderayi S. Matambo. 2023. "Hierarchy of Waste Management: Option Selection for Managing Johannesburg City’s Restaurant Food Waste" Engineering Proceedings 37, no. 1: 38. https://doi.org/10.3390/ECP2023-14627
APA StyleRashama, C., Christian, R., & Matambo, T. S. (2023). Hierarchy of Waste Management: Option Selection for Managing Johannesburg City’s Restaurant Food Waste. Engineering Proceedings, 37(1), 38. https://doi.org/10.3390/ECP2023-14627
