Abstract
The dairy sector in Bangladesh releases huge amounts of wastewater in the open environment. Dairy wastewater is enriched with hazardous contaminants, which can cause various health complications. The objective of this study was to evaluate the water quality of dairy wastewater by determining the physicochemical properties of tap water and wastewater from three farms from the Islamnagar zone, Savar, Dhaka, and also to assess the significant impacts of wastewater on the environment. The most important physicochemical properties investigated include pH, total dissolved solids (TDS), electrical conductivity (EC), dissolved oxygen (DO), and microbial colony count. The results revealed that in tap water, the pH ranged from 7.11 to 7.20, and in wastewater, it ranged from 7.30 to 7.77. The TDS in tap water ranged from 109 to 116 mg/L, and in wastewater, it ranged from 451 to 2000 mg/L. The EC values were found in tap water from 0.22 to 0.23 mS/cm, whereas in wastewater, they ranged from 0.86 to 13.20 mS/cm. Additionally, for DO, the tap water ranged from 4.21 to 6.25 mg/L; in wastewater, it ranged from 0.98 to 1.86 mg/L. The pH and TDS stayed within the standard limits in the physical–chemical parameters assessed. However, the EC and DO are not within the DoE (Department of Environment, Bangladesh)-allowed limits. In addition, more microbial colonies have occurred in wastewater than in tap water. The study demonstrates that the discharge of dairy wastewater in the open field is detrimental to our ecosystem, and a proper treatment facility is essential.
1. Introduction
In Bangladesh, the most prevalent livestock are dairy animals such as cows and buffaloes, which are very important to the development of the nation’s economy. Because of the fast rate of population growth, the expansion of education, and greater nutrition awareness, the demand for milk and milk products is expanding. As a result of these factors, dairy development has become a top priority in Bangladesh’s economy. Apart from milk production, these animals provide a large amount of organic manure, which is one of the most important agricultural inputs in Bangladesh. Dairy farming is a sideline for practically all Bangladeshi farmers [1]. In terms of essential nutrients, dairy products are among the highest sources in humans’ diets, and they play a significant role in meeting their nutritional needs. Dairy products have a relatively short life span, and as they break down, they cause a lot of environmental problems. Compared to other industries, the dairy industry has become one of the most significant wastewater generators in Bangladesh [2].
Wastewater management has become a major issue in recent years. The effluents produced by domestic and industrial activities are the primary sources of pollution in natural water. The poor quality of wastewater effluents causes the deterioration of receiving water bodies because untreated or improperly treated wastewater effluent can promote eutrophication in receiving water bodies and generate circumstances that encourage the expansion of toxin-producing cyanobacteria pathogens in the water [3]. The dairy sector is one of the leading sources of wastewater. Cleaning requires a large volume of water; therefore, the wastewater produced by this sector may contain detergent, base, sanitizers, salts, and organic materials, depending on the source (equipment cleaning vs. spills on the floor) [4]. Temperature, color, DO, COD, pH (6.5–8.0), BOD, dissolved solids, suspended particles, chlorides, sulphate, oil, and grease are all factors contained in dairy effluent. In addition, dairy effluent contains soluble organics, suspended solids, and trace organics. All of these factors contribute to the high biological oxygen demand (BOD) and chemical oxygen demand (COD) in the water body [5].
Bacillus cereus, Bacillus subtilis, Pseudomonas fluorescens, Pseudomonas aeruginosa, Escherichia coli, Enterobacter, Streptococcus faecalis, and other heterotrophic bacteria can be detected in dairy wastewater. Yeasts from the genera Candida, Saccharomyces, and Cryptococcus can also be found [6]. Pathogenic bacteria, including E. coli O157:H7, Salmonella, Campylobacter, and others, have been linked to cow manure and could contaminate crops. Pathogenic bacteria and nutrients, such as sodium chloride, phosphate, and nitrate can build up in soils and leach into surface and groundwaters, rendering them unfit for human and animal use [7]. Dairy effluents degrade quickly, depleting the dissolved oxygen level in receiving streams and leading to the development of anaerobic conditions and the formation of strong foul odors. Wastewater disposal into rivers, land, fields, and other aquatic bodies, without or with partial treatment in crude tanks, will pose many severe health and hygiene problems in the foreseeable future [4].
The properties of wastewater that will be released into the aquatic environment or treated and reused must be appropriately characterized to assess the quality of the wastewater. Hence, this research focuses on determining the physicochemical properties of tap water and wastewater effluent from dairy farms and the bacterial colony count of both water samples to assess their quality.
2. Materials and Methods
2.1. Sample Collection
Three domestic dairy farms in the Islamnagar region of Savar, Dhaka, Bangladesh, were selected to collect the water samples. On each farm, two samples were collected from two different sources (tap water and wastewater). The three selected farms provided a total of 12 samples. Tap water and wastewater samples were collected in 6 disinfected plastic bottles for evaluation of the physical and chemical characteristics, while samples for a viable microbiological count were collected in 6 falcon tubes. Plastic bags were used to retain the samples. Permanent marker pens were used to write down the numbers on the samples.
2.2. Work Plan and Materials
Laboratory experiments were carried out in the two specialized laboratories:
Department of Environmental Sciences, Jahangirnagar University, Savar, Dhaka, and Bangladesh Livestock Research Institute (BLRI), Savar, Dhaka. Various apparatus, instruments, and chemicals were used to carry out this study. They are as follows:
Plastic sample bottles, falcon tubes, plastic bags, hand gloves, a beaker and a petri dish, a pH meter, an EC meter, a DO meter, a TDS meter, an autoclave, an incubator, vortex mixture, an inter-science easy spiral dilute and laminar flow cabinet, distilled water, and nutrient agar media.
2.3. Physicochemical Properties Analysis
The color of the water samples was observed with the naked eye. Sensory measures using the nose as a detector were used to determine odor. Temperature, DO, TDS, EC, and pH were measured in the laboratory using their respective meters.
2.4. Count of Microbial Colony
After collecting the samples, they were taken to the laboratory and thoroughly mixed with a vortex mixer. The nutrient agar media was prepared by using an autoclave. The media was poured into petri dish and left to settle. Using nutritional agar media Petri plates, the viable microbe count was assessed. An inter-science easy spiral dilutes machine with a dilution factor of 10−3 was used to execute step-by-step serial dilutions of water samples. The serial dilution was performed using the spread plate technique and NaCl saline solution. The plates were then incubated at 37 °C for 24 h. After the incubation period, the petri dish was observed, and the colony that had been produced was counted.
2.5. Questionnaire Suzrvey
A survey was carried out to gather general information about the farms. Close-ended questions were used to collect the initial half of the socio-demographic data. The second segment included open-ended questions that allowed participants to elaborate on their responses. The routine practices on the farm and farm waste, such as where waste is disposed of and what disinfectant is used for cleaning, were also examined.
3. Results
3.1. Physicochemical Analysis
Table 1 summarizes the results of the analysis of physicochemical properties of tap water and dairy wastewater samples from three dairy farms. The study’s findings were compared to a standard established by the Department of the Environment (DoE), Bangladesh. These are National Standards for Waste Discharge Quality for Bangladesh [8].
Table 1.
Analysis of physicochemical properties of tap water and wastewater from dairy sector.
3.2. Survey Analysis
Demographic data from the survey provides information about the farmers’ age, education, and occupation. The farm-related survey collects data about farms and how they run, such as the number of cows, antibiotics and disinfectants used, and so on.
Based on the questionnaire survey, the collected data are presented in the Table 2:
Table 2.
Farm-related information from the questionnaire survey.
3.3. Analysis of Microbial Colony Count
The tap water and wastewater were serially diluted. The diluted factor for both type of water sample was 10−3 and the volume of the sample was 1 mL (Table 3).
Table 3.
Summarizes the results of the microbial viable count of tap water and dairy wastewater.
4. Discussion
Color and odor: Most of the wastewater samples were light brown or dark brown, whereas the tap water samples were clear, and the wastewater samples had a strong or weak odor, but the tap water samples had no odor, indicating the presence of undesired pollutants.
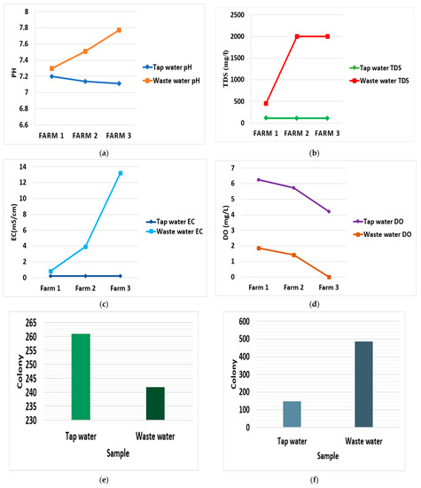
pH: The large range in the pH value of effluent can have an impact on the rate of biological processes, the survival of different microorganisms, and the soil’s quality [9]. According to the current investigation, the pH appears to be under the national guideline for wastewater disposal (Table 1). The pH measurements range from 7.30 to 7.77, which shows that the effluent from these farms is just slightly alkaline (Figure 1a).

Figure 1.
(a) Variation in the value of pH. (b) Variation in the value of TDS (mg/L). (c) Variation in the value of EC (mS/cm. (d) Variation in the value of DO (mg/L). (e) Microbial colony count (F 1). (f) Microbial colony count (F 2). (g) Microbial colony count (F 3).
Total Dissolved Solids (TDS): The variation of the total value of dissolved solids is caused by the collision of these colloidal particles, and the total solid concentration in waste effluent [9]. For the effluent samples used in this investigation, TDS ranged from 451 to 2000 mg/L (Figure 1b), which is within the permitted range (Table 1).
Electrical Conductivity (EC): Tap water EC values ranged from 0.22 to 0.23 mS/cm, whereas wastewater EC levels ranged from 0.86 to 13.20 mS/cm (Figure 1c). According to the DoE’s water quality discharge limit of 1.2 mS/cm, the EC is not within the permissible level for the samples taken (Table 1). Wastewater has a higher EC than the farm’s tap water, indicating that more chemicals have been dissolved in the water.
Dissolved Oxygen (DO): One of the key factors in determining the quality of water is the amount of dissolved oxygen in the water, which is necessary to support a range of aquatic life forms [9]. In the present study, the DO is not within the allowed threshold for the samples taken, according to the DoE’s standard (Table 1). The wastewater on all of the farms had a lower DO than the farm’s tap water, indicating that more microorganisms in the wastewater use more oxygen for respiration (Figure 1d).
Microbial viable count: As seen in Figure, microbial colonies form more frequently in tap water than in wastewater.
According to the survey, Farm #1 uses bleaching powder twice daily, which is why the wastewater has a smaller microbial colony than tap water.
Environmental Impact: Compared to other toxic solid and gaseous waste, the organic wastewater emitted by the dairy sector is highly detrimental to the ecosystem. Fresh water sources are harmed in every way by the organic garbage dumped into them [2]. Low amounts of dissolved oxygen influence the survival of fish by raising their susceptibility to disease and slowing down their growth, and long-term reductions can modify the species’ makeup. Water bodies that receive wastewater effluent may also undergo physical changes. Many direct and indirect environmental consequences can result from the discharge of suspended solids into receiving waters, including reduced sunlight penetration, physical injury to fish, and toxic effects from toxins linked to suspended particles. The phenomenon of bioaccumulation and biomagnifications is one of the potential health effects of untreated wastewater effluent on the environment [3].
5. Conclusions
In the current study, the wastewater samples taken from the study area are light brown and slightly alkaline. All water samples’ pH and TDS levels are within the acceptable range. Farm #1 is within the acceptable limit regarding electrical conductivity, but the EC values of the other two farms are not. DO levels in the tests conducted on any of the farms were found to be higher than the allowable limit. For two farms, the microbiological quality of all the water samples in this study was poor. In Farms #2 and #3, wastewater contains more microbes than tap water. Because this farm discharges enormous volumes of wastewater effluents into the adjacent pond and soil regularly, the soil, surface water, and groundwater might be contaminated. As a result, remediation and mitigation of these effluents’ overall consequences on receiving water bodies and soil are required. Wastewater should be treated before release to avoid contamination of soil and water bodies. Planning, monitoring, management, treatment, and legislation are recommended to maintain the water quality.
Author Contributions
F.R.: Sample collection, methodology, data analysis, original draft preparation, review and editing; H.A.: data analysis, original draft preparation, review and editing; M.A.S.: investigation, conceptualization, review and editing, supervision; M.M.R.: investigation, conceptualization, review and editing, supervision. All authors have read and agreed to the published version of the manuscript.
Funding
This research paper has received no external funding.
Institutional Review Board Statement
Not applicable.
Informed Consent Statement
Not applicable.
Data Availability Statement
Not applicable.
Acknowledgments
The authors are thankful to Water Research Center, Department of Environmental Sciences, Jahangirnagar University, and the Animal Health Laboratory (BLRI), for providing laboratory facilities. F.R. is grateful to Samun Sarker and Ayesha Ahmed, Animal Health Laboratory (BLRI) for supplying necessary reagents and helping out with the laboratory analysis.
Conflicts of Interest
The authors declare no conflict of interest.
References
- Edwards, G.; Shamsuddoha, A. Dairy Industry in Bangladesh: Problems and Prospects. In Proceedings of the 44th Conference of the Australian Agricultural and Resource Economics Society, Sydney, Australia, 23–25 January 2000; pp. 1–26. [Google Scholar]
- Joshiba, G.J.; Kumar, P.S.; Femina, C.C.; Jayashree, E.; Racchana, R.; Sivanesan, S. Critical review on biological treatment strategies of dairy wastewater. Desalin. Water Treat. 2019, 160, 94–109. [Google Scholar] [CrossRef]
- Akpor, O.B.; Muchie, M. Environmental and public health implications of wastewater quality. Afr. J. Biotechnol. 2011, 10, 2379–2387. [Google Scholar]
- Tikariha, A.; Sahu, O. Study of Characteristics and Treatments of Dairy Industry Waste Water. J. Appl. Environ. Microbiol. 2014, 2, 16–22. [Google Scholar] [CrossRef]
- Shete, N.P.; Shinkar, B. Dairy Industry Wastewater Sources, Characteristics & its Effects on Environment. Int. J. Curr. Eng. Technol. 2013, 3, 1611–1615, ISSN 2277-4106. Available online: http://inpressco.com/category/ijcet (accessed on 20 April 2022).
- Al-Wasify, R.S.; Ali, M.N.; Hamed, S.R. Biodegradation of dairy wastewater using bacterial and fungal local isolates. Water Sci. Technol. 2017, 76, 3094–3100. [Google Scholar] [CrossRef] [PubMed]
- McGarvey, J.A.; Miller, W.G.; Sanchez, S.; Silva, C.J.; Whitehand, L.C. Comparison of bacterial populations and chemical composition of dairy wastewater held in circulated and stagnant lagoons. J. Appl. Microbiol. 2005, 99, 867–877. [Google Scholar] [CrossRef] [PubMed]
- Department of Environment “Guide for Assessment of Effluent Treatment Plants”; Ministry of Environment, Forest and Climate Change, Government of People’s Republic of Bangladesh: Dhaka, Bangladesh, 2008.
- Verma, A.; Singh, A. Physico-Chemical Analysis of Dairy Industrial Effluent. Int. J. Curr. Microbiol. Appl. Sci. 2017, 6, 1769–1775. [Google Scholar] [CrossRef]
Disclaimer/Publisher’s Note: The statements, opinions and data contained in all publications are solely those of the individual author(s) and contributor(s) and not of MDPI and/or the editor(s). MDPI and/or the editor(s) disclaim responsibility for any injury to people or property resulting from any ideas, methods, instructions or products referred to in the content. |
© 2022 by the authors. Licensee MDPI, Basel, Switzerland. This article is an open access article distributed under the terms and conditions of the Creative Commons Attribution (CC BY) license (https://creativecommons.org/licenses/by/4.0/).