Accuracy and Repeatability of Thread Measurements Using Replication Techniques †
Abstract
1. Introduction
2. Materials and Methods
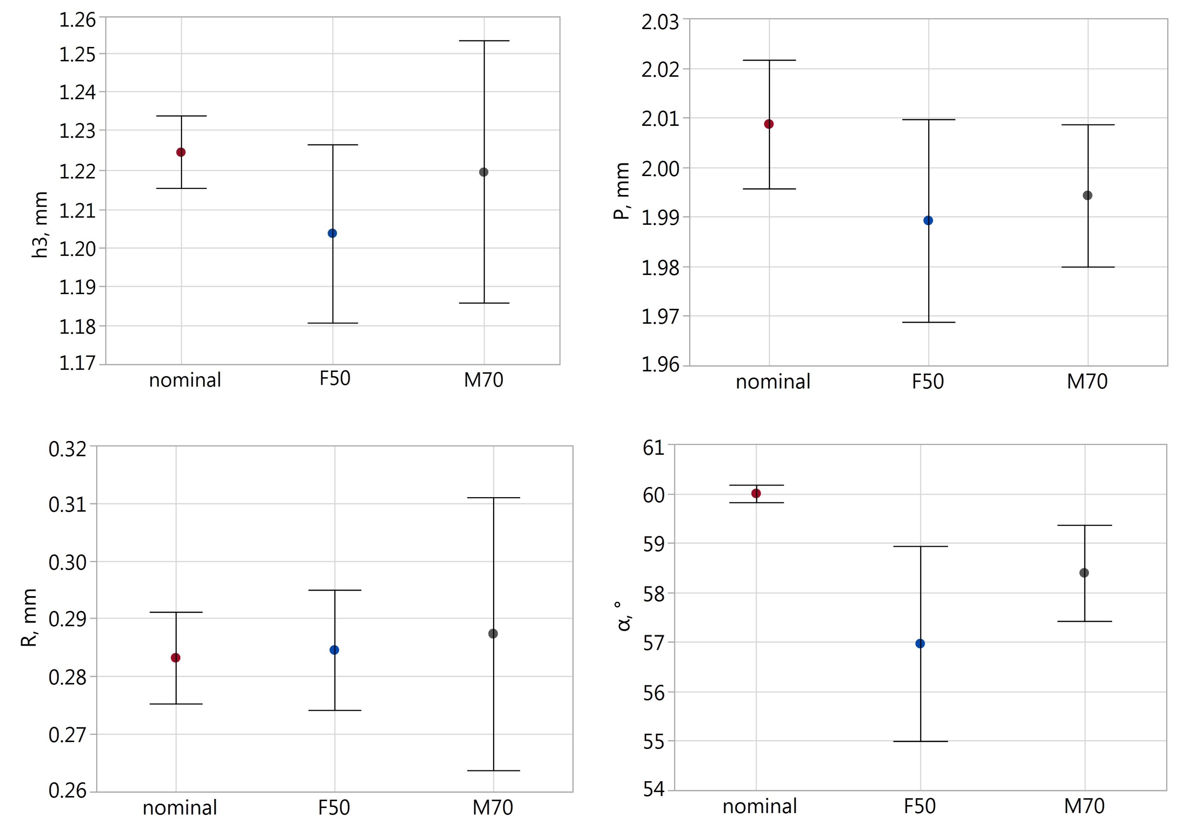
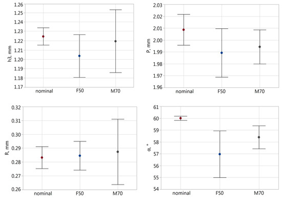
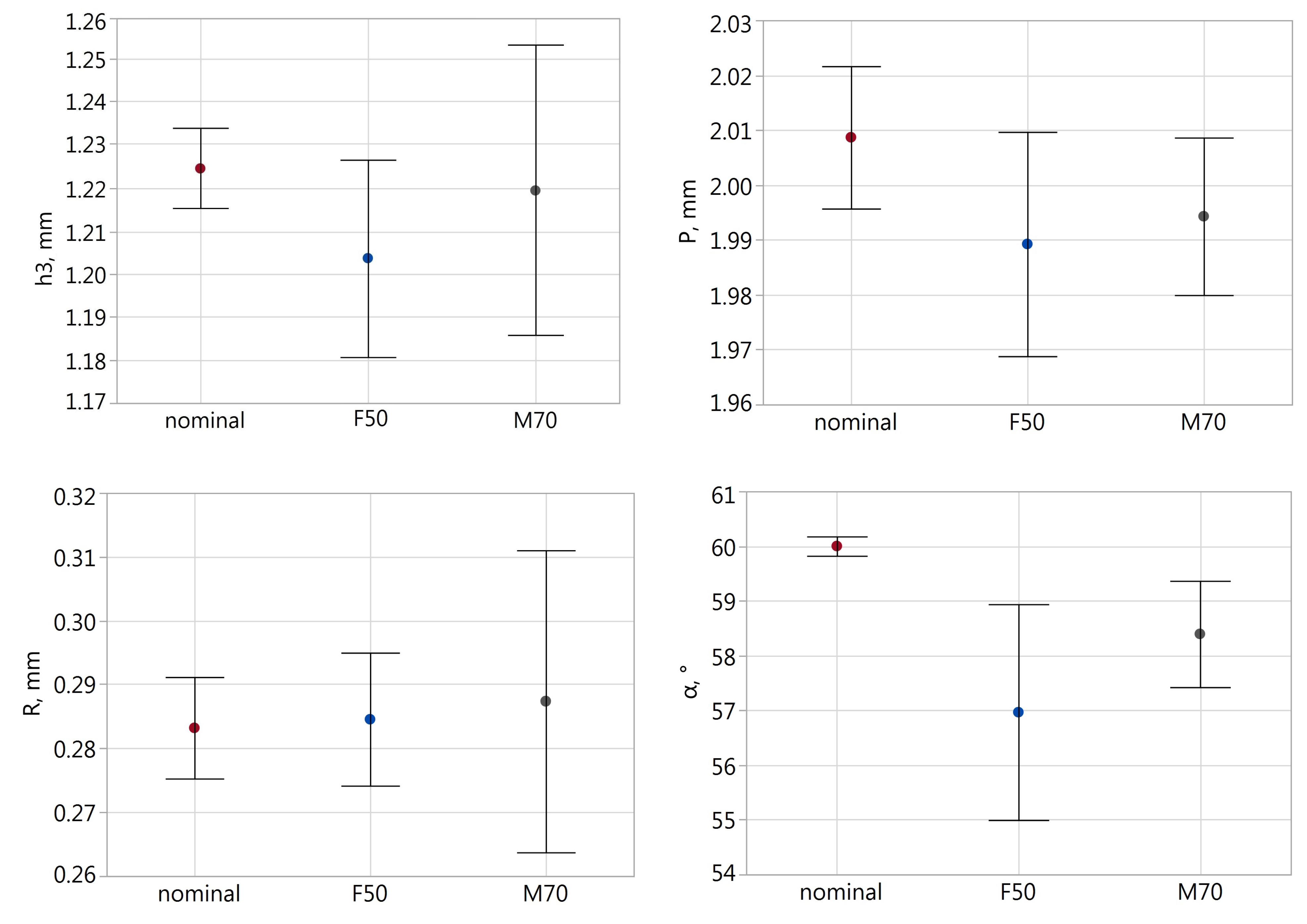
- Pitch P (nominal value mm),
- Thread height h3 (nominal value h3 mm),
- Root radius R (nominal value mm),
- Thread angle (nominal value ).
3. Results and Discussion
4. Conclusions
Funding
Institutional Review Board Statement
Informed Consent Statement
Data Availability Statement
Conflicts of Interest
References
- Hawryluk, M.; Marek Kuran, J.Z. The use of replicas in the measurement of machine elements with use of contact coordinate measurements. Mechanik 2018, 91, 958–960. [Google Scholar] [CrossRef]
- Polivka, F. Replica technique for the inspection and measurement of small internal screw threads. Precis. Eng. 1983, 5, 167–170. [Google Scholar] [CrossRef]
- Baruffi, F.; Parenti, P.; Cacciatore, F.; Annoni, M.; Tosello, G. On the Application of Replica Molding Technology for the Indirect Measurement of Surface and Geometry of Micromilled Components. Micromachines 2017, 8, 195. [Google Scholar] [CrossRef]
- Saxena, K.K.; Bellotti, M.; Qian, J.; Reynaerts, D. Characterization of Circumferential Surface Roughness of Micro-EDMed Holes Using Replica Technology. Procedia CIRP 2018, 68, 582–587. [Google Scholar] [CrossRef]
- Kubišová, M.; Pata, V.; Sýkorová, L.; Franková, M. Statistical Comparison of Original and Replicated Surfaces. In Advances in Manufacturing II; Diering, M., Wieczorowski, M., Brown, C.A., Eds.; Springer International Publishing: Cham, Switzerland, 2019; pp. 1–10. [Google Scholar]
- Bhaduri, D.; Soo, S.; Aspinwall, D.; Novovic, D.; Harden, P.; Bohr, S.; Martin, D. A Study on Ultrasonic Assisted Creep Feed Grinding of Nickel Based Superalloys. Procedia CIRP 2012, 1, 359–364. [Google Scholar] [CrossRef]
- Gara, L.; Zou, Q.; Sangeorzan, B.; Barber, G.; McCormick, H.; Mekari, M. Wear measurement of the cylinder liner of a single cylinder diesel engine using a replication method. Wear 2010, 268, 558–564. [Google Scholar] [CrossRef]
- Bazan, A.; Kawalec, A.; Rydzak, T.; Kubik, P. Variation of Grain Height Characteristics of Electroplated cBN Grinding-Wheel Active Surfaces Associated with Their Wear. Metals 2020, 10, 1479. [Google Scholar] [CrossRef]
- Bazan, A.; Kawalec, A.; Rydzak, T.; Kubik, P.; Olko, A. Determination of Selected Texture Features on a Single-Layer Grinding Wheel Active Surface for Tracking Their Changes as a Result of Wear. Materials 2020, 14, 6. [Google Scholar] [CrossRef] [PubMed]
- Solecki, L.; Nagy, S. Some remarks on comparing microgeometrical profiles and the application of replicas in microgeometrical measurements. Surf. Topogr. Metrol. Prop. 2018, 6, 045001. [Google Scholar] [CrossRef]
- Goodall, R.H.; Darras, L.P.; Purnell, M.A. Accuracy and Precision of Silicon Based Impression Media for Quantitative Areal Texture Analysis. Sci. Rep. 2015, 5, 10800. [Google Scholar] [CrossRef] [PubMed]



| Property | PLASTIFORM M70 | PLASTIFORM F50 |
|---|---|---|
| Initial consistency | Pasty | Fluid |
| Final consistency | Semi-flexible | Semi-flexible |
| Final hardness in Shore A | 70 | 50 |
| Maximal removal constraint | 5% | 10% |
| Setting time (20 C) | 4 min | 8 min |
| Precision | 0.01 mm | 0.001 mm |
| Direct measurement | No | No |
| Possibility to cut to obtain a profile | Yes | Yes |
| Parameter | Nominal | M70 | F50 |
|---|---|---|---|
| h3 | 1/3 | 1/10 | 2/10 |
| P | 0/3 | 0/10 | 0/10 |
| R | 1/3 | 0/10 | 1/10 |
| 0/3 | 6/10 | 7/10 |
Publisher’s Note: MDPI stays neutral with regard to jurisdictional claims in published maps and institutional affiliations. |
© 2022 by the author. Licensee MDPI, Basel, Switzerland. This article is an open access article distributed under the terms and conditions of the Creative Commons Attribution (CC BY) license (https://creativecommons.org/licenses/by/4.0/).
Share and Cite
Bazan, A. Accuracy and Repeatability of Thread Measurements Using Replication Techniques. Eng. Proc. 2022, 24, 15. https://doi.org/10.3390/IECMA2022-12885
Bazan A. Accuracy and Repeatability of Thread Measurements Using Replication Techniques. Engineering Proceedings. 2022; 24(1):15. https://doi.org/10.3390/IECMA2022-12885
Chicago/Turabian StyleBazan, Anna. 2022. "Accuracy and Repeatability of Thread Measurements Using Replication Techniques" Engineering Proceedings 24, no. 1: 15. https://doi.org/10.3390/IECMA2022-12885
APA StyleBazan, A. (2022). Accuracy and Repeatability of Thread Measurements Using Replication Techniques. Engineering Proceedings, 24(1), 15. https://doi.org/10.3390/IECMA2022-12885

