Coarse Grain Spectral Analysis for the Low-Amplitude Signature of Multiperiodic Stellar Pulsators †
Abstract
1. Introduction: Harmonic or Fractal Time Series?
2. Methodology: Fractal Analysis of a Gaped Time Series
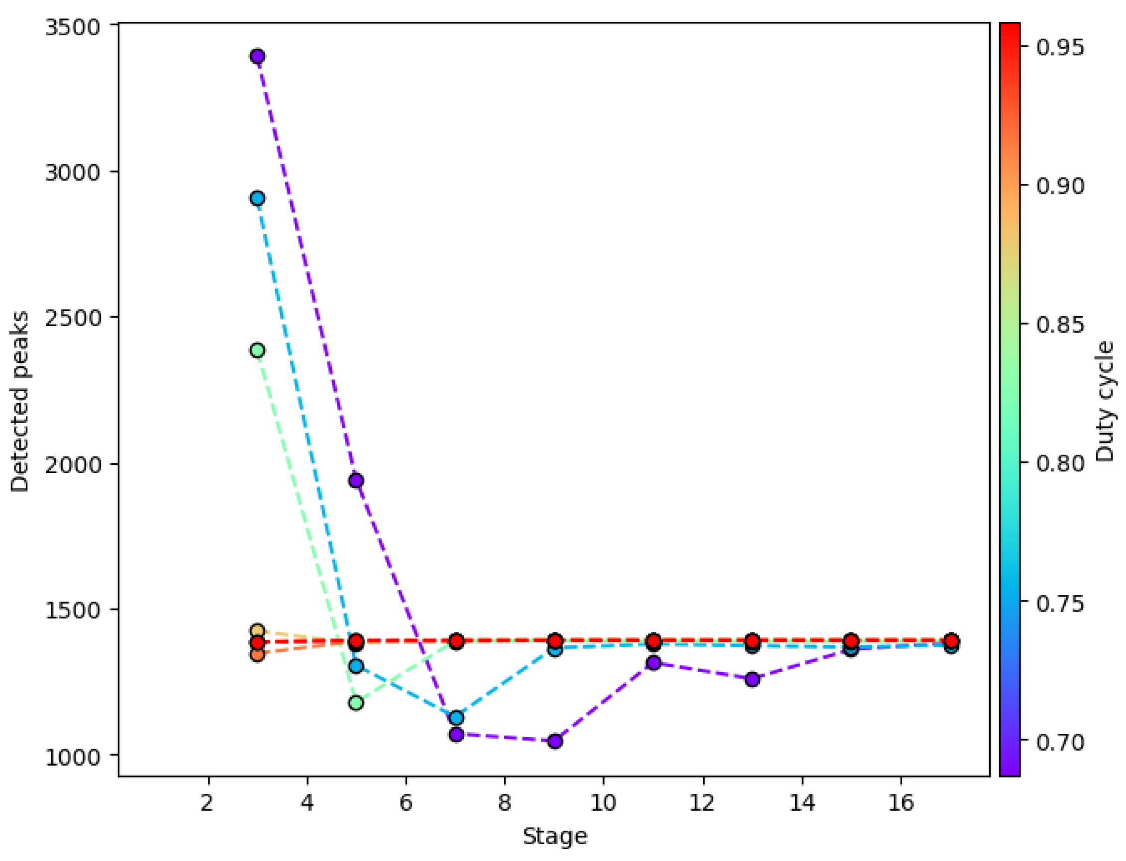
3. Results: Applying the Method to a Real Pulsating Star
Author Contributions
Funding
Acknowledgments
Conflicts of Interest
Abbreviations
| CGSA | Coarse Grain Spectral Analysis |
| TESS | Transiting Exoplanet Survey Satellite |
References
- Poretti, E.; Michel, E.; Garrido, R.; Lefèvre, L.; Mantegazza, L.; Rainer, M.; Rodríguez, E.; Uytterhoeven, K.; Amado, P.J.; Martín-Ruiz, S.; et al. HD 50844: A new look at δ Scuti stars from CoRoT space photometry. Astron. Astrophys. 2009, 506, 85–93. [Google Scholar] [CrossRef]
- Pascual-Granado, J.; Garrido, R.; Suárez, J.C. Limits in the application of harmonic analysis to pulsating stars. Astron. Astrophys. 2015, 581, A89. [Google Scholar] [CrossRef]
- Yamamoto, Y.; Hughson, R.L. Extracting fractal components from time series. Phys. D Nonlinear Phenom. 1993, 68, 250. [Google Scholar] [CrossRef]
- Ponman, T. The analysis of periodicities in irregularly sampled data. Mon. Not. R. Astron. Soc. 1981, 196, 583–596. [Google Scholar] [CrossRef][Green Version]
- Barceló Forteza, S.; Michel, E.; Roca Cortés, T.; García, R.A. Evidence of amplitude modulation due to resonant mode coupling in the δ Scuti star KIC 5892969. Astron. Astrophys. 2015, 579, A133. [Google Scholar] [CrossRef]
- Barceló Forteza, S.; Pascual-Granado, J.; Suárez, J.C.; García Hernández, A.; Lares-Martiz, M. Unveiling rotation through fractal analysis of the grass for delta Scuti stars. 2022; in preparation. [Google Scholar]
- Barceló Forteza, S.; Moya, A.; Barrado, D.; Solano, E.; Martín-Ruiz, S.; Suárez, J.C.; García Hernández, A. Unveiling the power spectra of δ Scuti stars with TESS. The temperature, gravity, and frequency scaling relation. Astron. Astrophys. 2020, 638, A59. [Google Scholar] [CrossRef]
- de Franciscis, S.; Pascual-Granado, J.; Suárez, J.C.; Hernández, A.G.; Garrido, R.; Lares-Martiz, M.; Rodón, J.R. A fractal analysis application of the pre-whitening technique to δ Scuti stars time series. Mon. Not. R. Astron. Soc. 2019, 487, 4457–4463. [Google Scholar] [CrossRef]
- Barceló Forteza, S.; Roca Cortés, T.; García Hernández, A.; García, R.A. Evidence of chaotic modes in the analysis of four δ Scuti stars. Astron. Astrophys. 2017, 601, A57. [Google Scholar] [CrossRef]


Publisher’s Note: MDPI stays neutral with regard to jurisdictional claims in published maps and institutional affiliations. |
© 2022 by the authors. Licensee MDPI, Basel, Switzerland. This article is an open access article distributed under the terms and conditions of the Creative Commons Attribution (CC BY) license (https://creativecommons.org/licenses/by/4.0/).
Share and Cite
Barceló Forteza, S.; Pascual-Granado, J.; Suárez, J.C.; García Hernández, A.; Lares-Martiz, M. Coarse Grain Spectral Analysis for the Low-Amplitude Signature of Multiperiodic Stellar Pulsators. Eng. Proc. 2022, 18, 42. https://doi.org/10.3390/engproc2022018042
Barceló Forteza S, Pascual-Granado J, Suárez JC, García Hernández A, Lares-Martiz M. Coarse Grain Spectral Analysis for the Low-Amplitude Signature of Multiperiodic Stellar Pulsators. Engineering Proceedings. 2022; 18(1):42. https://doi.org/10.3390/engproc2022018042
Chicago/Turabian StyleBarceló Forteza, Sebastià, Javier Pascual-Granado, Juan Carlos Suárez, Antonio García Hernández, and Mariel Lares-Martiz. 2022. "Coarse Grain Spectral Analysis for the Low-Amplitude Signature of Multiperiodic Stellar Pulsators" Engineering Proceedings 18, no. 1: 42. https://doi.org/10.3390/engproc2022018042
APA StyleBarceló Forteza, S., Pascual-Granado, J., Suárez, J. C., García Hernández, A., & Lares-Martiz, M. (2022). Coarse Grain Spectral Analysis for the Low-Amplitude Signature of Multiperiodic Stellar Pulsators. Engineering Proceedings, 18(1), 42. https://doi.org/10.3390/engproc2022018042
