Next Article in Journal
GNSS Pseudorange Differencing for Relative Train Positioning: Performance Assessment in a Railway Environment
Previous Article in Journal
Computational Simulation of Corneal Thickness and Ocular Rotation Influences on Intraocular Pressure Accuracy
 
 
Due to scheduled maintenance work on our servers, there may be short service disruptions on this website between 11:00 and 12:00 CEST on March 28th.
Font Type:
Arial Georgia Verdana
Font Size:
Aa Aa Aa
Line Spacing:
Column Width:
Background:
Proceeding Paper

Evaluation of Absolute and Real Signal Values in Reconstruction of Electrical Impedance Tomography Images †

by
Minh Quan Cao Dinh
1,2,
Hoang Nhut Huynh
1,2,
Tan Loc Huynh
1,2,
Thanh Ven Huynh
1,2,
Dinh Tuyen Nguyen
2,3 and
Trung Nghia Tran
1,2,*
1
Laboratory of Laser Technology, Faculty of Applied Science, Ho Chi Minh City University of Technology (HCMUT), 268 Ly Thuong Kiet Street, Dien Hong Ward, Ho Chi Minh City 72409, Vietnam
2
Vietnam National University Ho Chi Minh City, Linh Xuan Ward, Ho Chi Minh City 71308, Vietnam
3
Power Electronics Research Laboratory, Faculty of Electrical and Electronics, Ho Chi Minh City University of Technology (HCMUT), 268 Ly Thuong Kiet Street, Dien Hong Ward, Ho Chi Minh City 72409, Vietnam
*
Author to whom correspondence should be addressed.
Presented at the 7th Eurasia Conference on Biomedical Engineering, Healthcare and Sustainability 2025 (ECBIOS 2025), Kaohsiung, Taiwan, 23–25 October 2025.
Eng. Proc. 2026, 129(1), 19; https://doi.org/10.3390/engproc2026129019
Published: 25 February 2026

Abstract

We explore the differences between real and absolute values of signals in Electrical Impedance Tomography image reconstruction, with a focus on their impact on image quality and accuracy. Simulations were conducted using a finite element mesh model containing three inclusions with varying conductivity values. The inclusions representing regions with moderate, poor, and high conductivity were carefully chosen to create sharp contrasts in conductivity. In the experiment, 16 electrodes were placed around a circle, a current injection pattern was applied, and the resulting boundary voltages were recorded. The reconstruction based on absolute signal values, depicted in the center image, tended to smooth out sharp conductivity contrasts, leading to significant artifacts and reduced accuracy in localizing the inclusions. In contrast, the reconstruction based on real signal values provided an accurate representation of the true conductivity distribution, improving the localization of the inclusions. The results underscore the critical role of considering the real component of the signal in electrical impedance tomography image reconstruction to achieve improved accuracy and higher fidelity in the resulting images.

1. Introduction

Electrical impedance tomography (EIT) is a non-invasive imaging technique that reconstructs the internal conductivity distribution of an object based on boundary measurements of electrical potentials [1,2]. This technique has significant applications in fields such as medical imaging, industrial process monitoring, and geophysical exploration because of its ability to provide real-time, low-cost, and radiation-free images [3]. However, the quality of the reconstructed images in EIT remains a critical challenge primarily because of the ill-posed nature of the inverse problem it involves, where small measurement errors can lead to substantial inaccuracies in the final image [4,5,6].
The main factor influencing image quality in EIT is the reconstruction method employed. The reconstruction process uses either the absolute or real value of the measured signals, with each approach yielding different outcomes regarding image fidelity and localization of conductivity contrasts [7]. Although widely used, absolute signal reconstruction tends to smooth sharp contrasts in conductivity, leading to artifacts that obscure the true structure of the object being imaged. On the other hand, real signal reconstruction has shown promise in preserving sharp contrasts and enhancing localization accuracy, but it has not been as extensively studied in the context of EIT [8,9].
We investigated the fundamental differences between absolute and real signal reconstruction approaches in EIT image reconstruction. We quantitatively assessed the impact of each method on the accuracy and quality of the resulting images by performing simulations using a finite element method (FEM) mesh with inclusions of varying conductivity. The ultimate goal is to provide insights into how the choice of signal reconstruction method influences image fidelity and highlight the advantages of real signal reconstruction in applications where accurate localization of conductivity changes is critical. The result demonstrates the potential of real signal reconstruction to significantly enhance the accuracy and reliability of EIT as a robust application in both clinical and industrial settings.

2. Method

The simulation was designed to replicate the operating conditions of EIT by leveraging FEM to model the electrical properties of the imaging domain. The FEM mesh was structured as a circular region, which served as the computational domain for the EIT system, and was discretized into smaller triangular elements to ensure the accurate numerical calculation of potential distributions. This domain was embedded with three distinct inclusions exhibiting varying conductivity values to investigate the effect of these conductivity contrasts on the performance of the different image reconstruction methods [10].
The FEM mesh was characterized by different levels of conductivity, each representing a unique conductivity contrast to the surrounding domain.
  • Highly conductive: This inclusion was modeled with a significantly higher conductivity than the surrounding material, simulating regions with high electrical conductivity, such as metallic objects or highly conductive tissues.
  • Poorly conductive: The second inclusion was assigned a much lower conductivity relative to the background domain, representing low-conductivity regions such as fluid-filled cavities or non-conductive materials.
  • Moderately conductive: The third inclusion had a moderate conductivity level that was distinct but closer to the background conductivity for the assessment of how reconstruction techniques handle less pronounced conductivity differences.
The spatial arrangement of these inclusions was chosen to test the ability of the reconstruction techniques to accurately localize both high- and low-contrast conductivity variations, reflecting the challenges encountered in practical EIT applications.
In this study, 16 electrodes were placed equidistantly around the circumference of the circular domain, which is a common configuration in EIT systems designed to ensure uniform coverage and reliable boundary data collection. The electrodes were used to inject electrical currents into the domain and measure the resulting boundary voltages. The current injection pattern followed an adjacent stimulation protocol, in which currents were applied between adjacent pairs of electrodes. For each current-injection event, potential differences were measured across all pairs of electrodes around the boundary. This comprehensive set of boundary voltage data provides the basis for reconstructing the internal conductivity distribution of the domain. Uniform electrode placement and complete boundary voltage measurements were intended to mimic real-world EIT systems, ensuring that the study’s findings are relevant to practical applications in which accurate boundary voltage measurements are critical for high-quality image reconstruction.
Two different signal reconstruction approaches were employed in this study, each interpreting the boundary voltage data differently: absolute signal reconstruction and real signal reconstruction. These methods provide distinct representations of the conductivity distribution within the domain. In EIT image reconstruction, the boundary voltage measurements obtained from the electrodes are typically complex and contain both real and imaginary parts of the signal. This boundary signal can be expressed as a complex number, as shown in Equation (1).
V = V r + j V i
where V r is the real part of the signal, V i is the imaginary part, and j is the imaginary unit.
The magnitude-based reconstruction approach utilizes the absolute value of the signal, which considers only the amplitude, ignoring the phase information. The magnitude of the complex signal is calculated using Equation (2).
| V | = V r 2 + V i 2
Absolute signal reconstruction is widely used in EIT because of its computational simplicity. However, it often smooths sharp contrasts in conductivity, which can result in significant artifacts and reduced accuracy in localizing the inclusions. This method tends to blur the boundaries between regions of different conductivities, making it difficult to distinguish between high- and low-conductivity areas when sharp contrasts exist.
The real-value reconstruction approach directly utilizes the real part of the signal, V r . In this case, the signal is represented by Equation (3).
V r = R e ( V )
Real signal reconstruction preserves the phase and amplitude information of the boundary voltages by directly using the real part of the measured signals in the reconstruction process. This method better represents the true conductivity distribution within the domain by preserving sharp contrasts in the conductivity. Real signal reconstruction improves the localization of inclusions in areas where sharp gradients in conductivity occur, such as the boundaries of inclusions.
We compared the performance of these two reconstruction techniques in terms of their ability to accurately represent the internal conductivity distribution and localize inclusions. The comparison was quantified using the mean squared error (MSE), a standard metric for assessing reconstruction quality, to determine which method better preserves the true conductivity distribution and yields more accurate EIT image reconstructions.

3. Results

Figure 1 illustrates the model construction employed in this study using the FEM. The model represents a circular domain embedded with three objects of varying electrical conductivities. These objects are characterized by distinct conductivity contrasts: one highly conductive, one poorly conductive, and one with moderate conductivity. The differences in conductivity are designed to assess the performance of reconstruction methods in accurately localizing objects and preserving sharp conductivity transitions between inclusions and the background. This configuration simulates the challenges commonly encountered in the practical applications of EIT, where conductivity distributions are often complex and heterogeneous.
Figure 2 shows the voltage signal plot comprising 208 data points, calculated using both real and absolute value approaches. The curve corresponding to the real values preserved both the amplitude and phase characteristics of the signal, leading to a more accurate reconstruction of the conductivity distribution within the domain. In contrast, the plot derived from the absolute values reflects only the magnitude of the signal, resulting in the loss of phase information and smoothing of abrupt transitions. This smoothing can introduce significant inaccuracies into the image reconstruction process. This comparison demonstrates the advantage of using real values to maintain the precision of the boundary voltage measurements over absolute values.
Figure 3 illustrates the reconstructed conductivity maps using the real- and absolute-value approaches in EIT. The reconstruction based on real values (left image) accurately captures the spatial distribution of the conductivity and preserves the sharp transitions between regions with varying conductivities. This is evident in the clear delineation of the inclusions at the boundaries, where the conductivity contrasts were maintained with high fidelity. Such accuracy is crucial for the precise localization and characterization of distinct regions within the imaging domain.
The reconstruction based on absolute values (right image) exhibits significant smoothing of the conductivity gradients, leading to blurring at the interfaces between the inclusions and background. This results in the loss of important details, such as the exact size and shape of inclusions, and introduces artifacts that obscure the true conductivity distribution. The inability of the absolute-value approach to preserve sharp transitions is problematic in cases where high-resolution imaging is required to distinguish materials or tissues with subtle conductivity differences.
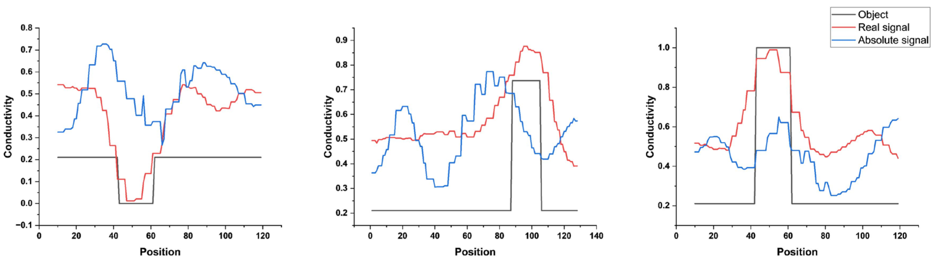
Quantitative comparison supports these observations, with real-value reconstruction demonstrating superior performance in terms of both visual quality and quantitative accuracy. The ability to preserve phase information in the real-value approach directly contributes to a more accurate depiction of conductivity variations, making it a more reliable method for EIT applications that require precise imaging. Figure 4 shows the conductivity profiles along a line intersecting the center of the three inclusions, comparing the original model with the reconstructions generated using the real- and absolute-value approaches. The original profile demonstrated distinct and sharp transitions at the boundaries of the inclusions, accurately representing the true conductivity distribution within the domain.
The profile derived from real-value reconstruction closely aligns with the original, effectively preserving the sharp conductivity discontinuities at the boundaries of the inclusions. This indicates the proficiency of the real-value approach in maintaining critical conductivity contrasts, which is essential for accurate object localization and differentiation in the reconstructed image. The profile from the absolute value reconstruction was significantly smoothed with blurred transitions at the inclusion boundaries. This smoothing results in a loss of sharpness and reduces the ability of the method to clearly distinguish between regions of varying conductivity, leading to inaccuracies in the representation of inclusion size, shape, and location.

4. Discussion

The results present the critical differences between the real- and absolute-value signal reconstruction methods in EIT, with implications for the accuracy and quality of the reconstructed images. The advantage of the real-value approach is its ability to preserve both the phase and amplitude information of the measured boundary voltages, allowing for a more faithful representation of the internal conductivity distribution. This method was shown to maintain sharp transitions at the boundaries of regions with different conductivities, resulting in more accurate localization of inclusions.
In contrast, the absolute value reconstruction method, although computationally simpler, suffers from a fundamental limitation: smoothing of sharp conductivity gradients. This drawback leads to the blurring of object boundaries, introducing artifacts that obscure the true conductivity distribution and diminish the ability to accurately distinguish between regions of high and low conductivity. This effect was evident in the conductivity profiles and reconstructed images, where the real-value approach consistently outperformed the absolute-value method in terms of preserving boundary details and minimizing artifacts.
The implications of these findings extend beyond those of previous studies. In clinical settings, the ability to preserve conductivity contrasts could be crucial for detecting and characterizing pathological tissues, where sharp conductivity variations may indicate regions of interest, such as tumors or areas of inflammation. Similarly, in industrial applications, accurate localization of conductivity anomalies is essential for monitoring and evaluating the material properties or fluid distributions within a system.
Despite the promising results of real-value reconstruction methods, several challenges remain. One limitation is the increased computational complexity associated with the real-value approach for large-scale EIT systems with higher numbers of electrodes or more complex geometries. Future work should aim to optimize the efficiency of this method without compromising its accuracy. Additionally, we focused on a simple model with distinct conductivity contrasts, and further research is needed to evaluate the performance of these methods in more complex and realistic scenarios, such as inhomogeneous or anisotropic tissues, where conductivity variations may be subtler and more difficult to detect.

5. Conclusions

The real-value and absolute-value signal reconstruction methods in EIT were compared in this study. The real-value approach shows superior performance in terms of image accuracy and fidelity. By preserving both phase and amplitude information, the real-value method enables a more precise reconstruction of conductivity distributions, effectively maintaining sharp transitions between regions of different conductivities. This is critical for applications in which accurate localization and delineation of internal structures are required. Although simpler to implement, the absolute value method is less effective in preserving fine conductivity details, leading to blurred boundaries and reduced image quality. This limitation is problematic in scenarios where distinguishing regions with subtle conductivity differences is essential. The results highlight the importance of selecting appropriate reconstruction techniques in EIT applications involving high-resolution imaging and the need for an accurate representation of conductivity variations. The real-value method, as demonstrated, holds great potential for enhancing the performance of EIT systems in both medical and industrial applications.

Author Contributions

Conceptualization, H.N.H.; methodology, T.N.T.; software, M.Q.C.D.; vali dation, T.L.H.; formal analysis, T.V.H.; investigation, T.N.T.; resources, D.T.N.; data curation, T.N.T. and D.T.N.; writing—original draft preparation, T.N.T. and M.Q.C.D.; writing—review and editing, H.N.H.; visualization, H.N.H.; supervision, T.N.T.; project administration, H.N.H. and T.N.T. All authors have read and agreed to the published version of the manuscript.

Funding

This research received no external funding.

Institutional Review Board Statement

Not applicable.

Informed Consent Statement

Not applicable.

Data Availability Statement

Data underlying the results presented in this paper are not publicly available but may be obtained from the authors upon reasonable request.

Acknowledgments

We acknowledge Ho Chi Minh City University of Technology (HCMUT), VNU-HCM for supporting this study.

Conflicts of Interest

The authors declare no conflicts of interest.

References

  1. Bera, T.K. Applications of electrical impedance tomography (EIT): A short review. IOP Conf. Ser. Mater. Sci. Eng. 2018, 301, 012004. [Google Scholar] [CrossRef]
  2. Lionheart, W.R. EIT reconstruction algorithms: Pitfalls, challenges and recent developments. Physiol. Meas. 2004, 25, 125. [Google Scholar] [CrossRef] [PubMed]
  3. Guo, J.; Zhuang, B.; Li, R.; Lin, Z.; Cheng, Z.; Lou, H. EIT probe based intraoperative tissue inspection for minimally invasive surgery. Meas. Sci. Technol. 2024, 35, 105119. [Google Scholar] [CrossRef]
  4. Adler, A.; Amato, M.B.; Arnold, J.H.; Bayford, R.; Bodenstein, M.; Bohm, S.H.; Brown, B.H.; Frerichs, I.; Stenqvist, O.; Weiler, N.; et al. Whither lung EIT: Where are we, where do we want to go and what do we need to get there? Physiol. Meas. 2012, 33, 679. [Google Scholar] [CrossRef] [PubMed]
  5. Huynh, H.N.; Diep, Q.T.N.; Tran, A.T.; Ching, C.T.S.; Chan, T.N. An approximate point-spread function for electrical impedance tomography imaging. IEEE Access 2024, 12, 128246–128254. [Google Scholar] [CrossRef]
  6. Yang, L.; Wu, H.; Liu, K.; Chen, B.; Yang, Y.; Zhu, C.; Yao, J. An image reconstruction algorithm for electrical impedance tomography using measurement estimation of virtual electrodes. IEEE Sens. J. 2022, 22, 13012–13022. [Google Scholar] [CrossRef]
  7. Songsangvorn, N.; Xu, Y.; Lu, C.; Rotstein, O.; Brochard, L.; Slutsky, A.S.; Burns, K.E.; Zhang, H. Electrical impedance tomography-guided positive end-expiratory pressure titration in ARDS: A systematic review and meta-analysis. Intensive Care Med. 2024, 50, 617–631. [Google Scholar] [CrossRef]
  8. Adler, A.; Holder, D. Electrical Impedance Tomography: Methods, History and Applications; CRC Press: Boca Raton, FL, USA, 2021. [Google Scholar]
  9. Ye, M.; Zhou, T.; Li, X.; Yang, L.; Liu, K.; Yao, J. U2-net for 3D electrical impedance tomography with combined electrodes. IEEE Sens. J. 2023, 23, 4327–4335. [Google Scholar] [CrossRef]
  10. Adler, A.; Arnold, J.H.; Bayford, R.; Borsic, A.; Brown, B.; Dixon, P.; Faes, T.J.; Frerichs, I.; Gagnon, H.; Garber, Y.; et al. GREIT: A unified approach to 2D linear EIT reconstruction of lung images. Physiol. Meas. 2009, 30, S35. [Google Scholar] [CrossRef] [PubMed]
Figure 1. Mesh model of simulation.
Figure 1. Mesh model of simulation.
Engproc 129 00019 g001
Figure 2. Real and absolute simulation signals.
Figure 2. Real and absolute simulation signals.
Engproc 129 00019 g002
Figure 3. Reconstructed conductivity image using real and absolute signals.
Figure 3. Reconstructed conductivity image using real and absolute signals.
Engproc 129 00019 g003
Figure 4. Profiles along a line intersecting the center of the three inclusions, comparing the original model with the reconstructions generated using the real- and absolute-value approaches.
Figure 4. Profiles along a line intersecting the center of the three inclusions, comparing the original model with the reconstructions generated using the real- and absolute-value approaches.
Engproc 129 00019 g004
Disclaimer/Publisher’s Note: The statements, opinions and data contained in all publications are solely those of the individual author(s) and contributor(s) and not of MDPI and/or the editor(s). MDPI and/or the editor(s) disclaim responsibility for any injury to people or property resulting from any ideas, methods, instructions or products referred to in the content.

Share and Cite

MDPI and ACS Style

Dinh, M.Q.C.; Huynh, H.N.; Huynh, T.L.; Huynh, T.V.; Nguyen, D.T.; Tran, T.N. Evaluation of Absolute and Real Signal Values in Reconstruction of Electrical Impedance Tomography Images. Eng. Proc. 2026, 129, 19. https://doi.org/10.3390/engproc2026129019

AMA Style

Dinh MQC, Huynh HN, Huynh TL, Huynh TV, Nguyen DT, Tran TN. Evaluation of Absolute and Real Signal Values in Reconstruction of Electrical Impedance Tomography Images. Engineering Proceedings. 2026; 129(1):19. https://doi.org/10.3390/engproc2026129019

Chicago/Turabian Style

Dinh, Minh Quan Cao, Hoang Nhut Huynh, Tan Loc Huynh, Thanh Ven Huynh, Dinh Tuyen Nguyen, and Trung Nghia Tran. 2026. "Evaluation of Absolute and Real Signal Values in Reconstruction of Electrical Impedance Tomography Images" Engineering Proceedings 129, no. 1: 19. https://doi.org/10.3390/engproc2026129019

APA Style

Dinh, M. Q. C., Huynh, H. N., Huynh, T. L., Huynh, T. V., Nguyen, D. T., & Tran, T. N. (2026). Evaluation of Absolute and Real Signal Values in Reconstruction of Electrical Impedance Tomography Images. Engineering Proceedings, 129(1), 19. https://doi.org/10.3390/engproc2026129019

Article Metrics

Back to TopTop