Next Article in Journal
Investigation of Interactions of ortho- and para-N-Aryl-Substituted 2-Trifluoromethylcinnamanilides
Previous Article in Journal
Synthesis and Biological Activity of New Derivatives of Isoindoline-1,3-dione as Non-Steroidal Analgesics
 
 
Font Type:
Arial Georgia Verdana
Font Size:
Aa Aa Aa
Line Spacing:
Column Width:
Background:
Proceeding Paper

Asymmetric Transfer Hydrogenation of Aryl Heteroaryl Ketones and o-Hydroxyphenyl Ketones Using Noyori-Ikariya Catalysts †

1
Department of Chemistry, The University of Warwick, Coventry CV4 7AL, UK
2
Department Chem, ICEx, Campus Pampulha, Universidade Federal de Minas Gerais, Av. Presidente Antonio Carlos 6627, Belo Horizonte BR-31270901, MG, Brazil
*
Author to whom correspondence should be addressed.
Presented at the 25th International Electronic Conference on Synthetic Organic Chemistry, 15–30 November 2021; Available online: https://ecsoc-25.sciforum.net/.
Chem. Proc. 2022, 8(1), 35; https://doi.org/10.3390/ecsoc-25-11774
Published: 14 November 2021
In 1995, Noyori and co-workers made a breakthrough with their design of practical ruthenium-based catalysts, which combined the homochiral TsDPEN ligand with a Ru(II) arene [1,2]. Using (R,R)-1 at a loading of 0.5 mol% in either KOH-iPrOH or the azeotropic mixture of formic acid–triethylamine (FA:TEA, 5:2 molar ratio), the reduction of acetophenone was achieved in up to 98% ee (Figure 1).
The mechanism for the asymmetric transfer hydrogenation (ATH) with Noyori–Ikariya catalysts is now well-established (Figure 2) [3,4,5,6,7,8,9]. The precatalyst can be activated by elimination of HCl to form a 16-electron neutral Ru(II) complex. Then, the 16-electron complex abstracts two hydrogen atoms from the hydrogen donor, such as isopropanol, a formic acid/triethylamine (FA/TEA) mixture or sodium formate, to form a hydride that contains an 18-electron Ru(II) centre. Finally, the two hydrogen atoms are transferred to the C=O group and reduce ketone substrates into chiral alcohol products. Meanwhile, the 16-electron neutral Ru(II) complex is regenerated and can restart the catalytic cycle. The six-membered transition state can be stabilized by the combination of electrostatic interactions and steric effects. Edge/face (or CH/π) electrostatic interaction makes the electron-rich aryl group of a substrate favour the position adjacent to the η6-arene ring of the catalyst (Figure 3), whereas the large group and electron group favour the position distal to η6-arene ring (Figure 4).
Noyori [(arene)Ru(TsDPEN)Cl] catalysts with different arene rings are shown below (Figure 5) [2]. The reactivity of Noyori-type catalysts in ATH reactions is changed when the arene ligand is different, activity following the order benzene > p-cymene   mesitylene > hexamethylbenzene.
A new class of “tethered” ruthenium (II) catalyst was introduced by Wills et al. (Figure 6) [10,11,12]. In some cases, these exhibit improved activity over the non-tethered versions, which allows a reduction of catalyst loading and reaction times.
ATH of some benzophenone derivatives [9,13,14] and heterocyclic ketones [15,16,17] has been reported. The electronic differences between two phenyl rings caused by the electron-donating p-OMe group and electron-withdrawing p-CN group make the p-OMe substituted phenyl ring adopt the position proximal to the η6-arene. Out-of-plane aromatic rings with one or two ortho-substituent groups favour positioning distal to η6-arene and result in the formation of alcohol products with very high ees (Figure 7).
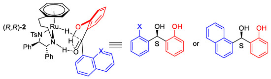
We have studied ATH of ortho-hydroxyphenyl acetophenone derivatives with four different tethered catalysts (Figure 8) [18]. (R,R)-3C-tethered catalyst 2 was found to be the most active of the series tested initially with ortho-hydroxybenzophenone.
The configuration of alcohol product 5 was confirmed after methylation by comparison of the HPLC of reduction product 6, the configuration of which is known in the literature (Figure 9).
We also completed the ATH of a range of ortho-hydroxyphenyl acetophenone derivatives using four catalysts and found that most of them can provide products in good yield and high ee (Figure 10). The electron-rich ortho-hydroxyphenyl group can generate an electrostatic interaction with an η6-arene ring in the complex, whereas the hindered opposing aromatic ring can be in a position that is far from the η6-arene ring (Figure 11). Therefore, the combination of the ortho-OH directing group and steric effect provide products with high ees. The application could also be extended to a series of amide-containing benzophenones (Figure 12).
In addition to ketones, imines containing ortho-OH groups were also studied. However, the hydrolysis of imines is more likely to occur when using FA: TEA (5:2) as the hydrogen source. Thus, the unique condition of ATH of imines with catalyst (R,R)-2 is using ammonium formate in DCM at 70 °C in sealed tubes under a nitrogen atmosphere and with only 0.5 mol% catalyst applied [19]. Following the earlier precedents (Figure 13), ATH of imines also delivered products of good ees (Figure 14).
The reductions have several potential applications. The ortho-hydroxy directing effect can be applied to synthesize highly enantioselective compounds, which cannot be made in high ee by direct ATH. In addition, there is also potential to synthesize pharmaceutically valuable targets such as a sphingosine 1-phosphate receptor inhibitor precursor with high enantioselectivity by using a Suzuki coupling reaction (Figure 15).
ATH of aryl heteroaryl ketones using Noyori–Ikariya catalysts has also been studied (Figure 16) [20]. Four catalysts have been tested for reducing most of the substrates.
Ketones where Ar = Ph, o-(MeO)C6H4 (oOMe), o-(Me)C6H4 (oMe), o-(Br)C6H4 (oBr), o-(Br)C6H4 (oCl) and α-naphthyl (Np) versus Het = 2-furyl (Fu), 2-thienyl (Thio), 2-N-methylimidazole (Im) and 2-N-methylpyrrole (PyMe) were studied. The results indicated that the electron-rich heterocyclic rings are more competitive and adjacent to the η6-arene ring in transition state (Figure 17).
For the N-methylimidazole-containing ketones, the pattern becomes a little bit complex (Figure 18). The X-ray crystallographic structure of 7 showed it is in R configuration after ATH with catalyst (R,R)-2 and the naphthyl ring is out of plane. However, The X-ray crystallographic structure of 8 illustrated the product is in S configuration, which is also confirmed by methylation and comparison with the HPLC of alcohol 9. Therefore, we proposed transition states for these two substrates (Figure 18). The N-methyl imidazole is likely to be protonated under the mildly acidic reaction conditions, so the ortho-methoxyphenyl group could be adjacent to the η6-arene ring as it is more electron-rich. However, the bulky naphthyl ring has more steric effect and favours positioning distal to η6-arene ring. In addition to compounds 7 and 8, we also studied other substrates with N-methylimidazole group and some of them can provide reasonable results although some were resistant to ATH (Figure 19).
In conclusion,
  • (R,R)-3C-tethered catalyst 2 was found to be the most active catalyst for ATH of a series of ortho-hydroxy benzophenone and aromatic/heterocyclic ketones.
  • The enantioselectivity can be influenced by a combination of steric and electronic factors.
  • The directing effect of the o-OH group in hindered ketones and imines can provide products with high enantioselectivity.
  • The reduction enantioselectivity of a range of ketones flanked by a combination of an aromatic and a heterocyclic ring (furan, thiophene, N-methylimidazole) was high (up to 99% ee) in cases where the aromatic ring contained an ortho-substituent.

Author Contributions

Conceptualization, Y.Z., J.A.M.-A., L.C.A.B. and M.W.; investigation, Y.Z., J.A.M.-A., M.K., G.J.C.; data curation, Y.Z., J.A.M.-A., M.W. and G.J.C.; writing—original draft preparation, review and editing, Y.Z., L.C.A.B. and M.W.; supervision, L.C.A.B. and M.W.; funding acquisition, L.C.A.B. and M.W. All authors have read and agreed to the published version of the manuscript.

Funding

This research received no external funding.

Institutional Review Board Statement

Not applicable.

Informed Consent Statement

Not applicable.

Conflicts of Interest

The authors declare no conflict of interest.

References

  1. Hashiguchi, S.; Fujii, A.; Takehara, J.; Ikariya, T.; Noyori, R.J. Asymmetric transfer hydrogenation of aromatic ketones catalyzed by chiral ruthenium (II) complexes. Am. Chem. Soc. 1995, 117, 7562–7563. [Google Scholar] [CrossRef]
  2. Fujii, A.; Hashiguchi, S.; Uematsu, N.; Ikariya, T.; Noroyi, R. Ruthenium (II)-catalyzed asymmetric transfer hydrogenation of ketones using a formic acid–triethylamine mixture. J. Am. Chem. Soc. 1996, 118, 2521–2522. [Google Scholar] [CrossRef]
  3. Dub, P.A.; Ikariya, T.J. Quantum chemical calculations with the inclusion of nonspecific and specific solvation: Asymmetric transfer hydrogenation with bifunctional ruthenium catalysts. Am. Chem. Soc. 2013, 135, 2604–2619. [Google Scholar] [CrossRef] [PubMed]
  4. Dub, P.A.; Gordon, J.C. The mechanism of enantioselective ketone reduction with Noyori and Noyori–Ikariya bifunctional catalysts. Dalton Trans. 2016, 45, 6756–6781. [Google Scholar] [CrossRef] [PubMed]
  5. Nedden, H.G.; Zanotti-Gerosa, A.; Wills, M. The Development of Phosphine-Free “Tethered” Ruthenium (II) Catalysts for the Asymmetric Reduction of Ketones and Imines. Chem. Rec. 2016, 16, 2619–2639. [Google Scholar] [CrossRef] [PubMed]
  6. Alonoso, D.A.; Brandt, P.; Nordin, S.J.M.; Andersson, P.G.J. Ru (arene)(amino alcohol)-catalyzed transfer hydrogenation of ketones: Mechanism and origin of enantioselectivity. Am. Chem. Soc. 1999, 121, 9580–9588. [Google Scholar] [CrossRef]
  7. Yamakawa, M.; Noyori, R. CH/π Attraction: The Origin of Enantioselectivity in Transfer Hydrogenation of Aromatic Carbonyl Compounds Catalyzed by Chiral η6-Arene-Ruthenium (ii) Complexes. Angew. Chem Int. Ed. 2001, 40, 2818–2821. [Google Scholar] [CrossRef]
  8. Dub, P.A.; Henson, N.J.; Martin, R.L.; Gordon, J.C. Unravelling the Mechanism of the Asymmetric Hydrogenation of Acetophenone by [RuX2 (diphosphine)(1,2-diamine)] Catalysts. J. Am. Chem. Soc. 2014, 136, 3505–3521. [Google Scholar] [CrossRef] [PubMed]
  9. Hashiguchi, S.; Noyori, R. Asymmetric Transfer Hydrogenation Catalyzed by Chiral Ruthenium Complexes. Acc. Chem. Res. 1997, 30, 97–102. [Google Scholar]
  10. Soni, R.; Jolley, K.E.; Clarkson, G.J.; Wills, M. Direct formation of tethered Ru (II) catalysts using arene exchange. Org. Lett. 2013, 15, 5110–5113. [Google Scholar] [CrossRef] [PubMed]
  11. Soni, R.; Jolley, K.E.; Gosiewska, S.; Clarkson, G.J.; Fang, Z.; Hall, T.H.; Treloar, B.N.; Knighton, R.C.; Wills, M. Synthesis of enantiomerically pure and racemic benzyl-tethered Ru (II)/TsDPEN complexes by direct arene substitution: Further complexes and applications. Organometallics 2018, 37, 48–64. [Google Scholar] [CrossRef]
  12. Touge, T.; Hakamata, T.; Nara, H.; Kobayashi, T.; Sayo, N.; Saito, T.; Kayaki, Y.; Ikariya, T.J. Oxo-tethered ruthenium (II) complex as a bifunctional catalyst for asymmetric transfer hydrogenation and H2 hydrogenation. Am. Chem. Soc. 2011, 133, 14960–14963. [Google Scholar] [CrossRef] [PubMed]
  13. Touge, T.; Nara, H.; Fujiwhara, M.; Kayaki, Y.; Ikariya, T. Efficient Access to Chiral Benzhydrols via Asymmetric Transfer Hydrogenation of Unsymmetrical Benzophenones with Bifunctional Oxo-Tethered Ruthenium Catalysts. J. Am. Chem. Soc. 2016, 138, 10084–10087. [Google Scholar] [CrossRef] [PubMed]
  14. Vyas, V.K.; Knighton, R.C.; Bhanage, B.M.; Wills, M. Combining Electronic and Steric Effects To Generate Hindered Propargylic Alcohols in High Enantiomeric Excess. Org. Lett. 2018, 20, 975–978. [Google Scholar] [CrossRef] [PubMed]
  15. Wang, B.; Zhou, H.; Lu, G.; Liu, Q.; Jiang, X. Bifunctional oxo-tethered ruthenium complex catalyzed asymmetric transfer hydrogenation of aryl N-heteroaryl ketones. Org. Lett. 2017, 19, 2094–2097. [Google Scholar] [CrossRef] [PubMed]
  16. Liu, Q.; Wang, C.; Zhou, H.; Wang, B.; Lv, J.; Cao, L.; Fu, Y. Iridium-catalyzed highly enantioselective transfer hydrogenation of aryl N-heteroaryl ketones with N-oxide as a removable ortho-substituent. Org. Lett. 2018, 20, 971–974. [Google Scholar] [CrossRef] [PubMed]
  17. Gonzalez-Bobes, G.; Hanson, R.; Strotman, N.; Guo, Z.; Goswami, A. Enantioselective Synthesis of a Positive Allosteric Modulator of the Metabotropic Glutamate Receptor 5 (mGluR5) Receptor via Dynamic Kinetic Resolution of α-Amino Ketones. Adv. Synth. Catal. 2016, 358, 2077–2082. [Google Scholar] [CrossRef]
  18. Zheng, Y.; Clarkson, G.J.; Wills, M. Asymmetric transfer hydrogenation of o-hydroxyphenyl ketones: Utilizing directing effects that optimize the asymmetric synthesis of challenging alcohols. Org. Lett. 2020, 22, 3717–3721. [Google Scholar] [CrossRef] [PubMed]
  19. Mangion, I.K.; Chen, C.Y.; Li, H.; Maligres, P.; Chen, Y.; Christensen, M.; Cohen, R.; Jeon, I.; Klapars, A.; Krska, S.; et al. Enantioselective synthesis of an HCV NS5a antagonist. Org. Lett. 2014, 16, 2310–2313. [Google Scholar] [CrossRef] [PubMed]
  20. Zheng, Y.; Martinez-Acosta, J.A.; Khimji, M.; Barbosa, L.C.A.; Clarkson, G.J.; Wills, M. Asymmetric Transfer Hydrogenation of Aryl Heteroaryl Ketones using Noyori-Ikariya Catalysts. ChemCatChem 2021, 13, 4384–4391. [Google Scholar] [CrossRef]
Figure 1. Asymmetric Transfer Hydrogenation (ATH) with Noyori–Ikariya catalysts.
Figure 1. Asymmetric Transfer Hydrogenation (ATH) with Noyori–Ikariya catalysts.
Chemproc 08 00035 g001
Figure 2. Mechanism of hydrogen transfer with Noyori–Ikariya catalysts.
Figure 2. Mechanism of hydrogen transfer with Noyori–Ikariya catalysts.
Chemproc 08 00035 g002
Figure 3. Interaction of substrate with η6-arene ring.
Figure 3. Interaction of substrate with η6-arene ring.
Chemproc 08 00035 g003
Figure 4. Summary of stereocontrol features in ATH using Noyori–Ikariya catalysts.
Figure 4. Summary of stereocontrol features in ATH using Noyori–Ikariya catalysts.
Chemproc 08 00035 g004
Figure 5. Variation of the η6-arene ring in Noyori–Ikariya catalysts.
Figure 5. Variation of the η6-arene ring in Noyori–Ikariya catalysts.
Chemproc 08 00035 g005
Figure 6. Tethered catalysts introduced by Wills et al.
Figure 6. Tethered catalysts introduced by Wills et al.
Chemproc 08 00035 g006
Figure 7. Examples of ATH of benzophenone derivatives and heterocyclic ketones using Noyori–Ikariya catalysts (The red part favours positioning adjacent to η6-arene of catalyst, while the blue part favours positioning distal to η6-arene of catalyst).
Figure 7. Examples of ATH of benzophenone derivatives and heterocyclic ketones using Noyori–Ikariya catalysts (The red part favours positioning adjacent to η6-arene of catalyst, while the blue part favours positioning distal to η6-arene of catalyst).
Chemproc 08 00035 g007
Figure 8. ATH of ortho-hydroxy benzophenones using tethered ATH complexes.
Figure 8. ATH of ortho-hydroxy benzophenones using tethered ATH complexes.
Chemproc 08 00035 g008
Figure 9. Determination of product configuration in ATH of ortho-hydroxy benzophenones.
Figure 9. Determination of product configuration in ATH of ortho-hydroxy benzophenones.
Chemproc 08 00035 g009
Figure 10. Further examples of ATH of ortho-hydroxy benzophenones.
Figure 10. Further examples of ATH of ortho-hydroxy benzophenones.
Chemproc 08 00035 g010
Figure 11. Involvement of H-bond in reduction mechanism.
Figure 11. Involvement of H-bond in reduction mechanism.
Chemproc 08 00035 g011
Figure 12. ATH of benzophenones containing amides.
Figure 12. ATH of benzophenones containing amides.
Chemproc 08 00035 g012
Figure 13. A reported imine ATH using a tethered catalyst.
Figure 13. A reported imine ATH using a tethered catalyst.
Chemproc 08 00035 g013
Figure 14. ATH of imines using a tethered catalyst.
Figure 14. ATH of imines using a tethered catalyst.
Chemproc 08 00035 g014
Figure 15. Functionalizations of the ATH products.
Figure 15. Functionalizations of the ATH products.
Chemproc 08 00035 g015
Figure 16. ATH of hetereocyclic/aromatic ketones—reported examples.
Figure 16. ATH of hetereocyclic/aromatic ketones—reported examples.
Chemproc 08 00035 g016
Figure 17. ATH of aromatic/heterocyclic ketones in this product.
Figure 17. ATH of aromatic/heterocyclic ketones in this product.
Chemproc 08 00035 g017
Figure 18. Determination of configuration of ATH products containing imidazole groups.
Figure 18. Determination of configuration of ATH products containing imidazole groups.
Chemproc 08 00035 g018
Figure 19. Products of ATH of an extended range of aromatic/heterocyclic ketones, and proposed modes of hydrogen transfer to substrates.
Figure 19. Products of ATH of an extended range of aromatic/heterocyclic ketones, and proposed modes of hydrogen transfer to substrates.
Chemproc 08 00035 g019
Publisher’s Note: MDPI stays neutral with regard to jurisdictional claims in published maps and institutional affiliations.

Share and Cite

MDPI and ACS Style

Zheng, Y.; Martinez-Acosta, J.A.; Khimji, M.; Barbosa, L.C.A.; Clarkson, G.J.; Wills, M. Asymmetric Transfer Hydrogenation of Aryl Heteroaryl Ketones and o-Hydroxyphenyl Ketones Using Noyori-Ikariya Catalysts. Chem. Proc. 2022, 8, 35. https://doi.org/10.3390/ecsoc-25-11774

AMA Style

Zheng Y, Martinez-Acosta JA, Khimji M, Barbosa LCA, Clarkson GJ, Wills M. Asymmetric Transfer Hydrogenation of Aryl Heteroaryl Ketones and o-Hydroxyphenyl Ketones Using Noyori-Ikariya Catalysts. Chemistry Proceedings. 2022; 8(1):35. https://doi.org/10.3390/ecsoc-25-11774

Chicago/Turabian Style

Zheng, Ye, Jaime A. Martinez-Acosta, Mohammed Khimji, Luiz C. A. Barbosa, Guy J. Clarkson, and Martin Wills. 2022. "Asymmetric Transfer Hydrogenation of Aryl Heteroaryl Ketones and o-Hydroxyphenyl Ketones Using Noyori-Ikariya Catalysts" Chemistry Proceedings 8, no. 1: 35. https://doi.org/10.3390/ecsoc-25-11774

APA Style

Zheng, Y., Martinez-Acosta, J. A., Khimji, M., Barbosa, L. C. A., Clarkson, G. J., & Wills, M. (2022). Asymmetric Transfer Hydrogenation of Aryl Heteroaryl Ketones and o-Hydroxyphenyl Ketones Using Noyori-Ikariya Catalysts. Chemistry Proceedings, 8(1), 35. https://doi.org/10.3390/ecsoc-25-11774

Article Metrics

Back to TopTop