New Half Metal Perovskite NbScO3 for Spintronic Sensing Applications †
Abstract
:1. Introduction
2. Method and Materials
3. Results and Discussion
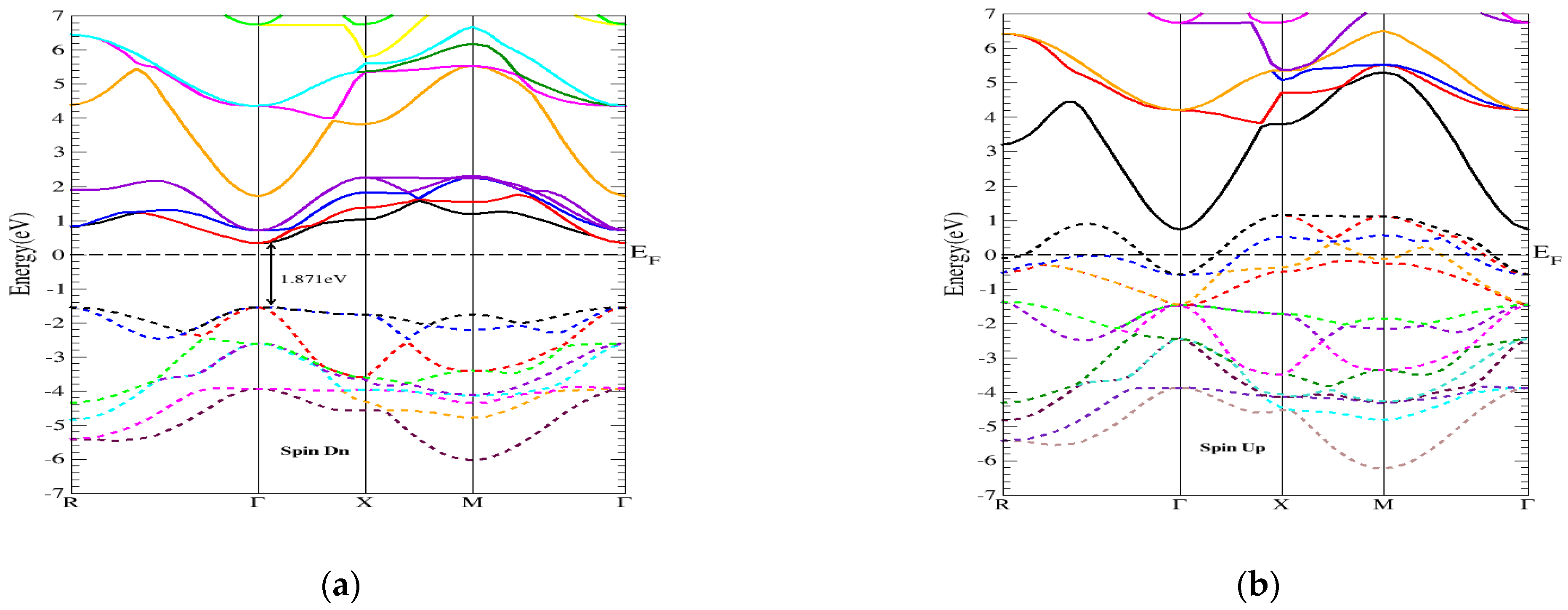
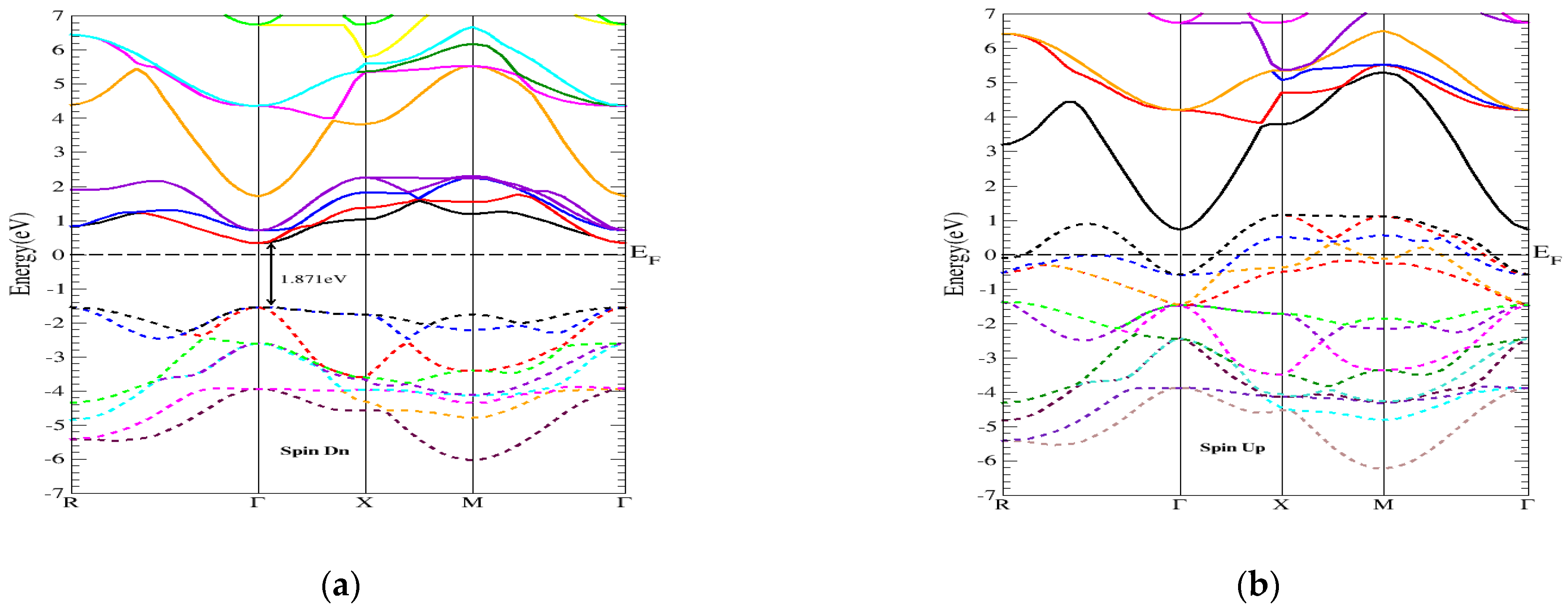
3.1. Structural and Electronic
3.2. Magnetic
4. Conclusions
Funding
Institutional Review Board Statement
Informed Consent Statement
Data Availability Statement
Conflicts of Interest
References
- Tricoli, A.; Nasiri, N.; De, S. Wearable and miniaturized sensor technologies for personalized and preventive medicine. Adv. Funct. Mater. 2017, 27, 1605271. [Google Scholar] [CrossRef]
- Aqra, M.W.; Ramanathan, A.A. Review of the Recent Advances in Nano-Biosensors and Technologies for Healthcare Applications. Chem. Proc. 2021, 5, 76. [Google Scholar] [CrossRef]
- Behera, B.; Joshi, R.; Vishnu, G.K.A.; Bhalerao, S.; Pandya, H.J. Electronic nose: A non-invasive technology for breath analysis of diabetes and lung cancer patients. J. Breath Res. 2019, 13, 024001. [Google Scholar] [CrossRef] [PubMed]
- Ramanathan, A.A. Defect Functionalization of MoS2 nanostructures as toxic gas sensors: A review. IOP Conf. Ser. Mater. Sci. Eng. 2018, 305, 012001. [Google Scholar] [CrossRef] [Green Version]
- Ramanathan, A.A. First Principles Investigation of the Optoelectronic Properties of Molybdenum Dinitride for Optical Sensing Applications. Chem. Proc. 2021, 5, 27. [Google Scholar] [CrossRef]
- Wolf, S.A.; Awschalom, D.D.; Buhrman, R.A.; Daughton, J.M.; von Molnár, V.S.; Roukes, M.L.; Chtchelkanova, A.Y.; Treger, D.M. Spintronics: A spin-based electronics vision for the future. Science 2001, 294, 1488–1495. [Google Scholar] [CrossRef] [Green Version]
- Li, X.; Yang, J. First-principles design of spintronics materials. Natl. Sci. Rev. 2016, 3, 365–381. [Google Scholar] [CrossRef]
- Khandy, S.A.; Gupta, D.C. Structural, elastic and magneto-electronic properties of half-metallic BaNpO3 perovskite. Mater. Chem. Phys. 2017, 198, 380–385. [Google Scholar] [CrossRef]
- He, M.S. Half-metallic double perovskites Sr2CrWO6 and Sr2FeReO6 materials for spintronics applications. Adv. Tissue Eng. Regen. Med. Open Access 2018, 4, 1–6. [Google Scholar] [CrossRef] [Green Version]
- Ramanathan, A.A.; Khalifeh, J.M. Electronic, magnetic and optical properties of XScO3 (X = Mo, W) perovskites. PeerJ Mater. Sci. 2021, 3, e15. [Google Scholar] [CrossRef]
- Babar, Z.U.D.; Fatheema, J.; Arif, N.; Anwar, M.S.; Gul, S.; Iqbal, M.; Rizwan, S. Magnetic phase transition from paramagnetic in Nb2AlC-MAX to superconductivity-like dia-magnetic in Nb2C-MXene: An experimental and computational analysis. RSC Adv. 2020, 10, 25669–25678. [Google Scholar] [CrossRef]
- Ramanathan, A.A.; Khalifeh, J.M.; Hamad, B.A. Evidence of surface magnetism in the V/Nb(0 0 1) system: A total energy pseudopotential calculation. Surf. Sci. 2008, 602, 607. [Google Scholar] [CrossRef]
- Ramanathan, A.; Khalifeh, J.; Hamad, B. Structure and magnetism of the V/Ta(001) surface: A DFT calculation. J. Magn. Magn. Mater. 2009, 321, 3804–3807. [Google Scholar] [CrossRef]
- Tomiyasu, K.; Okamoto, J.; Huang, H.Y.; Chen, Z.Y.; Sinaga, E.P.; Wu, W.B.; Chu, Y.Y.; Singh, A.; Wang, R.-P.; de Groot, F.M.F.; et al. Coulomb Correlations Intertwined with Spin and Orbital Excitations in LaCoO3. Phys. Rev. Lett. 2017, 119, 196402. [Google Scholar] [CrossRef] [PubMed] [Green Version]
- Julian Gebhardt, J.; Rappe, A.M. Transition metal inverse-hybrid perovskites. Mater. Chem. A 2018, 6, 14560–14565. [Google Scholar] [CrossRef]
- Blaha, P.; Schwarz, K.; Tran, F.; Laskowski, R.; Madsen, G.K.; Marks, L.D. WIEN2k: An APW+ lo program for calculating the properties of solids. J. Chem. Phys. 2020, 152, 074101. [Google Scholar] [CrossRef]
- Ramanathan, A.A. A DFT calculation of Nb and Ta (001) Surface Properties. JMP 2013, 4, 432–437. [Google Scholar] [CrossRef] [Green Version]
- Ramanathan, A.A. The Magnetism of a Ni Monolayer on Vanadium: Structure and Exchange Correlation Effects. IEEE Trans. Nanotechnol. 2020, 19, 11–16. [Google Scholar] [CrossRef]
- Perdew, J.P.; Burke, K.; Ernzerhof, M. Generalized gradient approximation made simple. Phys. Rev. Lett. 1996, 77, 3865–3868. [Google Scholar] [CrossRef] [Green Version]
- Tran, F.; Blaha, P. Accurate Band Gaps of Semiconductors and Insulators with a Semilocal Exchange-Correlation Potential. Phys. Rev. Lett. 2009, 102, 226401. [Google Scholar] [CrossRef] [Green Version]
- Blöchl, P.E.; Jepsen, O.; Andersen, O.K. Improved tetrahedron method for Brillouin-zone integrations. Phys. Rev. B 1994, 49, 16223. [Google Scholar] [CrossRef] [PubMed]
- Murnaghan, F.D. The Compressibility of Media under Extreme Pressures. Proc. Natl. Acad. Sci. USA 1944, 30, 244–247. [Google Scholar] [CrossRef] [PubMed] [Green Version]




| NbScO3 Perovskite | Band Gap (eV) | EHM (eV) | |||
|---|---|---|---|---|---|
| Minority (Spin Dn) | Majority (Spin Up) | ||||
| GGA-PBE | Γ−Γ | 1.871 | metallic | No gap | 1.547 |
| mBJ | R−Γ | 2.023 | X−Γ | 0.780 | 0.979 |
| Exchange | Nb | Sc | O | Intertitial | Total Moment |
|---|---|---|---|---|---|
| GGA_PBE | 1.8484 | 0.0126 | −0.0761 | 0.3673 | 2.0000 |
| mBJ | 1.7095 | −0.0007 | 0.0460 | 0.1533 | 2.0000 |
Publisher’s Note: MDPI stays neutral with regard to jurisdictional claims in published maps and institutional affiliations. |
© 2021 by the author. Licensee MDPI, Basel, Switzerland. This article is an open access article distributed under the terms and conditions of the Creative Commons Attribution (CC BY) license (https://creativecommons.org/licenses/by/4.0/).
Share and Cite
Ramanathan, A.A. New Half Metal Perovskite NbScO3 for Spintronic Sensing Applications. Chem. Proc. 2021, 5, 82. https://doi.org/10.3390/CSAC2021-10628
Ramanathan AA. New Half Metal Perovskite NbScO3 for Spintronic Sensing Applications. Chemistry Proceedings. 2021; 5(1):82. https://doi.org/10.3390/CSAC2021-10628
Chicago/Turabian StyleRamanathan, Amall Ahmed. 2021. "New Half Metal Perovskite NbScO3 for Spintronic Sensing Applications" Chemistry Proceedings 5, no. 1: 82. https://doi.org/10.3390/CSAC2021-10628
APA StyleRamanathan, A. A. (2021). New Half Metal Perovskite NbScO3 for Spintronic Sensing Applications. Chemistry Proceedings, 5(1), 82. https://doi.org/10.3390/CSAC2021-10628

