Fluorescent Calix[4]arene-Oxacyclophane Sensor for Transition Metal Cations †
Abstract
1. Introduction
2. Materials and Methods
2.1. Instruments and Methods
2.2. Materials
3. Results and Discussion
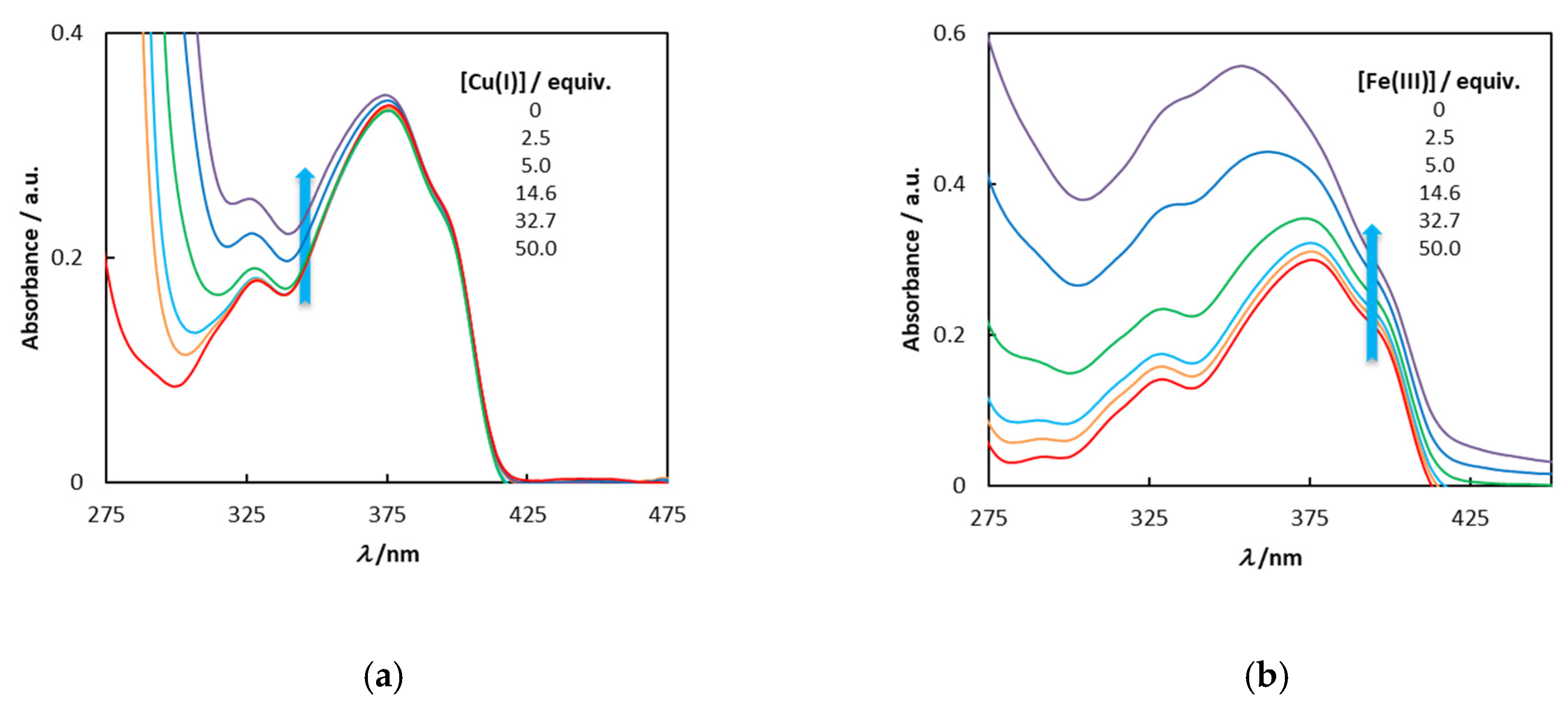
Sensing of Metal Cations
4. Conclusions
Author Contributions
Funding
Institutional Review Board Statement
Informed Consent Statement
Conflicts of Interest
References
- Malmström, B.G.; Leckner, J. The chemical biology of copper. J. Curr. Opin. Chem. Biol. 1998, 2, 286–292. [Google Scholar] [CrossRef]
- Uriu-Adams, J.Y.; Keen, C.L. Copper, oxidative stress, and human health. Mol. Asp. Med. 2005, 26, 268–298. [Google Scholar] [CrossRef] [PubMed]
- Liu, S.; Wang, Y.-M.; Hang, J. Fluorescent chemosensors for copper(II) ion: Structure, mechanism and application. J. Photochem. Photobiol. C: Photochem. Rev. 2017, 32, 78–103. [Google Scholar] [CrossRef]
- Festa, R.A.; Thiele, D.J. Copper: An Essential Metal in Biology. Curr. Biol. 2011, 21, R877–R883. [Google Scholar] [CrossRef] [PubMed]
- Abbaspour, N.; Hurrell, R.; Kelishadi, R. Review on iron and its importance for human health. J. Res. Med. Sci. 2014, 19, 164–174. [Google Scholar] [PubMed]
- Gutsche, C.D. Calixarenes-An Introduction. In Monographs in Supramolecular Chemistry; Stoddart, J.F., Ed.; The Royal Society of Chemistry: Cambridge, UK, 2008. [Google Scholar]
- Kumar, R.; Sharma, A.; Singh, H.; Suating, P.; Kim, H.S.; Sunwoo, K.; Shim, I.; Gibb, B.C.; Kim, J.S. Revisiting Fluorescent Calixarenes: From Molecular Sensors to Smart Materials. Chem. Rev. 2019, 119, 9657–9721. [Google Scholar] [CrossRef] [PubMed]
- Costa, A.I.; Barata, P.B.; Fialho, C.F.; Prata, J.V. Highly Sensitive and Selective Fluorescent Probes for Cu(II) Detection Based on Calix[4]arene-Oxacyclophane Architectures. Molecules 2020, 25, 2456. [Google Scholar] [CrossRef] [PubMed]
- Prata, J.V.; Barata, P.D.; Pescitelli, G. Inherently chiral calix[4]arenes with planar chirality: Two new entries to the family. Pure Appl. Chem. 2014, 86, 1819–1828. [Google Scholar] [CrossRef][Green Version]
- Shannon, R.D. Revised effective ionic radii and systematic studies of interatomic distances in halides and chalcogenides. Acta Cryst. A 1976, 32, 751–767. [Google Scholar] [CrossRef]



Publisher’s Note: MDPI stays neutral with regard to jurisdictional claims in published maps and institutional affiliations. |
© 2020 by the authors. Licensee MDPI, Basel, Switzerland. This article is an open access article distributed under the terms and conditions of the Creative Commons Attribution (CC BY) license (https://creativecommons.org/licenses/by/4.0/).
Share and Cite
Costa, A.I.; Barata, P.D.; Prata, J.V. Fluorescent Calix[4]arene-Oxacyclophane Sensor for Transition Metal Cations. Chem. Proc. 2021, 3, 40. https://doi.org/10.3390/ecsoc-24-08453
Costa AI, Barata PD, Prata JV. Fluorescent Calix[4]arene-Oxacyclophane Sensor for Transition Metal Cations. Chemistry Proceedings. 2021; 3(1):40. https://doi.org/10.3390/ecsoc-24-08453
Chicago/Turabian StyleCosta, Alexandra I., Patrícia D. Barata, and José V. Prata. 2021. "Fluorescent Calix[4]arene-Oxacyclophane Sensor for Transition Metal Cations" Chemistry Proceedings 3, no. 1: 40. https://doi.org/10.3390/ecsoc-24-08453
APA StyleCosta, A. I., Barata, P. D., & Prata, J. V. (2021). Fluorescent Calix[4]arene-Oxacyclophane Sensor for Transition Metal Cations. Chemistry Proceedings, 3(1), 40. https://doi.org/10.3390/ecsoc-24-08453
