A Simple and Sustainable Synthetic Lab-Protocol for Obtaining Racemic Dominicalure-Aggregation Pheromone of the Grain Beetle Rhyzopertha dominica F. (Coleoptera, Bostrichidae) †
Abstract
:1. Introduction
2. Materials and Methods
2.1. IR Spectroscopy
2.2. NMR Spectroscopy
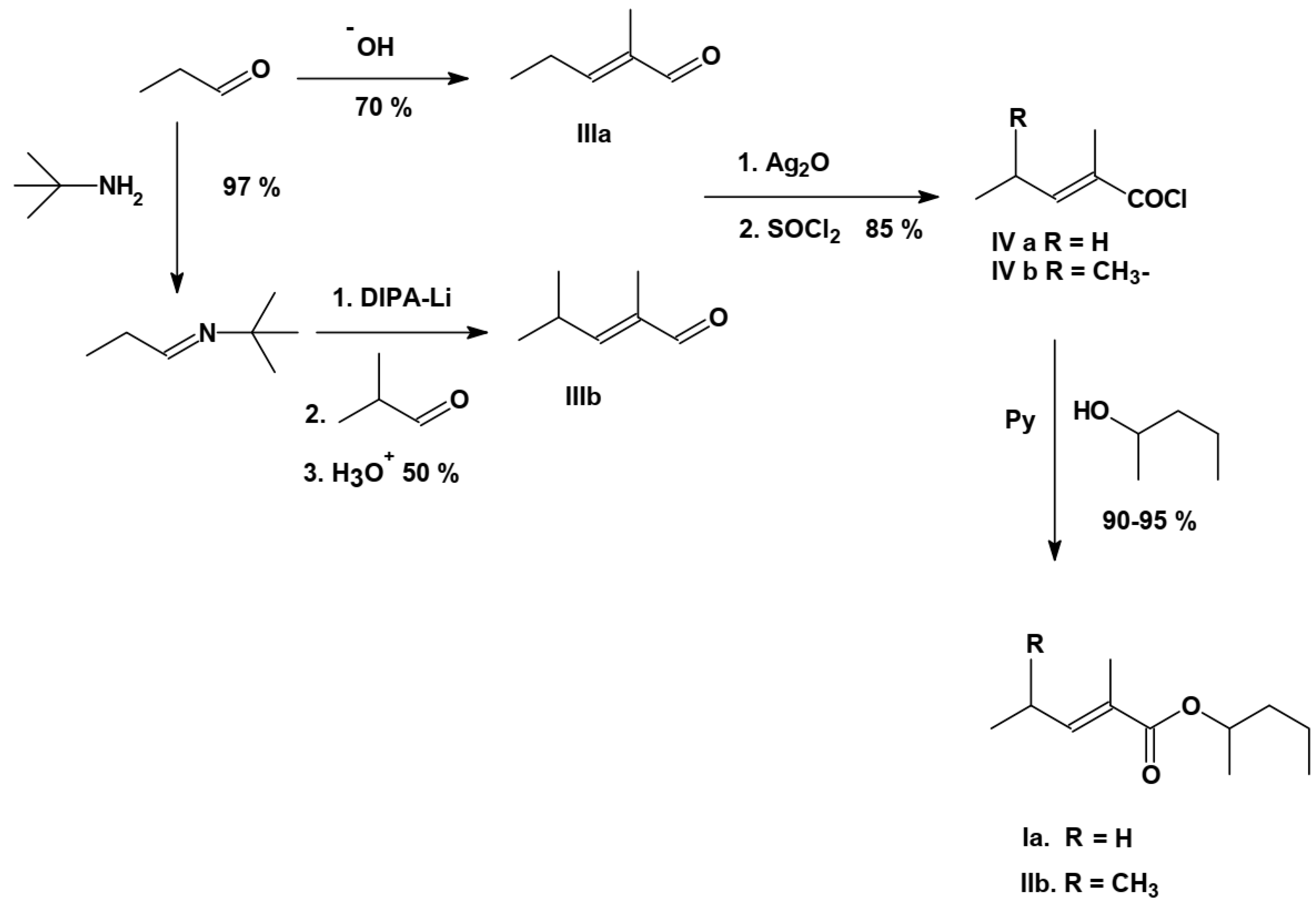
2.3. Experimental Protocols
3. Results and General Discussion
4. Conclusions
Author Contributions
Funding
Institutional Review Board Statement
Informed Consent Statement
Data Availability Statement
Acknowledgments
Conflicts of Interest
References
- Guedes, R.N.C.; Kambhampati, S.; Dover, B.A. Allozyme variation between Brazilian and US populations of Rhyzopertha dominica resistant to insecticides. Entomol. Exp. Appl. 1997, 84, 49–57. [Google Scholar] [CrossRef]
- Pires, M.; Nogueira, R. Damage caused by Rhyzopertha dominica (Fabricius, 1792) (Coleoptera: Bostrichidae) in stored Brazil nuts. Sci. Electron. Arch. 2018, 11, 57–61. [Google Scholar]
- Arthur, F.H. Differential effectiveness of deltamethrin dust against stored-product beetles. J. Stored Prod. Res. 1997, 33, 167–173. [Google Scholar] [CrossRef]
- Bekele, A.J.; Obengofori, D.; Hassanali, A. Evaluation of Ocimum suave Willd as a source of repellents, toxicants and protectants in storage against 3 stored-products insect pests. Int. J. Pest Manag. 1996, 42, 139–142. [Google Scholar] [CrossRef]
- Beegle, C.C. Efficacy of Bacillus thurigiensis against lesser grain borer, Rhyzopertha dominica (Coleoptera. Bostrichidae). Biocontrol. Sci. Technol. 1996, 6, 15–22. [Google Scholar] [CrossRef]
- Flinn, P.W.; Hagstrum, D.W.; McGaughey, W.H. Suppression of beetles in stored wheat by augmentative releases of parasitic wasps. Environ. Entomol. 1996, 25, 505–511. [Google Scholar] [CrossRef]
- Silverstein, W.H.J.; Burkholder, R.M.; Khorramshai, W.E. Components of Aggregation Pheromone from Male Lesser Grain Borer Rhyzopertha dominica F. Coleoptera: Bostrichidae. J. Chem. Ecol. 1981, 7, 759–780. [Google Scholar]
- Lin-Yu, L.; Guo-Qiang, L. Enantiomeric synthesis of dominicalure aggregation pheromone of lesser grain borer. J. Chem. Ecol. 1990, 16, 1921–1925. [Google Scholar] [CrossRef] [PubMed]
- Cheskis, B.A.; Schpiro, H.A.; y Moiseenkov, A.M. Síntesis efectiva de 2-pentanoles enantioméricos y dominicalures quirales. Zh. Organisch. Khim. 1990, 26, 1864–1869. [Google Scholar]
- Razkin, J.; Gil, P.; Gonzalez, A. Stereoselective synthesis of dominicalure-1 and dominicalure-2, components of aggregation pheromone from male lesser Grain Borer Rhyzopertha dominica (F). J. Chem. Ecol. 1996, 22, 673–680. [Google Scholar] [CrossRef] [PubMed]
- Rossi, R.; Carpita, A.; Cossi, P. Synthetic Applications of Alkyl (E)-2-tributylstannyl-2-alkenoates. Synth. Commun. 1993, 23, 143–152. [Google Scholar] [CrossRef]


Publisher’s Note: MDPI stays neutral with regard to jurisdictional claims in published maps and institutional affiliations. |
© 2022 by the authors. Licensee MDPI, Basel, Switzerland. This article is an open access article distributed under the terms and conditions of the Creative Commons Attribution (CC BY) license (https://creativecommons.org/licenses/by/4.0/).
Share and Cite
Morales, J.E.T.; Pedroso, M.T.C.; García, K.S.H.; Camacho, A.C. A Simple and Sustainable Synthetic Lab-Protocol for Obtaining Racemic Dominicalure-Aggregation Pheromone of the Grain Beetle Rhyzopertha dominica F. (Coleoptera, Bostrichidae). Chem. Proc. 2021, 3, 130. https://doi.org/10.3390/ecsoc-24-08284
Morales JET, Pedroso MTC, García KSH, Camacho AC. A Simple and Sustainable Synthetic Lab-Protocol for Obtaining Racemic Dominicalure-Aggregation Pheromone of the Grain Beetle Rhyzopertha dominica F. (Coleoptera, Bostrichidae). Chemistry Proceedings. 2021; 3(1):130. https://doi.org/10.3390/ecsoc-24-08284
Chicago/Turabian StyleMorales, Juan Enrique Tacoronte, María Teresa Cabrera Pedroso, Kenia Silvana Holguín García, and Andrea Cevallos Camacho. 2021. "A Simple and Sustainable Synthetic Lab-Protocol for Obtaining Racemic Dominicalure-Aggregation Pheromone of the Grain Beetle Rhyzopertha dominica F. (Coleoptera, Bostrichidae)" Chemistry Proceedings 3, no. 1: 130. https://doi.org/10.3390/ecsoc-24-08284
APA StyleMorales, J. E. T., Pedroso, M. T. C., García, K. S. H., & Camacho, A. C. (2021). A Simple and Sustainable Synthetic Lab-Protocol for Obtaining Racemic Dominicalure-Aggregation Pheromone of the Grain Beetle Rhyzopertha dominica F. (Coleoptera, Bostrichidae). Chemistry Proceedings, 3(1), 130. https://doi.org/10.3390/ecsoc-24-08284

