Next Article in Journal
Activated Biochar-Based Metal Catalysts for Steam Reforming of Pyrolysis Bio-Oil Model Compound
Previous Article in Journal
One-Pot Green Catalytic Preparation of 3-Aminobenzoic Acid in the Presence of Carbonaceous Bio-Based Materials in Subcritical Water
 
 
Font Type:
Arial Georgia Verdana
Font Size:
Aa Aa Aa
Line Spacing:
Column Width:
Background:
Proceeding Paper

UV Sensitivity of Free and Immobilized on Chitosan Matrix Proteases †

Department of Biophysics and Biotechnology, Voronezh State University, 394036 Voronezh Oblast, Russia
*
Author to whom correspondence should be addressed.
Presented at the 1st International Electronic Conference on Catalysis Sciences, 10–30 November 2020; Available online: https://eccs2020.sciforum.net.
Chem. Proc. 2020, 2(1), 17; https://doi.org/10.3390/ECCS2020-07610
Published: 9 November 2020
(This article belongs to the Proceedings of The 1st International Electronic Conference on Catalysis Sciences)

Abstract

:
UV irradiation is an essential factor in natural and artificial climate in modern environmental conditions, which has a constant effect on living systems. Collagenase, bromelain, ficin, papain (Sigma-Aldrich: St. Louis, MO, USA) and trypsin (MP biomedicals: Santa Ana, CA, USA) were the objects of this study. The substrate for hydrolysis was BSA (Sigma-Aldrich: St. Louis, MO, USA), the carriers for immobilization were chitosans (<100, 200 and 350 kDa) and chitosan succinate (Bioprogress: Shchyolkovo, Russia). The protease immobilization was carried out by the adsorption. The determination of the protein amount in samples and their catalytic activity was carried out by the modified Lowry method. UV irradiation of proteases was performed using doses 151–6040 J/m2. By the degree of photosensitivity, hydrolases can be arranged in the next row: collagenase → bromelain → ficin → papain → trypsin. Adsorption on a chitosan and succinate of chitosan leads to an increase in the stability to ultraviolet light of heterogeneous (immobilized) biocatalysts compared to free enzymes. Photoprotective effect of the chitosan may be due to the following reasons: enzyme interact with the chitosan to form photo resistant complexes; сhitosan screens active free-radicals, preventing the photooxidation of a certain number of amino acids, including the active centers of the studied enzymes under the influence of UV irradiation.

1. Introduction

UV radiation is a permanent factor in the external environment, absorbed in living cells mainly by proteins and nucleic acids. The main result of the impact of UV radiation on proteins is the photo denaturation of them. In some cases, the UV irradiation leads to the activation of enzyme molecules. It has been proven that the major protein chromophores are the aromatic amino acid residues, especially tryptophan and to a much lesser extent tyrosine and phenylalanine, and sulfur-containing amino acid residues. These amino acids and cystine are responsible for the functional activity of the absorption of light quanta by protein macromolecules. This is evidenced by the coincidence of the spectra of proteins action photo inactivating with their absorption spectra [1,2,3,4].
Despite wide photochemical and photobiological works, many questions remain outstanding of biological effect of UV radiation on living organisms, and, in particular, the specific characteristics of the different areas of action of UV radiation on plant enzymes. UV rays have a high biological activity; they are extremely diverse applications in medicine, industry, and agriculture. The connection with this work, which aimed at studying the biological effect of ultraviolet light on the study of UV-induced changes in the structural and functional characteristics of enzymes, remains relevant [1,3].
Research on the development of high stability heterogeneous preparations based on immobilized enzymes are gaining popularity and necessity. At fixation of the enzyme to insoluble carrier heterogeneous biocatalysts are obtained which have the following advantages: increases not only the stability, but also the efficiency of the medicament by controlling the reaction process. This is because the immobilized enzymes’ number of possible inactivating mechanisms (such as UV radiation and temperature) is substantially less than in the case of soluble proteins.
Proteases are widely used in the pharmacy and food industry. They amount about 60% of the global sales of enzymes. Bromelain, papain and ficin are the most studied for meat tenderization and have the GRAS status. Various proteases (including cysteine proteases and trypsin) are used in the treatment of skin lesions, because they act as antimicrobial agents.
Our aim was to study the effects of ultraviolet irradiation on photo modulation of collagenase, bromelain, ficin, papain, trypsin activity, both free and adsorbed on chitosan and succinate of chitosan.

2. Methods

Collagenase, bromelain, ficin, papain (Sigma),trypsin («MP biomedicals») were chosen as objects of study. Bovine serum albumin (BSA) was used as a substrate for hydrolysis. Chitosans (<100, 200 and 350 kDa) and chitosan succinate («Bioprogress») was used as a carrier for immobilization.
Immobilization of proteases on the chitosan matrix was carried out by the adsorption [5]. The determination of the protein amount in samples and their catalytic activity was carried out by the modified Lowry method. The enzyme quantity hydrolizing 1 μM of bovine serum albumin (BSA) per 1 min was taken as a unit of catalytic activity [6].
UV irradiation of the free and immobilized enzymes was carried out using a mercury-quartz lamp of the DRT400 type through a UVS-1 filter (transmission band of 240–390 nm) in a thermostated cell (20 ± 1 °C) by their continuous mixing with a magnetic stirrer.

3. Results and Discussion

By the degree of photosensitivity, hydrolases can be arranged in the next row: collagenase → bromelain → ficin → papain → trypsin (Figure 1, Figure 2, Figure 3, Figure 4 and Figure 5). Adsorbtion on a chitosan (<100, 200 and 350 kDa) and succinate of chitosan leads to an increase in the stability of biocatalysts to ultraviolet.

4. Conclusions

The ultraviolet exposure changes are more likely in the catalytic activity of protease in solution than adsorbed. In comparison with free enzymes, immobilization leads to an increase in the stability of biocatalysts to UV irradiation. The chitosan matrix probably plays the role of photoprotector for immobilized: collagenase, bromelain, ficin, papain and trypsin. Our data indicate photo protective effects of chitosans (<100, 200 and 350 kDa) and chitosan succinate, which may be due to the following reasons: (1) chitosan reacts with the enzyme molecule forming a more photo resistant complex than the native protein molecule; (2) chitosan probably binds and/or shields the active photo products of the free radical nature, preventing photo oxidation of a certain number of ficinamino acids under UV irradiation.

Author Contributions

Authors have equal contributions in the preparation and writing of the article. All authors have read and agreed to the published version of the manuscript.

Funding

This work was financially supported in the form of a grant from the President of the Russian Federation for state support to young Russian scientists/doctors of sciences (MD-1982.2020.4. Agreement 075-15-2020-325).

Conflicts of Interest

The authors declare no conflict of interest. The funders had no role in the design of the study; in the collection, analyses, or interpretation of data; in the writing of the manuscript, or in the decision to publish the results.

References

  1. Folgosa, F.; Camacho, I.; Penas, D.; Guilherme, M.; Fróis, J.; Ribeir, P.A.; Tavares, P.; Pereira, A.S. UV irradiation effects on a DNA repair enzyme: Conversion of a [4Fe–4S]2+ cluster into a [2Fe–2S]2+. Radiat. Environ. Biophys. 2015, 54, 111–121. [Google Scholar] [CrossRef] [PubMed]
  2. Ring, J. Atopic Dermatitis–Eczema; Springer: Cham, Switzerland, 2016. [Google Scholar]
  3. Bintsis, T.; Litopoulou-Tzanetaki, E.; Robinson, R.K. Existing and potential applications of ultraviolet light in the food industry—A critical review. J. Sci. Food Agric. 2000, 80, 637–645. [Google Scholar] [CrossRef]
  4. Mohr, H.; Gravemann, U.; Bayer, A.; Müller, T.H. Sterilization of platelet concentrates at production scale by irradiation with short-wave ultraviolet light. Transfusion 2009, 49, 956–1963. [Google Scholar] [CrossRef] [PubMed]
  5. Trizna, E.; Diana, B.; Kholyavka, M.; Sharafutdinov, I.; Hairutdinova, A.; Khafizova, F. Soluble and immobilized papain and trypsin as destroyers of bacterial biofilms. Genes Cells 2016, 10, 106–112. [Google Scholar]
  6. Holyavka, M.; Pankova, S.; Koroleva, V.; Vyshkvorkina Yu Lukin, A.; Kondratyev, M.; Artyukhov, V. Influence of UV radiation on molecular structure and catalytic activity of free and immobilized bromelain, ficin and papain. J. Photochem. Photobiol. B Biol. 2019, 201, 111681. [Google Scholar] [CrossRef] [PubMed]
Figure 1. Effect of ultraviolet irradiation on the catalytic activity of collagenase. In the graph, blue is used for the collagenase in solution, violet for the collagenase adsorbed on low molecular weight chitosan (<100 kDa), white for that adsorbed on succinate of chitosan, green for the collagenase adsorbed on medium molecular weight chitosan (200 kDa), and orange or the collagenase adsorbed on high molecular weight chitosan (350 kDa).
Figure 1. Effect of ultraviolet irradiation on the catalytic activity of collagenase. In the graph, blue is used for the collagenase in solution, violet for the collagenase adsorbed on low molecular weight chitosan (<100 kDa), white for that adsorbed on succinate of chitosan, green for the collagenase adsorbed on medium molecular weight chitosan (200 kDa), and orange or the collagenase adsorbed on high molecular weight chitosan (350 kDa).
Chemproc 02 00017 g001
Figure 2. Effect of ultraviolet irradiation on the catalytic activity of bromelain. In the graph, blue is used for the bromelain in solution, violet for the bromelain adsorbed on low molecular weight chitosan (<100 kDa), white for that adsorbed on succinate of chitosan, green for the bromelain adsorbed on medium molecular weight chitosan (200 kDa), and orange or the bromelain adsorbed on high molecular weight chitosan (350 kDa).
Figure 2. Effect of ultraviolet irradiation on the catalytic activity of bromelain. In the graph, blue is used for the bromelain in solution, violet for the bromelain adsorbed on low molecular weight chitosan (<100 kDa), white for that adsorbed on succinate of chitosan, green for the bromelain adsorbed on medium molecular weight chitosan (200 kDa), and orange or the bromelain adsorbed on high molecular weight chitosan (350 kDa).
Chemproc 02 00017 g002
Figure 3. Effect of ultraviolet irradiation on the catalytic activity of ficin. In the graph, blue is used for the ficin in solution, violet for the ficin adsorbed on low molecular weight chitosan (<100 kDa), white for that adsorbed on succinate of chitosan, green for the ficin adsorbed on medium molecular weight chitosan (200 kDa), and orange or the ficin adsorbed on high molecular weight chitosan (350 kDa).
Figure 3. Effect of ultraviolet irradiation on the catalytic activity of ficin. In the graph, blue is used for the ficin in solution, violet for the ficin adsorbed on low molecular weight chitosan (<100 kDa), white for that adsorbed on succinate of chitosan, green for the ficin adsorbed on medium molecular weight chitosan (200 kDa), and orange or the ficin adsorbed on high molecular weight chitosan (350 kDa).
Chemproc 02 00017 g003
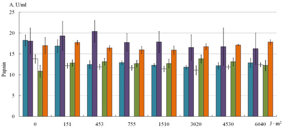
Figure 4. Effect of ultraviolet irradiation on the catalytic activity of papain. In the graph, blue is used for the papain in solution, violet for the papain adsorbed on low molecular weight chitosan (<100 kDa), white for that adsorbed on succinate of chitosan, green for the papain adsorbed on medium molecular weight chitosan (200 kDa), and orange or the papain adsorbed on high molecular weight chitosan (350 kDa).
Figure 4. Effect of ultraviolet irradiation on the catalytic activity of papain. In the graph, blue is used for the papain in solution, violet for the papain adsorbed on low molecular weight chitosan (<100 kDa), white for that adsorbed on succinate of chitosan, green for the papain adsorbed on medium molecular weight chitosan (200 kDa), and orange or the papain adsorbed on high molecular weight chitosan (350 kDa).
Chemproc 02 00017 g004
Figure 5. Effect of ultraviolet irradiation on the catalytic activity of trypsin. In the graph, blue is used for the trypsin in solution, violet for the trypsin adsorbed on low molecular weight chitosan (<100 kDa), white for that adsorbed on succinate of chitosan, green for the trypsin adsorbed on medium molecular weight chitosan (200 kDa), and orange or the trypsin adsorbed on high molecular weight chitosan (350 kDa).
Figure 5. Effect of ultraviolet irradiation on the catalytic activity of trypsin. In the graph, blue is used for the trypsin in solution, violet for the trypsin adsorbed on low molecular weight chitosan (<100 kDa), white for that adsorbed on succinate of chitosan, green for the trypsin adsorbed on medium molecular weight chitosan (200 kDa), and orange or the trypsin adsorbed on high molecular weight chitosan (350 kDa).
Chemproc 02 00017 g005
Publisher’s Note: MDPI stays neutral with regard to jurisdictional claims in published maps and institutional affiliations.

Share and Cite

MDPI and ACS Style

Pankova, S.; Holyavka, M.; Artyukhov, V. UV Sensitivity of Free and Immobilized on Chitosan Matrix Proteases. Chem. Proc. 2020, 2, 17. https://doi.org/10.3390/ECCS2020-07610

AMA Style

Pankova S, Holyavka M, Artyukhov V. UV Sensitivity of Free and Immobilized on Chitosan Matrix Proteases. Chemistry Proceedings. 2020; 2(1):17. https://doi.org/10.3390/ECCS2020-07610

Chicago/Turabian Style

Pankova, Svetlana, Marina Holyavka, and Valeriy Artyukhov. 2020. "UV Sensitivity of Free and Immobilized on Chitosan Matrix Proteases" Chemistry Proceedings 2, no. 1: 17. https://doi.org/10.3390/ECCS2020-07610

APA Style

Pankova, S., Holyavka, M., & Artyukhov, V. (2020). UV Sensitivity of Free and Immobilized on Chitosan Matrix Proteases. Chemistry Proceedings, 2(1), 17. https://doi.org/10.3390/ECCS2020-07610

Article Metrics

Back to TopTop