Abstract
Oxadiazoles, nitrogen-containing heterocycles, are attracting interest due to their promising biological activities. This study focuses on the synthesis of oxadiazole derivatives from functionalized intermediates derived from terephthalic acid, a versatile and readily available aromatic precursor widely used for the construction of nitrogen heterocycles and advanced organic structures. Different synthetic approaches were explored to evaluate the feasibility of these processes.
1. Introduction
Heterocycles are organic compounds whose rings contain one or more heteroatoms (nitrogen, oxygen, sulfur, etc.). This unique feature gives these molecules unique chemical and biological properties. Heterocycles play a crucial role in the pharmaceutical, agrochemical, and cosmetic industries, where they form the basis of many bioactive molecules. They are also very important in organic synthesis, often serving as intermediates in the preparation of new functional compounds [1].
Heterocyclic compounds containing at least one nitrogen atom in their structures such as triazoles, thiazoles, furadiazoles, and oxadiazoles, are of particular interest to researchers. Oxadiazole, in particular [2], has one oxygen atom and two nitrogen atoms distributed over a five-membered ring [3]. This compound was first synthesized in 1965 by Ainsworth through the thermolysis of hydrazine [4]. Oxadiazoles are known for their many applications in various fields, highlighting the diversity of their pharmacological effects. 1,3,4-Oxadiazole derivatives have antibacterial [5], antifungal [6], anthelmintic [7], antitubercular [8], anticancer [9], antiviral [10], antioxidant [11], analgesic [12], anti-inflammatory [13], and anticonvulsant [14] properties.
In this work, we focus on the synthesis of oxadiazole derivatives from terephthalic acid, a versatile and readily available aromatic precursor, which paves the way for the development of new heterocyclic compounds with potential applications in the pharmaceutical, agrochemical, and materials fields.
2. Results and Discussions
We report here the preparation of oxadiazole derivatives from terephthalic acid via different synthetic routes. The functionalized intermediates obtained were then subjected to a cyclization reaction leading to the formation of an oxadiazole system.
Bioxadiazole was synthesized using a simple and rapid method already described in the literature [15] and recently applied in our work [16] (Figure 1).
Figure 1.
Synthesis of 5,5′-(1,4-phenylene)bis(1,3,4-oxadiazole-2(3H)-thione) from terephthalic acid.
First, terephthalic acid was converted to diester by esterification in methanol in the presence of a catalytic amount of sulfuric acid, yielding an excellent 97% yield [15,16]. The second step consists of preparing the dihydrazide, obtained by reflux heating the diester with an excess (35%) of hydrazine in ethanol with a yield of 80%. Finally, the dihydrazide was subjected to a cyclization reaction in the presence of carbon disulfide and potassium hydroxide under reflux, leading to the production of bioxadiazole in the form of a white solid, with a yield of 80% and a high melting point.
Two methods have been reported for the synthesis of bioxadiazole derivatives from terephthalic acid:
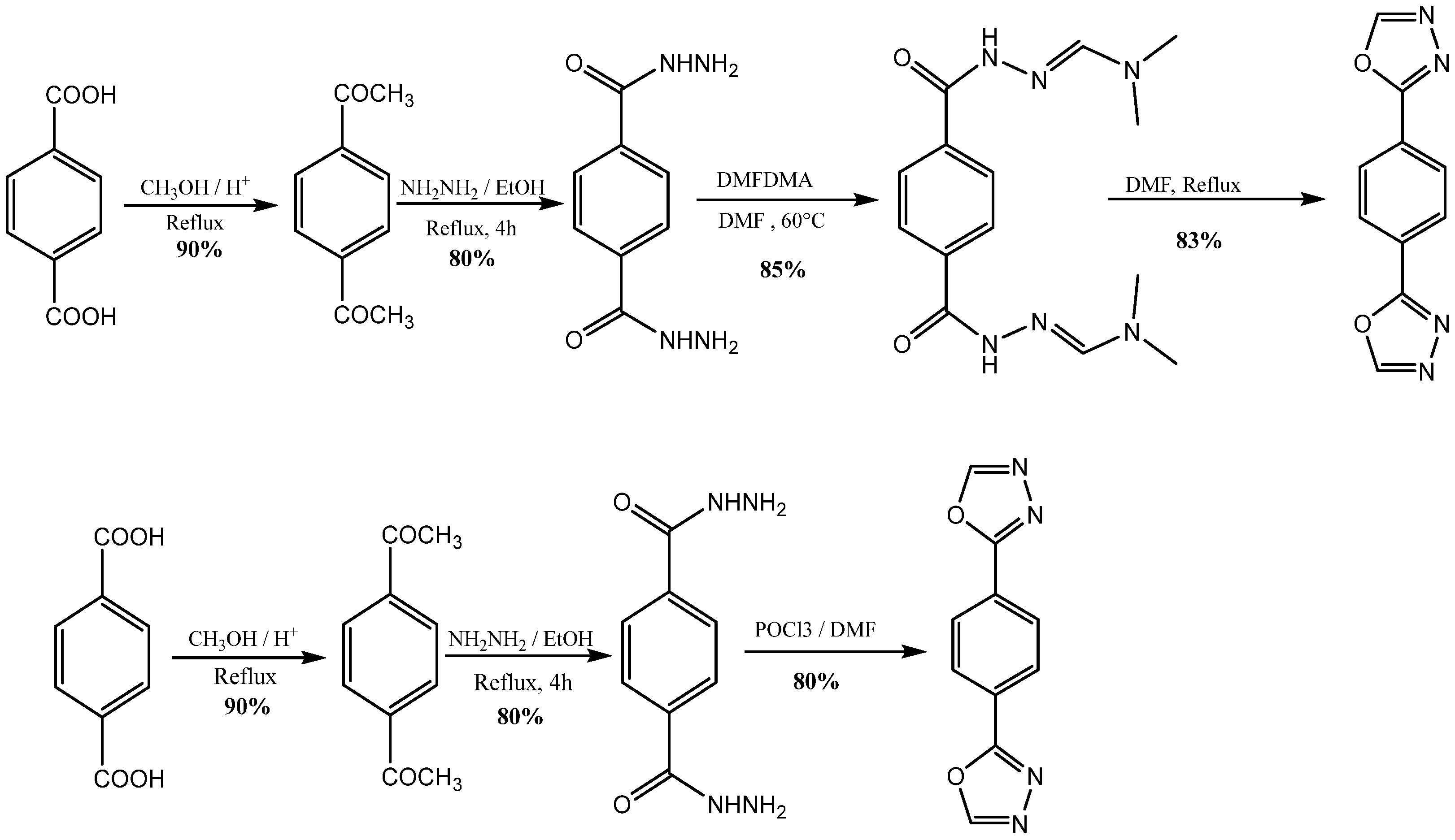
The first consists of preparing a formamidine derivative from dihydrazide in the presence of DMFDMA in DMF. The intermediate product is obtained as a yellow solid with a yield of 85%. A cyclization reaction, carried out in DMF at high temperature, then yields the bioxadiazole as a white solid, with a slightly improved yield (Figure 2).
Figure 2.
Synthesis of 1,4-di(1,3,4-oxadiazol-2-yl)benzene via two different approaches.
The second method is based on direct cyclization from dihydrazide in the presence of POCl3 in DMF. Bioxadiazole is thus obtained as a white solid, with good yield and a high melting point. (Figure 2).
Comparison of the two approaches:
It should be noted that the two synthetic approaches present notable differences:
- The first method, using formamidine as an intermediate, leads to an improvement in overall yield. However, it requires two successive steps, which lengthens the synthesis time and increases solvent consumption, making it less economical.
- In contrast, the second approach relies on direct cyclization. It appears simpler, faster, and more efficient. However, the use of POCl3, a corrosive reagent, poses risks in terms of safety and environmental impact.
3. Materials and Methods
3.1. Synthesis of Dimethylterephthalate
Terephthalic acid (7 g, 0.04 mol), methanol (150 mL) and H2SO4 (5 mL) were heated under reflux for 4 h. Solid NaHCO3 was added to neutralise the acid to pH 7 and filtered. The filtrate was evaporated to dryness under vacuum to give colourless crystalline dimethyl terephthalate (8.64 g, 97%), m.p. 140 °C (lit. 141–142 °C) [15].
3.2. Synthesis of Terephthalicdihydrazide
Dimethyl terephthalate (1 mmol) was refluxed with an excess of hydrazine hydrate (35%, 1 mL) in ethanol for 4 h. The solid formed was isolated by filtration to give the desired product as a white solid. Yield: 80%, m.p. > 260 °C. IR (ʋ, cm−1): 3326 (NH), 1697 (CONH), 1642 (CONH), 1615 (aromatic C=C).
3.3. Synthesis of 5,5′-Benzene-1,4-Diylbis(1,3,4-Oxadiazole-2-Thiol)
Dihydrazide (1.00 mmol) was dissolved in 15 mL of ethanol and stirred at room temperature. KOH (0.112 g, 2.0 mmol.) was added, and the mixture was stirred for 15 min. Carbon disulfide CS2 (9.9 mmol, 10 equiv.) was then added dropwise under stirring. The reaction mixture was heated under reflux at 80 °C for 3 h. After cooling, the solvent was evaporated under reduced pressure, and the residue was acidified with HCl. The resulting precipitate was filtered, washed with ethyl acetate, and dried to afford the product as a white solid. Yield: 80%, m.p. > 260 °C. IR (ʋ, cm−1): 3146 (N–H), 2322 (S–H), 1601 (C=N), 1488 (C–S). NMR1H (250 MHz, DMSO-d6) δ: 10.32 (s, 2H, NH), 7.81 (s, 4H, Ar-H).
3.4. Synthesis of (1E,1′E)-N′,N′′′′-Terephthaloylbis(N,N-Dimethylformohydrazonamide)
Dihydrazide (0.20 g, 1.03 mmol) was dissolved in 5 mL of DMF. DMF-DMA (0.269 g, 2.26 mmol) was added to the solution, and the reaction mixture was heated at 60 °C and monitored by TLC using a mixture of ethyl acetate and petroleum ether (3:2). After completion, the mixture was cooled to room temperature and poured slowly into ice-cold water. The resulting solid was filtered and washed with water to afford the product as a yellow solid. Yield: 85%, m.p.190 °C, IR (ʋ, cm−1): 3143–3246 (N–H), 1669 (C=N, imine), 1720 (C=O, amide), 2854–2922 (aliphatic C-H).
3.5. Synthesis of 1,4-di(1,3,4-Oxadiazol-2-yl)benzene
Method I:
Formamidine derivative (1.00 mmol) was refluxed in excess DMF. The progress of the reaction was monitored by TLC using a mixture of ethyl acetate and petroleum ether (3:2). After completion, the mixture was poured into water and extracted twice with ethyl acetate. The combined organic layers were evaporated to dryness to afford the product as a white solid. Yield: 83%, m.p. > 260 °C.
Method II:
Terephthalic dihydrazide (0.15 g, 0.77 mmol) was suspended/dissolved in DMF (1–2 mL). Vilsmeier reagent (prepared from POCl3 in DMF, 1 mL in 1 mL DMF) was added dropwise under stirring. The reaction was followed by TLC using a mixture of ethyl acetate and petroleum ether (3:2). Upon completion, the mixture was poured into ice-cold water, neutralised, and the precipitate filtered and washed to give the product as a white solid. Yield: 80%, m.p. > 260 °C. IR (ʋ, cm−1) 1689 (C=N, oxadiazole), 1575–1513 (C=C), 1280–1218 (C-O). NMR1H (400 MHz, CDCl3) δ: 8.24 (s, 2H, H-5, oxadiazole), 8.04 (s, 4H, Ar-H).
4. Conclusions
Our preliminary results show that the terephthalic nucleus offers interesting structural flexibility, enabling the efficient construction of oxadiazole-based systems under mild and easily reproducible conditions. In addition to conventional synthesis routes, other strategies are also being explored to expand the accessible chemical space around these heterocycles. This work thus provides a basis for the development of new oxadiazole derivatives that could find applications in the pharmaceutical and agrochemical fields.
Author Contributions
Conceptualization, F.Y. and D.Y.; methodology, F.Y. and D.Y.; software, F.Y.; validation, F.Y., D.Y. and C.-B.N.; formal analysis, F.Y.; investigation, F.Y.; data curation, F.Y.; writing—original draft preparation, F.Y.; writing—review and editing, F.Y.; visualization, F.Y.; supervision, F.Y. and D.Y.; project administration, F.Y.; funding acquisition, D.Y. and C.-B.N. All authors have read and agreed to the published version of the manuscript.
Funding
This research received no external funding.
Institutional Review Board Statement
Not applicable.
Informed Consent Statement
Not applicable.
Data Availability Statement
The data presented in this study are contained within the article.
Acknowledgments
The authors acknowledge the facilities and support provided by the Laboratoire de Catalyse et Synthèse en Chimie Organique, Université de Tlemcen.
Conflicts of Interest
The authors declare no conflict of interest.
References
- Arora, V.; Lamba, H.S.; Wadhwa, D. Importance of heterocyclic chemistry: A review. Int. J. Pharm. Sci. Res. 2012, 3, 2947–2954. [Google Scholar]
- Alrazzak, A.N. Synthesis, characterization, and study of some physical properties of novel 1,3,4-oxadiazole derivatives. IOP Conf. Ser. Mater. Sci. Eng. 2018, 454, 012096. [Google Scholar] [CrossRef]
- Salim, H.A.; Saoud, S.A. A review of modern methods of synthesis of 1,3,4-oxadiazole as bioactive compounds. Wasit J. Pure Sci. 2023, 2, 237–253. [Google Scholar]
- Kaur, M.; Singh, S.; Kaur, M. Synthesis, spectral study and biological activity of some 2,5-disubstituted 1,3,4-oxadiazole. Eur. J. Pharm. Med. Res. 2018, 5, 277–282. [Google Scholar]
- Jumat, S.; Nadia, S.; Ayad, H.; Hiba, I.E.Y. Synthesis and antibacterial activity of some new 1,3,4-oxadiazole and 1,3,4-thiadiazole derivatives. J. Appl. Sci. Res. 2010, 6, 866–870. [Google Scholar]
- Yang, G.-F.; Liu, Z.-M.; Qing, X.-H. Synthesis of 5,7-dimethyl-2-(5-substituted-1,3,4-oxadiazole-2-yl)-methylenethio-1,2,4-triazolo[1,5-a]pyrimidines as potential fungicides. Chin. Chem. Lett. 2001, 12, 877–880. [Google Scholar]
- Patel, K.; Chandran, J.E.; Shah, R.; Vijaya, J.; Sreenivasa, G.M. Synthesis, characterization and anthelmintic activity (Perituma posthuma) of new oxadiazole incorporated with imidazole and pyrazole. Int. J. Pharm. Bio Sci. 2010, 1, 1–13. [Google Scholar]
- Dewangan, D.; Pandey, A.; Sivakumar, T.; Rajavel, R.; Dubey, R.D. Synthesis of some novel 2,5-disubstituted 1,3,4-oxadiazole and its analgesic, anti-inflammatory, antibacterial and antitubercular activity. Int. J. Chem. Tech. Res. 2010, 2, 1397–1412. [Google Scholar]
- Holla, B.S.; Poojary, K.N.; Bhat, K.S.; Ashok, M.; Poojary, B. Synthesis and anticancer activity studies on some 2-chloro-1,4-bis-(5-substituted-1,3,4-oxadiazole-2-ylmethyleneoxy)phenylene derivatives. Indian J. Chem. 2005, 44B, 1669–1673. [Google Scholar]
- El-Sayeda, W.A.; El-Essawyb, F.A.; Ali, O.M.; Nasr, B.S.; Abdalla, M.M.; Abdel-Rahman, A.A.-H. Anti-HIV activity of new substituted 1,3,4-oxadiazole derivatives and their acyclic nucleoside analogues. Z. Naturforsch. 2009, 64C, 773–778. [Google Scholar] [CrossRef] [PubMed]
- Cena, C.; Bertinaria, M.; Boschi, D.; Giorgis, M.; Gasco, A. Use of the furoxan (1,2,5-oxadiazole 2-oxide) system in the design of new NO-donor antioxidant hybrids. ARKIVOC 2006, 7, 301–309. [Google Scholar] [CrossRef]
- Husain, A.; Ajmal, M. Synthesis of novel 1,3,4-oxadiazole derivatives and their biological properties. Acta Pharm. 2009, 59, 223–233. [Google Scholar] [CrossRef] [PubMed]
- Frank, P.V.; Girish, K.S.; Kalluraya, B. Solvent-free microwave-assisted synthesis of oxadiazoles containing imidazole moiety. J. Chem. Sci. 2007, 119, 41–46. [Google Scholar] [CrossRef]
- Zarghi, A.; Hamedi, S.; Tootooni, F.; Amini, B.; Sharifi, B.; Faizi, M.; Tabatabai, S.A.; Shafiee, A. Synthesis and pharmacological evaluation of new 2-substituted-5-{2-[(2-halobenzyl)thio]phenyl}-1,3,4-oxadiazoles as anticonvulsant agents. Sci. Pharm. 2008, 76, 185–201. [Google Scholar] [CrossRef]
- Datoussaid, Y.; Othman, A.; Kirsch, G. Synthesis and antibacterial activity of some 5,5′-(1,4-phenylene)-bis-1,3,4-oxadiazole and bis-1,2,4-triazole derivatives as precursors of new S-nucleosides. S. Afr. J. Chem. 2012, 65, 30–35. [Google Scholar]
- Fekih, Y.; Datoussaid, Y.; Choukchou-Braham, N. Synthesis of mixed heterocycles from terephthalic acid. In Proceedings of the 27th International Electronic Conference on Synthetic Organic Chemistry (ECSOC-27), Online, 15–30 November 2023; MDPI: Basel, Switzerland, 2023. [Google Scholar]
Disclaimer/Publisher’s Note: The statements, opinions and data contained in all publications are solely those of the individual author(s) and contributor(s) and not of MDPI and/or the editor(s). MDPI and/or the editor(s) disclaim responsibility for any injury to people or property resulting from any ideas, methods, instructions or products referred to in the content. |
© 2025 by the authors. Licensee MDPI, Basel, Switzerland. This article is an open access article distributed under the terms and conditions of the Creative Commons Attribution (CC BY) license (https://creativecommons.org/licenses/by/4.0/).

