Synthesis of Novel Benzocaine and Procaine Glycodrugs †
Abstract
1. Introduction
2. Material and Methods
2.1. General
2.2. Synthesis of 1,2:3,4-Di-O-isopropylidene-α-D-galactohexodialdo-1,5-pyranose (1)
2.3. Synthesis of Glycodrugs
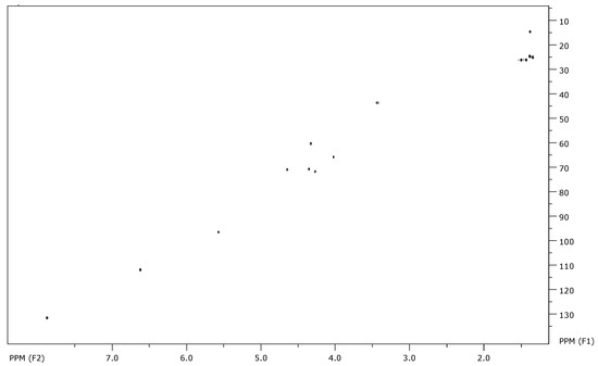
3. Results and Discussion
4. Conclusions
Author Contributions
Funding
Institutional Review Board Statement
Informed Consent Statement
Data Availability Statement
Acknowledgments
Conflicts of Interest
References
- El-Zahabi, H.S.; Nossier, E.S.; Mousa, S.M.; Hassan, H.; Shalaby, A.S.G.; Arafa, R.K. Antibacterial and anticancer profiling of new benzocaine derivatives: Design, synthesis, and molecular mechanism of action. Arch. Pharm. 2022, 355, 2100451. [Google Scholar] [CrossRef] [PubMed]
- Chrubasik, S.; Beime, B.; Magora, F. Efficacy of a benzocaine lozenge in the treatment of uncomplicated sore throat. Eur. Arch. Otorhinol. 2012, 269, 571–577. [Google Scholar] [CrossRef] [PubMed]
- Villar-Garea, A.; Fraga, M.F.; Espada, J.; Esteller, M. Procaine is a DNA-demethylating agent with growth-inhibitory effects in human cancer cells. Cancer Res. 2003, 63, 4984–4989. [Google Scholar]
- Křen, V.; Martínková, L. Glycosides in medicine: “The role of glycosidic residue in biological activity”. Curr. Med. Chem. 2001, 8, 1303–1328. [Google Scholar] [CrossRef] [PubMed]
- Křen, V.; Řezanka, T. Sweet antibiotics–the role of glycosidic residues in antibiotic and antitumor activity and their randomization. FEMS Microbiol. Rev. 2008, 32, 858–889. [Google Scholar] [CrossRef] [PubMed]
- Rojas, A.H.; Lafuente, L.; Echeverría, G.A.; Piro, O.E.; Vetere, V.; Ponzinibbio, A. Structure investigation on a novel 2-halo-2, 3-unsaturated-N-galactoside, NMR and X-ray diffraction of a monoclinic multidomain crystal. Carbohydr. Res. 2021, 510, 108457. [Google Scholar] [CrossRef] [PubMed]
- Rojas, A.H.; Lafuente, L.; Echeverría, G.A.; Piro, O.E.; Vetere, V.; Ponzinibbio, A. Synthesis and structure of novel iodinated N-glycosyl-sulfonamides through Aza-Ferrier reaction of 2-substituted glycals. Tetrahedron Lett. 2020, 61, 152282. [Google Scholar] [CrossRef]
- Lafuente, L.; Rojas, A.H.; Piro, O.E.; Echeverría, G.A.; Ponzinibbio, A. Synthesis, NMR and X-ray studies on novel heteroaromatic aldoxime O-ether 2-and 2, 3-unsaturated glycosides. Tetrahedron Lett. 2020, 61, 152241. [Google Scholar] [CrossRef]
- Lafuente, L.; Santiago, C.C.; Rojas, A.H.; Piro, O.E.; Echeverría, G.A.; Ponzinibbio, A. Selective synthesis and molecular structure of novel aminooxyglycosyl derivatives bearing hydroxyphenyl moieties. ChemistrySelect 2020, 5, 864. [Google Scholar] [CrossRef]
- Bejarano, N.; Lafuente, L.; Esteche, J.; Santiago, C.C.; Rojas, A.H.; Ponzinibbio, A. Synthesis and Structure of Novel Potentially Bioactive Amphiphilic-O-(N)-Glycosides. Chem. Proc. 2021, 3, 100. [Google Scholar]
- Gerry, C.J.; Schreiber, S.L. Recent achievements and current trajectories of diversity-oriented synthesis. Curr. Opin. Chem. Biol. 2020, 56, 1–9. [Google Scholar] [CrossRef] [PubMed]
- Scott, K.A.; Ropek, N.; Melillo, B.; Schreiber, S.L.; Cravatt, B.F.; Vinogradova, E.V. Stereochemical diversity as a source of discovery in chemical biology. Curr. Res. Chem. Biol. 2022, 2, 100028. [Google Scholar] [CrossRef]
- Butterworth, R.F.; Hanessian, S. Selected Methods of Oxidation in Carbohydrate Chemistry. Synthesis 1971, 1971, 70–88. [Google Scholar] [CrossRef]



Disclaimer/Publisher’s Note: The statements, opinions and data contained in all publications are solely those of the individual author(s) and contributor(s) and not of MDPI and/or the editor(s). MDPI and/or the editor(s) disclaim responsibility for any injury to people or property resulting from any ideas, methods, instructions or products referred to in the content. |
© 2024 by the authors. Licensee MDPI, Basel, Switzerland. This article is an open access article distributed under the terms and conditions of the Creative Commons Attribution (CC BY) license (https://creativecommons.org/licenses/by/4.0/).
Share and Cite
Rengel, N.B.; Esteche, J.; Santiago, C.C.; Ponzinibbio, A. Synthesis of Novel Benzocaine and Procaine Glycodrugs. Chem. Proc. 2024, 16, 45. https://doi.org/10.3390/ecsoc-28-20119
Rengel NB, Esteche J, Santiago CC, Ponzinibbio A. Synthesis of Novel Benzocaine and Procaine Glycodrugs. Chemistry Proceedings. 2024; 16(1):45. https://doi.org/10.3390/ecsoc-28-20119
Chicago/Turabian StyleRengel, Natividad Bejarano, Juliana Esteche, Cintia C. Santiago, and Agustín Ponzinibbio. 2024. "Synthesis of Novel Benzocaine and Procaine Glycodrugs" Chemistry Proceedings 16, no. 1: 45. https://doi.org/10.3390/ecsoc-28-20119
APA StyleRengel, N. B., Esteche, J., Santiago, C. C., & Ponzinibbio, A. (2024). Synthesis of Novel Benzocaine and Procaine Glycodrugs. Chemistry Proceedings, 16(1), 45. https://doi.org/10.3390/ecsoc-28-20119
