Extracellular Polymeric Substances Protect Chlorella sp. Against the Cadmium Stress
Abstract
1. Introduction
2. Materials and Methods
2.1. Growth Conditions of Chlorella sp.
2.2. Cd(II) Removal
2.3. Determination of Chl a and Maximal Chlorophyll Fluorescence of PSII (Fv /Fm)
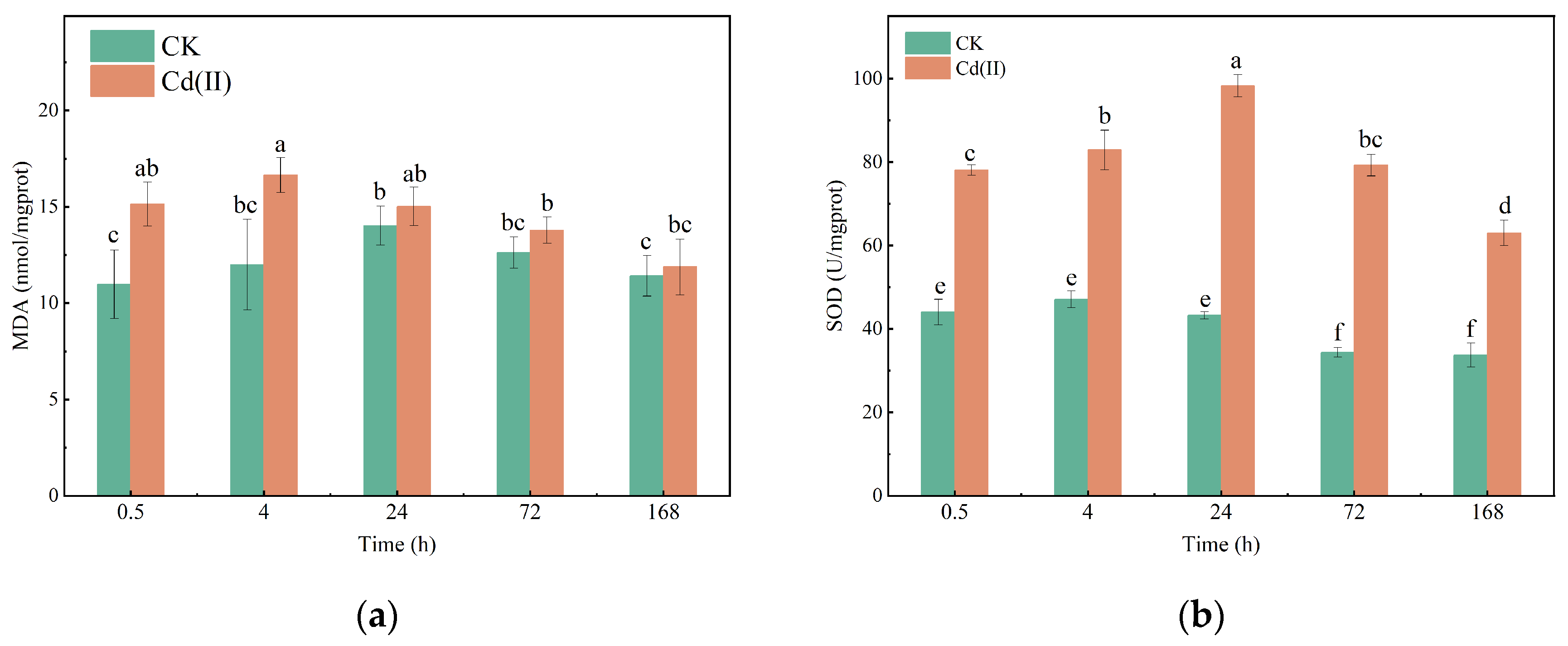
2.4. Measurement of Malondialdehyde (MDA) and Superoxide Dismutase (SOD) Content
2.5. EPS Extraction and Determination
2.6. Fourier Transform Infrared Spectroscopy (FTIR) Analysis
2.7. Measurement of Three-Dimensional Fluorescence Excitation–Emission Matrix (3D-EEM)
2.8. Statistical Analysis
3. Results and Discussion
3.1. Growth Inhibition and Cd(II) Removal by Chlorella sp.
3.2. Change in Chl a Content and Photosynthetic Activity
3.3. Change in the MDA Content and SOD Activity
3.4. The Role of EPS in Metal Sequestration
3.4.1. Changes in Polysaccharides and Proteins Contents in EPS
3.4.2. FTIR Analysis
| Wavenumber (cm−1) | |||||||||
|---|---|---|---|---|---|---|---|---|---|
| Algae | SL-EPS | LB-EPS | TB-EPS | Functional Group | References | ||||
| CK | Cd | CK | Cd | CK | Cd | CK | Cd | ||
| - | - | 3290 | 3304 | 3288 | 3344 | 3318 | 3287 | Amino group (−NH2) | [46] |
| 2923 | 2926 | 2934 | 2928 | 2932 | 2930 | 2987 | 2931 | Methyl group (−CH3) or Hydroxyl group attached to aromatic rings (X−OH) | [47,48] |
| 1647 | 1645 | 1633 | 1622 | 1622 | 1646 | Quinone, amide, or ketone C=O bond stretching | [51] | ||
| - | - | 1594 | 1601 | C=C and the COO− stretching | [49] | ||||
| 1362 | 1386 | 1350 | 1354 | 1350 | 1360 | 1350 | 1362 | Bending−OH (−COOH) | [46] |
| - | - | 1255 | 1249 | Phosphate group (P=O stretching vibration) | [14] | ||||
| 1111 | 1108 | - | - | Ether (C−O−C) in polysaccharides | [52] | ||||
| 1047 | 1023 | - | - | The elongation of bonds C−C and C−O in polysaccharides | [53] | ||||
| 859 | 833 | - | - | - | - | - | - | furanose and pyranose rings of saccharides α-glycosidic bonds | [20] |
3.4.3. 3D-EEM Analysis
3.5. Correlation Analysis
4. Conclusions
Author Contributions
Funding
Data Availability Statement
Conflicts of Interest
Abbreviations
| Cd | Cadmium |
| ROS | Oxygen species |
| EPS | extracellular polymeric substances |
| SL-EPS | soluble EPS |
| LB-EPS | Loosely bound EPS |
| TB- EPS | Tightly bound EPS |
| Chl a | Chlorophyll a |
| Fv/Fm | Maximum photochemical quantum yield |
| SOD | Superoxide dismutase |
| FTIR | Fourier transform infrared spectrum |
| MDA | Malondialdehyde |
| 3D-EEM | Three-dimensional fluorescence excitation–emission matrix |
| PS | Polysaccharide |
| PN | Protein |
| CK | Control group |
References
- Raza, A.; Habib, M.; Kakavand, S.N.; Zahid, Z.; Zahra, N.; Sharif, R.; Hasanuzzaman, M. Phytoremediation of Cadmium: Physiological, Biochemical, and Molecular Mechanisms. Biology 2020, 9, 177. [Google Scholar] [CrossRef]
- World Health Organization. Guidelines for Drinking-Water Quality; World Health Organization: Geneva, Switzerland, 2011; Volume 38, pp. 104–108. [Google Scholar]
- Wu, Y.Y.; Tian, W.F.; Cheng, C.X.; Yang, L.; Ye, Q.Q.; Li, W.H.; Jiang, J.Y. Effects of cadmium exposure on metabolism, antioxidant defense, immune function, and the hepatopancreas transcriptome of Cipangopaludina cathayensis. Ecotoxicol. Environ. Saf. 2023, 264, 115416. [Google Scholar] [CrossRef]
- Eniola, J.O.; Sizirici, B.; Stephen, S.; Yildiz, I.; Khaleel, A.; El Fadel, M. A new synthesis route of hydrothermally carbonized Na2CO3 activated bentonite-clay as a novel adsorbent for cadmium removal from wastewater. Sep. Purif. Technol. 2024, 350, 127960. [Google Scholar] [CrossRef]
- Yan, C.; Qu, Z.; Wang, J.; Cao, L.; Han, Q. Microalgal bioremediation of heavy metal pollution in water: Recent advances, challenges, and prospects. Chemosphere 2022, 286, 131870. [Google Scholar] [CrossRef] [PubMed]
- Sun, X.; Huang, H.; Zhu, Y.; Du, Y.; Yao, L.; Jiang, X.; Gao, P. Adsorption of Pb2+ and Cd2+ onto Spirulina platensis harvested by polyacrylamide in single and binary solution systems. Colloids Surf. A Physicochem. Eng. Asp. 2019, 583, 123926. [Google Scholar] [CrossRef]
- Ravikumar, Y.; Razack, S.A.; Yun, J.; Zhang, G.; Zabed, H.M.; Qi, X. Recent advances in Microalgae-based distillery wastewater treatment. Environ. Technol. Innov. 2021, 24, 101839. [Google Scholar] [CrossRef]
- Gondi, R.; Kavitha, S.; Kannah, R.Y.; Karthikeyan, O.P.; Kumar, G.; Tyagi, V.K.; Banu, J.R. Algal-based system for removal of emerging pollutants from wastewater: A review. Bioresour. Technol. 2022, 344, 126245. [Google Scholar] [CrossRef]
- Daneshvar, E.; Zarrinmehr, M.J.; Kousha, M.; Hashtjin, A.M.; Saratale, G.D.; Maiti, A.; Vithanage, M.; Bhatnagar, A. Hexavalent chromium removal from water by microalgal-based materials: Adsorption, desorption and recovery studies. Bioresour. Technol. 2019, 293, 122064. [Google Scholar] [CrossRef]
- Molazadeh, P.; Khanjani, N.; Rahimi, M.; Nasiri, A. Adsorption of Lead by Microalgae Chaetoceros Sp. and Chlorella Sp. from Aqueous Solution. J. Community Health Res. 2015, 4, 114–127. [Google Scholar]
- Zhu, Q.; Zhang, M.; Bao, J.; Liu, J. Physiological, metabolomic, and transcriptomic analyses reveal the dynamic redox homeostasis upon extended exposure of Dunaliella salina GY-H13 cells to Cd. Ecotoxicol. Environ. Saf. 2021, 223, 112593. [Google Scholar] [CrossRef]
- Wei, L.; Li, J.; Xue, M.; Wang, S.; Li, Q.; Qin, K.; Jiang, J.; Ding, J.; Zhao, Q. Adsorption behaviors of Cu2+, Zn2+ and Cd2+ onto proteins, humic acid, and polysaccharides extracted from sludge EPS: Sorption properties and mechanisms. Bioresour. Technol. 2019, 291, 121868. [Google Scholar] [CrossRef]
- Li, M.; Ma, C.; Yin, X.; Zhang, L.; Tian, X.; Chen, Q.; Wang, L. Investigating trivalent chromium biosorption-driven extracellular polymeric substances changes of Synechocystis sp. PCC 7806 by parallel factor analysis (PARAFAC) analysis. Bioresour. Technol. Rep. 2019, 7, 100249. [Google Scholar] [CrossRef]
- Gu, S.; Lan, C.Q. Biosorption of heavy metal ions by green alga Neochloris oleoabundans: Effects of metal ion properties and cell wall structure. J. Hazard. Mater. 2021, 418, 126336. [Google Scholar] [CrossRef] [PubMed]
- Wang, X.; Li, Y.; Zhang, X.; Chen, X.; Wang, X.; Yu, D.; Ge, B. The extracellular polymeric substances (EPS) accumulation of Spirulina platensis responding to Cadmium (Cd2+) exposure. J. Hazard. Mater. 2024, 470, 134244. [Google Scholar] [CrossRef] [PubMed]
- Wang, J.; Tian, Q.; Zhou, H.; Kang, J.; Yu, X.; Qiu, G.; Shen, L. Physiological regulation of microalgae under cadmium stress and response mechanisms of time-series analysis using metabolomics. Sci. Total Environ. 2024, 916, 170278. [Google Scholar] [CrossRef]
- Han, X.; Liu, F.; Zhang, Y.; Cheng, K.; Wang, H.; Ge, H. Detoxification strategy of Microcystis aeruginosa to the toxicity of Cd (II): Role of EPS in alleviating toxicity. J. Oceanol. Limnol. 2024, 42, 802–815. [Google Scholar] [CrossRef]
- Mendes, A.R.; Spínola, M.P.; Lordelo, M.; Prates, J.A. Chemical compounds, bioactivities, and applications of Chlorella vulgaris in food, feed and medicine. Appl. Sci. 2024, 14, 10810. [Google Scholar] [CrossRef]
- Sathasivam, R.; Radhakrishnan, R.; Hashem, A.; Abd_Allah, E.F. Microalgae metabolites: A rich source for food and medicine. Saudi J. Biol. Sci. 2019, 26, 709–722. [Google Scholar] [CrossRef]
- Ciempiel, W.; Czemierska, M.; Szymańska-Chargot, M.; Zdunek, A.; Wiącek, D.; Jarosz-Wilkołazka, A.; Krzemińska, I. Soluble Extracellular Polymeric Substances Produced by Parachlorella kessleri and Chlorella vulgaris: Biochemical Characterization and Assessment of Their Cadmium and Lead Sorption Abilities. Molecules 2022, 27, 7153. [Google Scholar] [CrossRef]
- Ozturk, S.; Aslim, B.; Suludere, Z.; Tan, S. Metal removal of cyanobacterial exopolysaccharides by uronic acid content and monosaccharide composition. Carbohydr. Polym. 2014, 101, 265–271. [Google Scholar] [CrossRef]
- Sartory, D.P.; Grobbelaar, J.U. Extraction of chlorophyll a from freshwater phytoplankton for spectrophotometric analysis. Hydrobiologia 1984, 114, 177–187. [Google Scholar] [CrossRef]
- Sheng, G.-P.; Yu, H.-Q.; Li, X.-Y. Extracellular polymeric substances (EPS) of microbial aggregates in biological wastewater treatment systems: A review. Biotechnol. Adv. 2010, 28, 882–894. [Google Scholar] [CrossRef] [PubMed]
- Xu, H.; Cai, H.; Yu, G.; Jiang, H. Insights into extracellular polymeric substances of cyanobacterium Microcystis aeruginosa using fractionation procedure and parallel factor analysis. Water Res. 2013, 47, 2005–2014. [Google Scholar] [CrossRef] [PubMed]
- Christenson, L.; Sims, R. Production and harvesting of microalgae for wastewater treatment, biofuels, and bioproducts. Biotechnol. Adv. 2011, 29, 686–702. [Google Scholar] [CrossRef] [PubMed]
- DuBois, M.; Gilles, K.A.; Hamilton, J.K.; Rebers, P.A.; Smith, F. Colorimetric Method for Determination of Sugars and Related Substances. Anal. Chem. 1956, 28, 350–356. [Google Scholar] [CrossRef]
- Bradford, M.M. A rapid and sensitive method for the quantitation of microgram quantities of protein utilizing the principle of protein-dye binding. Anal. Biochem. 1976, 72, 248–254. [Google Scholar] [CrossRef]
- Ge, H.; Zhang, J.; Zhou, X.; Xia, L.; Hu, C. Effects of light intensity on components and topographical structures of extracellular polymeric substances from Microcoleus vaginatus (Cyanophyceae). Phycologia 2014, 53, 167–173. [Google Scholar] [CrossRef]
- Ran, Y.; Sun, D.; Liu, X.; Zhang, L.; Niu, Z.; Chai, T.; Hu, Z.; Qiao, K. Chlorella pyrenoidosa as a potential bioremediator: Its tolerance and molecular responses to cadmium and lead. Sci. Total Environ. 2024, 912, 168712. [Google Scholar] [CrossRef]
- Shin, J.; Kim, H.-S.; Bui, Q.T.N.; Kim, T.; Ki, J.-S. Photosynthesis genes modulate cadmium tolerance in the freshwater alga Closterium acutum revealed by transcriptome analysis. J. Appl. Phycol. 2025, 37, 1951–1965. [Google Scholar] [CrossRef]
- Wang, Y.; Zou, Z.; Su, X.; Wan, F.; Zhou, Y.; Lei, Z.; Yi, L.; Dai, Z.; Li, J. Physiological of biochar and α-Fe2O3 nanoparticles as amendments of Cd accumulation and toxicity toward muskmelon grown in pots. J. Nanobiotechnol. 2021, 19, 442. [Google Scholar] [CrossRef]
- Komy, Z.R.; Gabar, R.M.; Shoriet, A.A.; Mohammed, R.M. Characterisation of acidic sites of Pseudomonas biomass capable of binding protons and cadmium and removal of cadmium via biosorption. World J. Microbiol. Biotechnol. 2006, 22, 975–982. [Google Scholar] [CrossRef]
- Haider, F.U.; Liqun, C.; Coulter, J.A.; Cheema, S.A.; Wu, J.; Zhang, R.; Wenjun, M.; Farooq, M. Cadmium toxicity in plants: Impacts and remediation strategies. Ecotoxicol. Environ. Saf. 2021, 211, 111887. [Google Scholar] [CrossRef] [PubMed]
- Bouida, L.; Rafatullah, M.; Kerrouche, A.; Qutob, M.; Alosaimi, A.M.; Alorfi, H.S.; Hussein, M.A. A review on cadmium and lead contamination: Sources, fate, mechanism, health effects and remediation methods. Water 2022, 14, 3432. [Google Scholar] [CrossRef]
- Piotrowska-Niczyporuk, A.; Bonda-Ostaszewska, E.; Bajguz, A. Mitigating effect of trans-zeatin on cadmium toxicity in Desmodesmus armatus. Cells 2024, 13, 686. [Google Scholar] [CrossRef]
- Chandrashekharaiah, P.S.; Sanyal, D.; Dasgupta, S.; Banik, A. Cadmium biosorption and biomass production by two freshwater microalgae Scenedesmus acutus and Chlorella pyrenoidosa: An integrated approach. Chemosphere 2021, 269, 128755. [Google Scholar] [CrossRef]
- Qi, F.; Gao, Y.; Liu, J.; Yao, X.; Han, K.; Wu, Z.; Wang, Y. Alleviation of cadmium-induced photoinhibition and oxidative stress by melatonin in Chlamydomonas reinhardtii. Environ. Sci. Pollut. Res. 2023, 30, 78423–78437. [Google Scholar] [CrossRef]
- Faller, P.; Kienzler, K.; Krieger-Liszkay, A. Mechanism of Cd2+ toxicity: Cd2+ inhibits photoactivation of Photosystem II by competitive binding to the essential Ca2+ site. Biochim. Biophys. Acta (BBA)—Bioenerg. 2005, 1706, 158–164. [Google Scholar] [CrossRef]
- Samadani, M.; Perreault, F.; Oukarroum, A.; Dewez, D. Effect of cadmium accumulation on green algae Chlamydomonas reinhardtii and acid-tolerant Chlamydomonas CPCC 121. Chemosphere 2018, 191, 174–182. [Google Scholar] [CrossRef]
- Ruan, G.; Liu, C.; Song, G.; Qian, J.; Bao, T.; Zhao, Y.; Sun, S.; Wan, D.; Mi, W.; He, M. Sll1725, an ABC transporter in Synechocystis sp. PCC 6803 for the detoxification of cadmium ion stress. Ecotoxicol. Environ. Saf. 2025, 300, 118389. [Google Scholar] [CrossRef]
- Zhang, H.; Heal, K.; Zhu, X.; Tigabu, M.; Xue, Y.; Zhou, C. Tolerance and detoxification mechanisms to cadmium stress by hyperaccumulator Erigeron annuus include molecule synthesis in root exudate. Ecotoxicol. Environ. Saf. 2021, 219, 112359. [Google Scholar] [CrossRef]
- Zulfiqar, U.; Jiang, W.; Xiukang, W.; Hussain, S.; Ahmad, M.; Maqsood, M.F.; Ali, N.; Ishfaq, M.; Kaleem, M.; Haider, F.U.; et al. Cadmium Phytotoxicity, Tolerance, and Advanced Remediation Approaches in Agricultural Soils; A Comprehensive Review. Front. Plant Sci. 2022, 13, 773815. [Google Scholar] [CrossRef]
- Xiao, X.; Li, W.; Jin, M.; Zhang, L.; Qin, L.; Geng, W. Responses and tolerance mechanisms of microalgae to heavy metal stress: A review. Mar. Environ. Res. 2023, 183, 105805. [Google Scholar] [CrossRef] [PubMed]
- Zhang, Y.; Li, M.; Chang, F.; Yi, M.; Ge, H.; Fu, J.; Dang, C. The distinct resistance mechanisms of cyanobacteria and green algae to sulfamethoxazole and its implications for environmental risk assessment. Sci. Total Environ. 2023, 854, 158723. [Google Scholar] [CrossRef] [PubMed]
- Elleuch, J.; Hmani, R.; Drira, M.; Michaud, P.; Fendri, I.; Abdelkafi, S. Potential of three local marine microalgae from Tunisian coasts for cadmium, lead and chromium removals. Sci. Total Environ. 2021, 799, 149464. [Google Scholar] [CrossRef] [PubMed]
- Cid, H.A.; Flores, M.I.; Pizarro, J.F.; Castillo, X.A.; Barros, D.E.; Moreno-Piraján, J.C.; Ortiz, C.A. Mechanisms of Cu2+ biosorption on Lessonia nigrescens dead biomass: Functional groups interactions and morphological characterization. J. Environ. Chem. Eng. 2018, 6, 2696–2704. [Google Scholar] [CrossRef]
- Ozturk, S.; Aslim, B.; Suludere, Z. Cadmium (II) sequestration characteristics by two isolates of Synechocystis sp. in terms of exopolysaccharide (EPS) production and monomer composition. Bioresour. Technol. 2010, 101, 9742–9748. [Google Scholar] [CrossRef]
- Tavana, M.; Pahlavanzadeh, H.; Zarei, M.J. The novel usage of dead biomass of green algae of Schizomeris leibleinii for biosorption of copper (II) from aqueous solutions: Equilibrium, kinetics and thermodynamics. J. Environ. Chem. Eng. 2020, 8, 104272. [Google Scholar] [CrossRef]
- Ding, L.; Luo, Y.; Yu, X.; Ouyang, Z.; Liu, P.; Guo, X. Insight into interactions of polystyrene microplastics with different types and compositions of dissolved organic matter. Sci. Total Environ. 2022, 824, 153883. [Google Scholar] [CrossRef]
- Demey, H.; Vincent, T.; Guibal, E. A novel algal-based sorbent for heavy metal removal. Chem. Eng. J. 2018, 332, 582–595. [Google Scholar] [CrossRef]
- Cheng, P.; Chang, T.; Wang, C.; Yao, C.; Zhou, C.; Liu, T.; Wang, G.; Yan, X.; Ruan, R. High cobalt exposure facilitates bioactive exopolysaccharides production with a novel molecular structure in Botryococcus braunii. Chem. Eng. J. 2022, 442, 136294. [Google Scholar] [CrossRef]
- Mecozzi, M.; Pietroletti, M.; Tornambè, A. Molecular and structural characteristics in toxic algae cultures of Ostreopsis ovata and Ostreopsis spp. evidenced by FTIR and FTNIR spectroscopy. Spectrochim. Acta Part A Mol. Biomol. Spectrosc. 2011, 78, 1572–1580. [Google Scholar] [CrossRef]
- Plöhn, M.; Escudero-Onate, C.; Funk, C. Biosorption of Cd (II) by Nordic microalgae: Tolerance, kinetics and equilibrium studies. Algal Res. 2021, 59, 102471. [Google Scholar] [CrossRef]
- Parlanti, E.; Wörz, K.; Geoffroy, L.; Lamotte, M. Dissolved organic matter fluorescence spectroscopy as a tool to estimate biological activity in a coastal zone submitted to anthropogenic inputs. Org. Geochem. 2000, 31, 1765–1781. [Google Scholar] [CrossRef]
- Chen, W.; Westerhoff, P.; Leenheer, J.A.; Booksh, K. Fluorescence excitation−emission matrix regional integration to quantify spectra for dissolved organic matter. Environ. Sci. Technol. 2003, 37, 5701–5710. [Google Scholar] [CrossRef] [PubMed]
- Wang, X.; Han, X.; Ge, H. Effect of light intensity on bound EPS characteristics of two Microcystis morphospecies: The role of bEPS in the proliferation of Microcystis. J. Oceanol. Limnol. 2022, 40, 1706–1719. [Google Scholar] [CrossRef]
- Ruan, G.; Mi, W.; Yin, X.; Song, G.; Bi, Y. Molecular Responses Mechanism of Synechocystis sp. PCC 6803 to Cadmium Stress. Water 2022, 14, 32. [Google Scholar] [CrossRef]







| Peak A (Tryptophan-Like Protein Substance) | Peak B (Humic-Like Substance) | ||||
|---|---|---|---|---|---|
| Intensity | Site (Ex/Em) | Intensity | Site (Ex/Em) | ||
| SL-EPS | CK | 9309.2 | 280/325 nm | 1727.6 | 365/440 nm |
| Cd(II) | 5326.5 | 280/325 nm | 1401.2 | 365/440 nm | |
| LB-EPS | CK | 1426 | 280/325 nm | - | - |
| Cd(II) | 1223.8 | 280/325 nm | - | - | |
| TB-EPS | CK | 2323.4 | 280/325 nm | - | - |
| Cd(II) | 2189.6 | 280/325 nm | - | - | |
Disclaimer/Publisher’s Note: The statements, opinions and data contained in all publications are solely those of the individual author(s) and contributor(s) and not of MDPI and/or the editor(s). MDPI and/or the editor(s) disclaim responsibility for any injury to people or property resulting from any ideas, methods, instructions or products referred to in the content. |
© 2025 by the authors. Licensee MDPI, Basel, Switzerland. This article is an open access article distributed under the terms and conditions of the Creative Commons Attribution (CC BY) license (https://creativecommons.org/licenses/by/4.0/).
Share and Cite
Liu, F.; Han, X.; Wang, Z.; Zhao, X.; Zhang, Y.; Ge, H. Extracellular Polymeric Substances Protect Chlorella sp. Against the Cadmium Stress. Ecologies 2025, 6, 65. https://doi.org/10.3390/ecologies6040065
Liu F, Han X, Wang Z, Zhao X, Zhang Y, Ge H. Extracellular Polymeric Substances Protect Chlorella sp. Against the Cadmium Stress. Ecologies. 2025; 6(4):65. https://doi.org/10.3390/ecologies6040065
Chicago/Turabian StyleLiu, Fangyuan, Xingye Han, Zhengyang Wang, Xuefeng Zhao, Yibo Zhang, and Hongmei Ge. 2025. "Extracellular Polymeric Substances Protect Chlorella sp. Against the Cadmium Stress" Ecologies 6, no. 4: 65. https://doi.org/10.3390/ecologies6040065
APA StyleLiu, F., Han, X., Wang, Z., Zhao, X., Zhang, Y., & Ge, H. (2025). Extracellular Polymeric Substances Protect Chlorella sp. Against the Cadmium Stress. Ecologies, 6(4), 65. https://doi.org/10.3390/ecologies6040065

