Characterization of a West African Coastal Lagoon System: Case of Lake Nokoué with Its Inlet (Cotonou, South Benin)
Abstract
1. Introduction
2. Materials and Methods
2.1. Study Area
2.2. Choice of Measured Parameters
- -
- A decrease of dissolved oxygen alerts on the risk of eutrophication
- -
- A strong decrease of pH informs on the acidification of the lake (pH should not deviate too much from the neutral value “7”)
- -
- The water transparency gives information on the richness in organic matter. This organic matter in the presence of light favors the production of seedlings the basic food of the animal production.
- -
- The study of the bottom granulometry of the lake makes it possible to know the impact of the whole discharges (wood of Acadja, deaths of aquatic plants, waste of any kind coming from the markets Dantopka and Calavi and other waste coming from the lacustrine villages) on the nature of the sediment.
- -
- Salinity and total dissolved solids (TDS) are parameters indicating the extension of the water intrusion coming from the Atlantic Ocean into Lake Nokoué
- -
- Temperature is a parameter indicating the level of thermal stability of the lake in space and time.
- -
- The rainfall data allow to qualify the effect of the rainy season on the flooding of Lake Nokoué.
- -
- Depth measurements allow to characterize the water level during flood and low water. These data are also important for the populations living on the banks of the lake in the sense that it will serve as contingency measures for the implementation of housing during floods. In the same way, these data should help the populations of the villages of the lake to adjust the minimum level of their dwellings in piles (limited the drownings during the flood).
- -
- The survey of the width and depth of the contact zone between Lake Nokoué and the Atlantic Ocean (ocean—Lake Nokoué exchange surface) favors understanding of the annual dynamics of water flow into and out of the lake. These data can also indicate the physical impact of water flow on the temporary displacement of sandbars at the mouth.
2.3. Sampling
2.4. Size Distribution of the Substrate at the Sampling Stations
2.5. Statistical Analysis
3. Results
3.1. Physical and Chemical Characteristics of the Complex
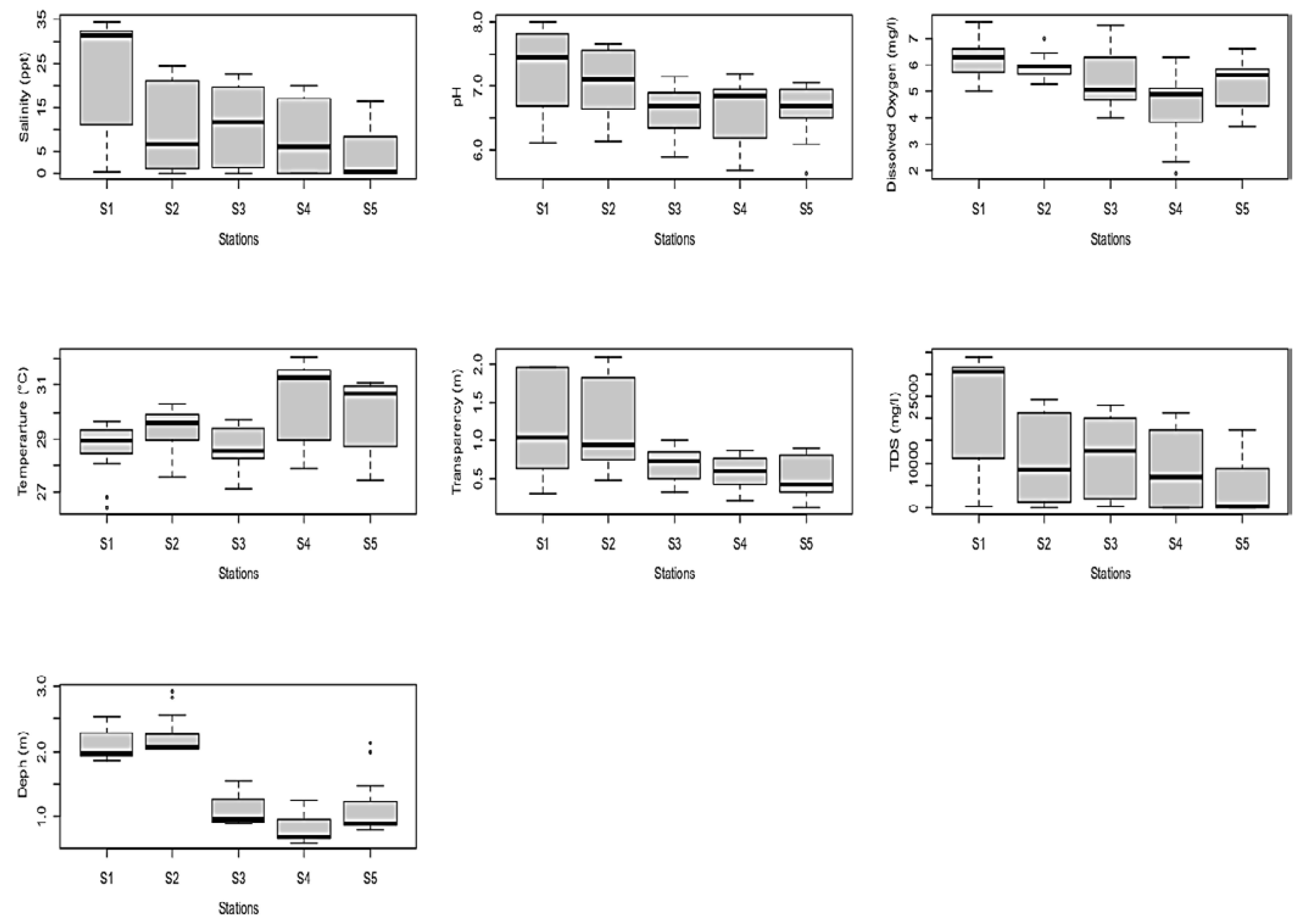
3.1.1. Spatial Fluctuations of Physical and Chemical Parameters
- -
- The annual mean highest and lowest values of salinity, transparency and TDS were observed in the south (station S1, near the Atlantic Ocean) and east of Lake Nokoué (station S5, near the Ouémé River) respectively. It is also noted that the largest and smallest fluctuations, computed as the difference between the maximum and minimum values over the year, in salinity and TDS were observed in the south and east respectively, and the largest fluctuations in transparency were observed in the south and center (station S2) of Lake Nokoué.
- -
- The absolute highest and lowest pH values were recorded in the south (station S1) and north (station S4) of Lake Nokoué respectively. However, the highest and lowest pH fluctuations were recorded in the south (station S1) and east (station S5) of Lake Nokoué.
- -
- The annual mean highest and lowest dissolved oxygen levels were recorded in the south (station S1) and north (station S4) of Lake Nokoué respectively. It should be noted that the highest fluctuations in dissolved oxygen levels were recorded in the north (station S4) where the sampling station is located in an area close to the Sô River, and with a high concentration of the water hyacinth Eichhornia crassipes during the flood. The lowest fluctuations in dissolved oxygen were observed in the center (station S2) of Lake Nokoué where the concentration of Acadjas is lower than in the western zone.
- -
- The highest and lowest annual mean temperature values were recorded in the north (station S4) and west (station S3) of Lake Nokoué, while the highest and lowest temperature fluctuations were recorded in the north (station S4) and south (station S1) of Lake Nokoué respectively.
- -
- The highest and lowest mean water level values were recorded in the center (station S2) and north (station S4) of Lake Nokoué respectively, while the highest and lowest water level fluctuations were recorded in the east (station S5) and north (station S4) of Lake Nokoué respectively. The average annual mean depth of Lake Nokoué for the 5 stations was 1.47 ± 0.66 m.
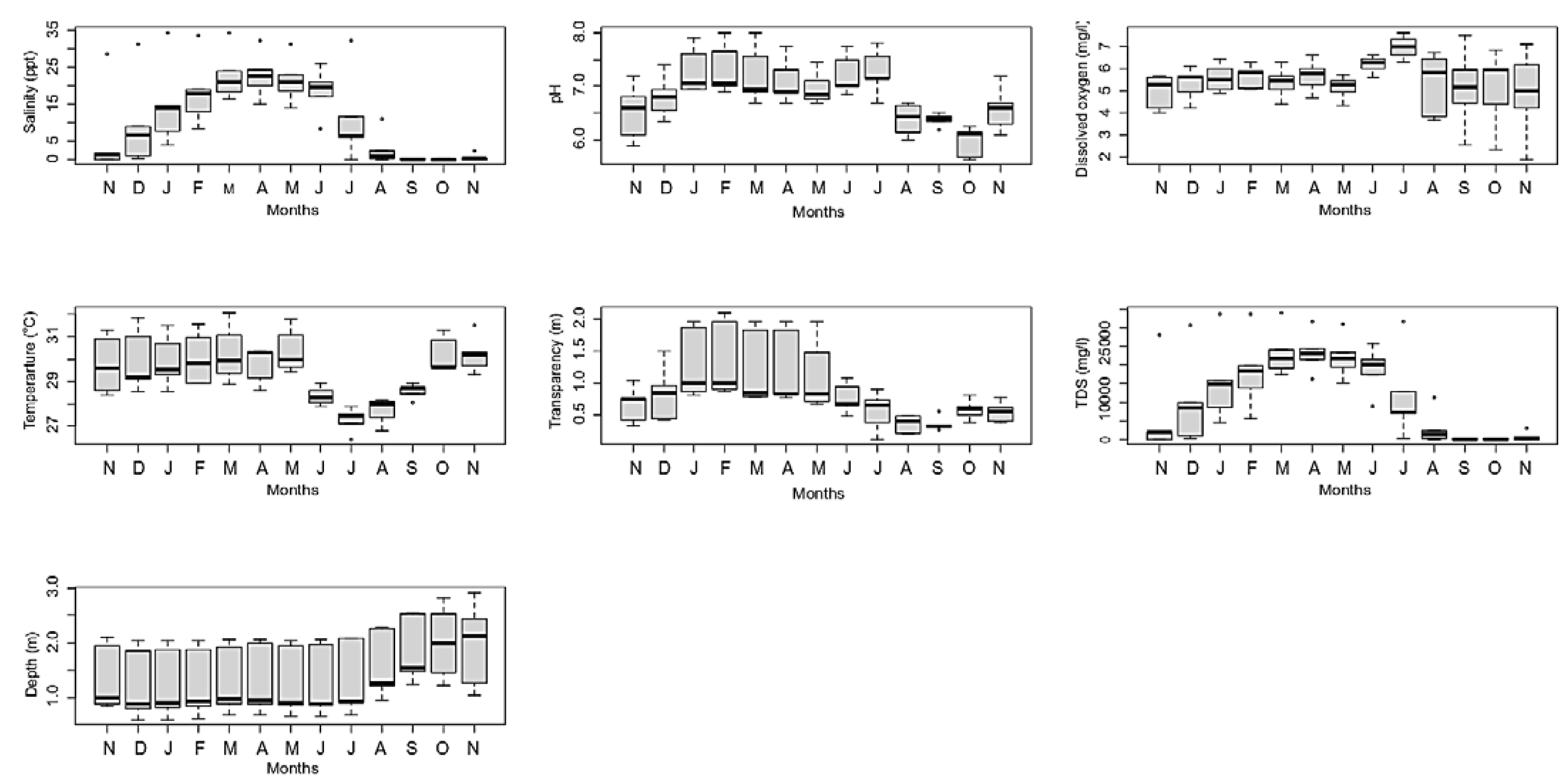
3.1.2. Temporal Fluctuations of Environmental Variables
3.2. Correlation between Physical and Chemical Parameters
3.3. Granulometry of the Sampling Stations
3.4. Variation of the Exchange Surface between the Sea and Lake Nokoué
4. Discussion
5. Conclusions
Author Contributions
Funding
Institutional Review Board Statement
Informed Consent Statement
Data Availability Statement
Acknowledgments
Conflicts of Interest
References
- Mama, D.; Deluchat, V.; Bowen, J.; Chouti, W.; Yao, B.; Gnon, B.; Baudu, M. Caractérisation d’un système lagunaire en zone tropicale: Cas du lac Nokoué (Bénin). Eur. J. Sci. Res. 2011, 56, 516–528. [Google Scholar]
- Okpeitcha, O.V.; Chaigneau, A.; Morel, Y.; Stieglitz, T.; Pomalegni, Y.; Sohou, Z.; Mama, D. Seasonal and interannual variability of salinity in a large West-African lagoon (Nokoué Lagoon, Benin). Estuar. Coast. Shelf Sci. 2022, 264, 107689. [Google Scholar] [CrossRef]
- Mama, D. Méthodologie et résultats du diagnostic de l’eutrophisation du Lac Nokoué (Bénin). Ph.D. Thesis, Université de Limoges, Limoges, France, 2010. [Google Scholar]
- Welcomme, R.L. An evaluation of the Acadja method of fishing as practised in the coastal lagoons of Dahomey (West Africa). J. Fish Biol. 1972, 4, 39–55. [Google Scholar] [CrossRef]
- Lalèyè, P.; Niyonkuru, C.; Moreau, J.; Teugels, G. Spatial and seasonal distribution of the ichthyofauna of Lake Nokoué, Bénin, West Africa. Afr. J. Aquat. Sci. 2003, 28, 151–161. [Google Scholar] [CrossRef]
- Feuchtmayr, H.; Moran, R.; Hatton, K.; Connor, L.; Heyes, T.; Moss, B.; Harvay, I.; Atkinson, D. Global warming and eutrophication: Effects on water chemistry and autotrophic communities in experimental hypertrophic shallow lake mesocosms. J. Appl. Ecol. 2009, 46, 713–723. [Google Scholar] [CrossRef]
- Badahoui, A.; Fiogbe, E.D.; Boko, M. Les causes de la dégradation du lac Ahémé et ses chenaux. Int. J. Biol. Chem. Sci. 2010, 4, 882–897. [Google Scholar] [CrossRef]
- Hu, Z.; Sun, X.; Cai, Y.; Guo, L.; Chen, Q.; Liu, T.; Shi, F.; Yang, L. The habitat type and trophic state determine benthic macroinvertebrate assemblages in lowland shallow lakes of China. J. Limnol. 2016, 75, 330–339. [Google Scholar]
- Vennin, A. Etude de l’interface eau-sédiment dans les géosystèmes estuariens: Approchecouplée Biogéochimie et modélisation par l’évaluation des flux de nutriments (C, N, P). Ph.D. Thesis, Normandie Université, Normandie, France, 2018. [Google Scholar]
- Frontalini, F.; Armynot du Châtelet, E.; Debenay, J.P.; Coccioni, R.; Bancalà, G. Benthic foraminifera in coastal lagoons: Distributional patterns and biomonitoring implications. In Lagoons: Biology, Management and Environmental Impact; Friedman, G., Ed.; Nova Science Publishers: New York, NY, USA, 2011; pp. 39–72. [Google Scholar]
- Schwartz, D.; Lazar, P. Elément de Statistique à L’usage des Étudiants en Propédeutique Médicale; Editions Flammarion: Paris, France, 1964; 142p. [Google Scholar]
- Bédard, P. Clef D’identification Visuelle des Roches. 2012–2016. Available online: http://pierrebedard.ca/ (accessed on 14 February 2022).
- Boulvain, F. Pétrologie Sédimentaire: Des Roches aux Processus; Technosup; Ellipses: Paris, France, 2010; 259p. [Google Scholar]
- Boulvain, F. Eléments de Sédimentologie et de Pétrologie Sédimentaire; Université de Liège, Faculté des Sciences, Département de Géologie: Liège, Belgium, 2021. [Google Scholar]
- Legendre, L.; Legendre, P. La Structure des Données Écologiques. Ecologie numérique, Tome 2; Masson: Paris, France, 1984; 335p. [Google Scholar]
- Sharma, K.N.M. Légende Générale de la Carte Géologique; Direction générale de la géologie, Ministère des Ressources naturelles: Québec, QC, Canada, 1996; 89p. [Google Scholar]
- Odountan, O.H.; Janssens de Bisthoven, L.; Koudenoukpo, C.Z.; Abou, Y. Spatio-temporal variation of environmental variables and aquatic macroinvertebrate assemblages in Lake Nokoué, a RAMSAR site of Benin. Afr. J. Aquat. Sci. 2019, 44, 219–231. [Google Scholar] [CrossRef]
- Sintondji, S.W.; Gozingan, A.S.; Sohou, Z.; Taymans, M.; Baetens, K.; Lacroix, G.; Fiogbé, E.D. Prediction of the distribution of shrimp species found in southern Benin through the lake Nokoué-Ocean complex. J. Aquac. Mar. Biol. Ecol. 2022, 116. [Google Scholar] [CrossRef]
- Willführ-Nast, J.; Rosenthal, H.; Udo, P.J.; Nast, F. Laboratory cultivation and experimental studies of salinity effects on larval development in the African river prawn Macrobrachium vollenhovenii (Decapoda, Palaemonidae). Aquat Living Resour. 1993, 6, 115–137. [Google Scholar] [CrossRef][Green Version]
- Sintondji, S.W.; Adjahouinou, C.D.; Djihinto, G.A.; Fiogbe, E.D. Embryology of African giant freshwater shrimp Macrobrachium vollenhovenii. Biologia 2020, 75, 93–101. [Google Scholar] [CrossRef]
- Zweig, R.D.; Morton, J.D.; Moral, M.S. Source Water Quality for Aquaculture: A Guide for Assessment; Environmentally and Socially Sustainable Development; The World Bank: Washington, DC, USA, 1999; 76p. [Google Scholar]
- Claver, K.D.; Mamadou, B.; Mexmin, K.K.; Gervais, K.N.Z.; Gouli, G.B.; Tidiani, K. Peuplement de la faune de crevettes de la Forêt des Marais Tanoé-Ehy (Sud-Est de la Côte d’Ivoire). J. Appl. Biosci. 2017, 112, 11100–11110. [Google Scholar] [CrossRef][Green Version]
- Koudenoukpo, Z.C.; Chikou, A.; Adandedjan, D.; Hazoume, R.; Youssao, I.; Mensah, G.A.; Laleye, A.P. Caractérisation physico-chimique d’un système lotique en région tropicale: La rivière Sô au Sud-Bénin, Afrique de l’Ouest. J. Appl. Biosci. 2017, 113, 11111–11122. [Google Scholar] [CrossRef][Green Version]
- Gaillard., M.; Gaillard, M.; Lang, J.; Lucas, J. Étude sédimentologique des milieux de mangrove du Bénin occidental (Afrique de l’Ouest). In Proceedings of the Actes Symposium International sur les Lagunes Côtières, SCQR/IABQ/UNESCQ, Bordeaux, France, 8–14 September 1981; pp. 129–137. [Google Scholar]






| Ecosystems | Stations | Position | Depth | Coordinates | |
|---|---|---|---|---|---|
| Latitude | Longitude | ||||
| Inlet | S1 | South | 1.95 m | 06°21′55.86″ N | 02°26′23.47″ E |
| Coastal lagoon | S2 | Center | 2.10 m | 06°26′22.87″ N | 02°26′46.87″ E |
| Coastal lagoon | S3 | West | 1.00 m | 06°26′43.26″ N | 02°22′43.78″ E |
| Coastal lagoon | S4 | North (Sô river entrance) | 0.86 m | 06°29′15.57″ N | 02°25′26.29″ E |
| Coastal lagoon | S5 | East (Ouémé river entrance) | 0.90 m | 06°26′13.04″ N | 02°32′22.59″ E |
| Sal | pH | O2 | T | Transp | TDS | Depth | |
|---|---|---|---|---|---|---|---|
| S1 | 22.95 ± 13.94 | 7.32 ± 0.63 | 5.92 ± 0.46 | 28.62 ± 1.00 | 1.19 ± 0.65 | 22,685.48 ± 13,612.20 | 2.08 ± 0.25 |
| S2 | 10.95 ± 10.15 | 7.05 ± 0.51 | 5.92 ± 0.46 | 29.33 ± 0.82 | 1.19 ± 0.58 | 11,479.16 ± 10,246.24 | 2.21 ± 0.29 |
| S3 | 10.90 ± 9.09 | 6.62 ± 0.37 | 5.56 ± 1.20 | 28.61 ± 0.81 | 0.7 ± 0.22 | 11,398.08 ± 9299.13 | 1.06 ± 0.26 |
| S4 | 10.9 ± 9.09 | 6.63 ± 0.48 | 4.33 ± 1.33 | 30.52 ± 1.55 | 0.57 ± 0.21 | 8343.77 ± 8744.74 | 0.80 ± 0.24 |
| S5 | 5.18 ± 6.48 | 6.61 ± 0.41 | 5.34 ± 0.89 | 29.94 ± 1.38 | 0.51 ± 0.27 | 5294.22 ± 6825.21 | 1.09 ± 0.41 |
| Sal | pH | O2 | T | Transp | TDS | Depth | |
|---|---|---|---|---|---|---|---|
| Sal | -- | 0.79 * | 0.30 | −0.10 | 0.80 ** | 1.00 *** | −0.02 |
| pH | -- | 0.44 | −0.09 | 0.73 * | 0.78 * | 0.02 | |
| O2 | -- | −0.42 | 0.18 | 0.32 | 0.33 | ||
| T | -- | 0.15 | −0.11 | −0.31 | |||
| Trans | -- | 0.80 ** | 0.11 | ||||
| TDS | -- | −0.02 | |||||
| Depth | -- |
| Code | Clay (%) | Detritus (%) | Sand (%) | Gravel (%) |
|---|---|---|---|---|
| S1 | 1.23 | 0.01 | 97.70 | 0.82 |
| S2 | 46.03 | 2.17 | 50.52 | 0.99 |
| S3 | 92.51 | 0.24 | 5.72 | 1.71 |
| S4 | 74.74 | 3.48 | 21.15 | 0.52 |
| S5 | 88.51 | 2.67 | 8.11 | 0.97 |
Publisher’s Note: MDPI stays neutral with regard to jurisdictional claims in published maps and institutional affiliations. |
© 2022 by the authors. Licensee MDPI, Basel, Switzerland. This article is an open access article distributed under the terms and conditions of the Creative Commons Attribution (CC BY) license (https://creativecommons.org/licenses/by/4.0/).
Share and Cite
Sintondji, S.W.; Sohou, Z.; Baetens, K.; Lacroix, G.; Fiogbé, E.D. Characterization of a West African Coastal Lagoon System: Case of Lake Nokoué with Its Inlet (Cotonou, South Benin). Ecologies 2022, 3, 467-479. https://doi.org/10.3390/ecologies3040033
Sintondji SW, Sohou Z, Baetens K, Lacroix G, Fiogbé ED. Characterization of a West African Coastal Lagoon System: Case of Lake Nokoué with Its Inlet (Cotonou, South Benin). Ecologies. 2022; 3(4):467-479. https://doi.org/10.3390/ecologies3040033
Chicago/Turabian StyleSintondji, Sèlomè Wilfried, Zacharie Sohou, Katrijn Baetens, Geneviève Lacroix, and Emile Didier Fiogbé. 2022. "Characterization of a West African Coastal Lagoon System: Case of Lake Nokoué with Its Inlet (Cotonou, South Benin)" Ecologies 3, no. 4: 467-479. https://doi.org/10.3390/ecologies3040033
APA StyleSintondji, S. W., Sohou, Z., Baetens, K., Lacroix, G., & Fiogbé, E. D. (2022). Characterization of a West African Coastal Lagoon System: Case of Lake Nokoué with Its Inlet (Cotonou, South Benin). Ecologies, 3(4), 467-479. https://doi.org/10.3390/ecologies3040033

