Fatigue Assessment of Rib–Deck Welded Joints in Orthotropic Steel Bridge Decks Under Traffic Loading
Abstract
1. Introduction
2. Equivalent Structural Stress Method in a Nodal Force-Based Framework
2.1. Background
2.2. Nodal Force-Based Framework
2.3. Crack Plane Orientation
2.4. Equivalent Stress Range
3. Validation of Equivalent Structural Stress Method for RD Welded Joints
3.1. Experimental Data
3.2. Analysis of Fatigue Tests
3.2.1. Fatigue Life Calculated by Standard Methods
3.2.2. Fatigue Life Estimation by the ESS Method
3.2.3. Fatigue Life Estimation by the Volvo Method
- Only the stress component perpendicular to the weld line is considered in the fatigue life analysis of welded joints.
- The Volvo method introduces two reference S-N curves provided in Equation (13). The selection of the S-N curves is based on the value taken by the bending stress ratio given in Equation (10). If , the structural stress is considered to be governed by bending moments, while if , normal forces are assumed to dominate.
- A mean stress correction factor [18] is incorporated. The S-N curves expressed in Equation (13) were derived from fatigue tests conducted at a constant stress ratio (), where . The equivalent stress, , after mean stress correction is given in Equation (14), where refers to the mean stress associated with the considered loading cycle.Fermer recommends using 0.25 for and 0.097 for .
- BS 7608 [19] introduces a reduction coefficient for the fatigue strength of welded joints between plates whose thickness exceeds a reference thickness taken as 16 mm. The corrected strength S can then be calculated from the reference fatigue strength by Equation (15). But Gurney [26] proved experimentally that the correction factor could be applied to lower plate thicknesses down to 2 mm.
3.3. Comparison and Discussion
- The fatigue lives predicted by the nominal stress approach are evenly scattered around the perfect prediction line for the FHWA series. Only nonconservative fatigue life predictions were obtained for the CRIF series.
- The hot spot and effective notch stress methods provide only conservative fatigue assessments for the FHWA series. However, for the CRIF series, the hot spot method fails to account for stress concentration effects due to low weld penetration, resulting in nonconservative fatigue estimates.
- The effective notch stress (ENS) method yields mostly conservative fatigue life predictions. The ENS method introduces fictitious notches at the weld toes and weld root and, for this reason, detects the high stress concentration taking place at weld roots of the CRIF series.
- The ESS method, assuming purely linear behaviour, yields only conservative fatigue life predictions. The determination of the ESS ranges is related to the stress gradients expected along the considered potential crack plane. As a result, the ESS method captures the detrimental effect of insufficient weld penetration that characterizes the CRIF series.
- Finally, the Volvo method is found to provide, for both test series, improved fatigue life predictions in comparison to the ESS method when incorporating the thickness and mean stress corrections. The difference between the Volvo and the ESS method can be explained by the selection of S-N curves. The ESS method introduces a design Master S-N curve corresponding to a probability of failure of 5%, while the two S-N curves used in the Volvo method are derived as mean S-N curves from the fatigue tests selected for its validation.
4. Selection of Multiaxial Fatigue Life Assessment Methods for RD Joints
4.1. Methods Recommended in Design Standards
4.2. Critical Plane-Based Approaches
4.3. Path-Dependent Maximum Range Cycle Counting Method
- The stress history is converted into the plane, where σ and τ represent the linearized structural stress components discussed in Section 2. A value of 3 for the fatigue strength equivalency factor β was recommended by Dong from his previous work as it provided the best fit for the fatigue test data used for validation.
- The maximum possible stress range of the segmented time history is identified. As expressed in Equation (18), an effective stress range ∆Se is calculated as the cumulated lengths of the stress path connecting extremities P and Q of the maximum range. Then, the algorithm sequentially considers the successive positions of the mapped stress history; the subsequent intermediate position R is retained only if the distance PR from the initial stress point P increases. If the distance PR decreases, the algorithm reverts to the previous position of R and introduces a new virtual position R* defined as the intersection between an arc of radius PR centred in P and the remaining stress path segments considered in chronological order. The stress path is complete when the current position R reaches Q.
- The process described above is repeated on the remaining mapped stress history until all segments have been counted. It is important to note that each calculated effective stress range corresponds to half a cycle as it is not fully reversed.
4.4. Volvo Method
5. Case Study: RD Welded Joints in the OSBD of a Suspension Bridge
5.1. Considered Bridge
- The fatigue load model (FLM) consists of five different types of lorries with the same number of axles and distance between axles but is characterized by different load intensities as illustrated in Figure 12.
- The HB185 standard ignores the transverse frequency distribution of vehicles and recommends considering that all traffic damage accumulates at the most detrimental lateral position contained within 0.3 m of either side of the bridge centreline.

5.2. Fatigue Assessments by Methods Given in Standards
5.2.1. Nominal Stress Approach
5.2.2. Hot Spot Stress Approach
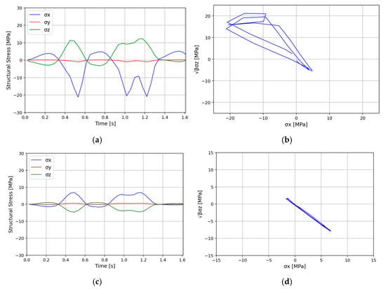
5.3. Fatigue Assessment by Critical Plane-Based Approach
- The peaks and valleys of the series of magnitude are extracted for each vehicle passage, forming a new series of scalar values .
- The values taken by the shear stress vector concomitantly with the peaks and valleys of the normal stress vector are stored in a new scalar series . A reduction procedure is applied to the shear stress series to ensure that the shear stress amplitude between two extremes of the series is preserved.
- The series is then rainflow counted. For each identified cycle, the maximum value of and the maximum amplitude of are identified.
- For the j-th of the Nreversals of the series, an equivalent stress range is defined in Equation (26).
5.4. Fatigue Assessment by Volvo Method
5.5. Fatigue Assessment by PDMR Method
5.6. Comparison of Results and Discussion
6. Conclusions
- The nominal stress-based approach recommended by the Eurocode for the assessment of RD welded joints provides a satisfactory fatigue life prediction under uniaxial loading conditions. However, when dealing with RD welded joints as integrated bridge components, the method yields significantly less conservative predictions than the alternative methods. The method fails to capture the detrimental effect of the complex non-proportional multiaxial loading experienced by RD welded joints under traffic loading.
- Moderate damage levels are anticipated by the critical plane and hot spot stress methods for the potential crack mechanisms Types I and III.
- The Volvo method accurately predicts the fatigue life of RD welded joints under uniaxial loading when the mean stress and plate thickness correction factors are included. However, as the method has not yet been developed to predict fatigue damage induced by complex multiaxial loading, only small levels of damage are predicted at the RD welded joints under traffic loading.
- The path-dependent maximum range (PDMR) cycle counting method predicts larger accumulated fatigue damage. Because of the well-documented stress path dependency of non-proportional fatigue, the authors believe that the PDMR method provides a valuable quantification of the fatigue damage induced by random traffic loading on RD welded joints. However, the method generally gives conservative fatigue life prediction in the high-cycle regime.
Author Contributions
Funding
Data Availability Statement
Acknowledgments
Conflicts of Interest
References
- De Jong, F.B.P. Overview fatigue phenomenon in orthotropic bridge decks in the Netherlands. In Proceedings of the 1st International Orthotropic Bridge Conference, Sacramento, CA, USA, 25–27 August 2004. [Google Scholar]
- Mehue, P. Cracks in steel orthotropic decks. In Bridge Management; Springer: Boston, MA, USA, 1990; pp. 633–642. [Google Scholar]
- Zhang, Q.H.; Bu, Y.Z.; Li, Q. Review on Fatigue Problems of Orthotropic Steel Bridge Deck. China J. Highw. Transp. 2017, 30, 14–30. [Google Scholar]
- Chatterjee, S.; Parkman. Strengthening and refurbishment of Severn Crossing. Part 1: Introduction. Proc. Inst. Civ. Eng. Struct. Build. 1992, 94, 1–5. [Google Scholar] [CrossRef]
- Kolstein, M.H. Fatigue Classification of Welded Joints in Orthotropic Steel Bridge Decks; Delft University of Technology: Delft, The Netherlands, 2007. [Google Scholar]
- Cheng, B.; Ye, X.H.; Cao, X.; Mbako, D.D.; Cao, Y. Experimental study on fatigue failure of rib-to-deck welded connections in orthotropic steel bridge decks. Int. J. Fatigue 2017, 103, 157–167. [Google Scholar] [CrossRef]
- Ya, S.; Yamada, K.; Ishikawa, T. Fatigue evaluation of rib-to-deck welded joints of orthotropic steel bridge deck. J. Bridge Eng. 2011, 16, 492–499. [Google Scholar] [CrossRef]
- Sim, H.B.; Uang, C.M. Stress analyses and parametric study on full-scale fatigue tests of rib-to-deck welded joints in steel orthotropic decks. J. Bridge Eng. 2012, 17, 765–773. [Google Scholar] [CrossRef]
- Kainuma, S.; Yang, M.; Jeong, Y.S.; Inokuchi, S.; Kawabata, A.; Uchida, D. Experiment on fatigue behavior of rib-to-deck weld root in orthotropic steel decks. J. Constr. Steel Res. 2016, 119, 113–122. [Google Scholar] [CrossRef]
- AASHTOLRFD Bridge Design Specifications. 9th Edition. Available online: https://aashtojournal.transportation.org/aashto-issues-updated-lrfd-bridge-design-guide/ (accessed on 14 January 2025).
- EN 1993-1-9; Eurocode 3: Design of Steel Structures—Part 1–9: Fatigue. European Committee for Standardization: Brussels, Belgium, 2005.
- EN 1993-2:2006; Eurocode 3: Design of Steel Structures—Part 2: Steel Bridges. European Committee for Standardization: Brussels, Belgium, 2005.
- Radaj, D.; Sonsino, C.M.; Fricke, W. Fatigue Assessment of Welded Joints by Local Approaches; Woodhead Publishing: Cambridge, UK, 2006. [Google Scholar]
- Hobbacher, A. Recommendations for Fatigue Design of Welded Joints and Components; Springer International Publishing: Cham, Switzerland, 2016; Volume 47. [Google Scholar]
- Fricke, W. IIW Recommendations for the Fatigue Assessment of Welded Structures by Notch Stress Analysis: IIW-2006-09; Woodhead Publishing: Cambridge, UK, 2012. [Google Scholar]
- Dong, P. A structural stress definition and numerical implementation for fatigue analysis of welded joints. Int. J. Fatigue 2001, 23, 865–876. [Google Scholar] [CrossRef]
- ASME Boiler and Pressure Vessel Code, an International Code. Sec VIII, Div. 2 (ASME BPVC-VIII-2 e2007); The ASME Publishers: New York, NY, USA, 2007.
- Fermér, M.; Andréasson, M.; Frodin, B. Fatigue Life Prediction of MAG-Welded Thin-Sheet Structures. SAE Trans. 1998, 107, 1280–1286. [Google Scholar]
- BS 7608; Code of Practice for Fatigue Design and Assessment of Steel Structures. British Standard Institution: London, UK, 1993.
- Dong, P. A robust structural stress method for fatigue analysis of offshore/marine structures. J. Offshore Mech. Arct. Eng. 2005, 127, 68–74. [Google Scholar] [CrossRef]
- Dong, P.; Jeong, K.H.; De Jesus, A.M. Analysis of recent fatigue data using the structural stress procedure in ASME Div 2 rewrite. J. Press. Vessel. Technol. 2007, 129, 355–362. [Google Scholar] [CrossRef]
- Dong, P.; Hong, J.; Dean, S. A robust structural stress parameter for evaluation of multiaxial fatigue of weldments. J. ASTM Int. 2006, 3, 1–17. [Google Scholar] [CrossRef]
- Nie, C.; Pingsha, D. A traction stress based shear strength definition for fillet welds. J. Strain Anal. Eng. Des. 2012, 47, 562–575. [Google Scholar] [CrossRef]
- Ocel, J.M.; Cross, B.; Wright, W.J.; Yuan, H. Optimization of Rib-to-Deck Welds for Steel Orthotropic Bridge Decks; No. FHWA-HRT-17-020; Federal Highway Administration: Washington, DC, USA, 2017. [Google Scholar]
- Janss, J. Fatigue of welds in orthotropic bridge deck panels with trapezoidal stiffeners. J. Constr. Steel Res. 1988, 9, 147–154. [Google Scholar] [CrossRef]
- Gurney, T.R. Fatigue of Thin Walled Joints Under Complex Loading; Woodhead Publishing: Cambridge, UK, 1997. [Google Scholar]
- Maddox, S.J.; Razmjoo, G.R. Interim fatigue design recommendations for fillet welded joints under complex loading. Fatigue Fract. Eng. Mater. Struct. 2001, 24, 329–337. [Google Scholar] [CrossRef]
- Bäckström, M.; Marquis, G. A review of multiaxial fatigue of weldments: Experimental results, design code and critical plane approaches. Fatigue Fract. Eng. Mater. Struct. 2001, 24, 279–291. [Google Scholar] [CrossRef]
- Sonsino, C.M. Multiaxial fatigue life response depending on proportionality grade between normal and shear strains/stresses and material ductility. Int. J. Fatigue 2020, 135, 105468. [Google Scholar] [CrossRef]
- Fatemi, A.; Shamsaei, N. Multiaxial fatigue: An overview and some approximation models for life estimation. Int. J. Fatigue 2011, 33, 948–958. [Google Scholar] [CrossRef]
- DNVGL-RP-C203; Fatigue Design of Offshore Steel Structures. Det Norske Veritas: Olso, Norway, 2019.
- Fatemi, A.; Socie, D.F. A critical plane approach to multiaxial fatigue damage including out-of-phase loading. Fatigue Fract. Eng. Mater. Struct. 1988, 11, 149–165. [Google Scholar] [CrossRef]
- Smith, K.N.; Watson, P.; Topper, T.H. A stress-strain parameter for the fatigue of metals. J. Mater. 1970, 5, 767–778. [Google Scholar]
- Wang, C.H.; Brown, M.W. Life prediction techniques for variable amplitude multiaxial fatigue—Part 1: Theories. J. Eng. Mater. Technol. 1996, 118, 367–370. [Google Scholar] [CrossRef]
- Radhakrishnan, V.M. On bilinearity of Manson-Coffin low-cycle-fatigue relationship. NASA Tech. Memo. 1992, 105840, 11.c. [Google Scholar] [CrossRef]
- Gough, H.J.; Pollard, H.V. The strength of metals under combined alternating stresses. Proc. Inst. Mech. Eng. 1935, 131, 3–103. [Google Scholar] [CrossRef]
- Findley, W.N. A theory for the effect of mean stress on fatigue of metals under combined torsion and axial load or bending. J. Eng. Ind. 1959, 81, 301–305. [Google Scholar] [CrossRef]
- Susmel, L.; Lazzarin, P. A bi-parametric Wöhler curve for high cycle multiaxial fatigue assessment. Fatigue Fract. Eng. Mater. Struct. 2002, 25, 63–78. [Google Scholar] [CrossRef]
- Bibbo, N.D.; Baumgartner, J.; Arora, V. Comparative study of critical plane fatigue criteria on multiaxial variable amplitude loaded welded test specimens. Int. J. Fatigue 2022, 158, 106670. [Google Scholar] [CrossRef]
- Carpinteri, A.; Spagnoli, A.; Vantadori, S. Multiaxial fatigue life estimation in welded joints using the critical plane approach. Int. J. Fatigue 2009, 31, 188–196. [Google Scholar] [CrossRef]
- Vantadori, S.; Iturrioz, T.; Carpinteri, A.; Greco, F.; Ronchei, C. A novel procedure for damage evaluation of fillet-welded joints. Int. J. Fatigue 2020, 136, 105599. [Google Scholar] [CrossRef]
- Mei, J.; Dong, P. An equivalent stress parameter for multi-axial fatigue evaluation of welded components including non-proportional loading effects. Int. J. Fatigue 2017, 101, 297–311. [Google Scholar] [CrossRef]
- Dong, P.; Wei, Z.; Hong, J.K. A path-dependent cycle counting method for variable-amplitude multi-axial loading. Int. J. Fatigue 2010, 32, 720–734. [Google Scholar] [CrossRef]
- Wei, Z.; Dong, P. Multiaxial fatigue life assessment of welded structures. Eng. Fract. Mech. 2010, 77, 3011–3021. [Google Scholar] [CrossRef]
- Wei, Z.; Hamilton, J.; Yang, F.; Luo, L.; Lin, S.; Kang, H.; Dong, P. Comparison of Verity and Volvo Methods for Fatigue Life Assessment of Welded Structures. SAE Tech. Pap. 2013, 2013-01-2357. [Google Scholar] [CrossRef]
- Håndbok 185 Bruprosjektering, Versjon Oktober 2009. Statens Vegvesen Vegdirektoratet. Available online: https://vegvesen.brage.unit.no/vegvesen-xmlui/handle/11250/196364 (accessed on 14 January 2025).















| Statistical Basis | C | h |
|---|---|---|
| Mean curve | 19,930.2 | 0.31950 |
| Upper 68% prediction interval (mean + 1 standard deviation) | 23,885.8 | |
| Lower 68% prediction interval (mean − 1 standard deviation) | 16,629.7 | |
| Upper 95% prediction interval (mean + 2 standard deviation) | 28,626.5 | |
| Lower 95% prediction interval (mean − 2 standard deviation) | 13,875.7 |
| Axial Stiffness [MN/m] | Transverse Stiffness [MN/m] | Vertical Stiffness [MN/m] | Torsional Stiffness [MN.m/rad] | Bending Stiffness–Vertical Axis [MN.m/rad] | Bending Stiffness–Horizontal Axis [MN.m/rad] |
|---|---|---|---|---|---|
| 95.4 | 3.69 | 1.47 | 447 | 28,400 | 7705 |
Disclaimer/Publisher’s Note: The statements, opinions and data contained in all publications are solely those of the individual author(s) and contributor(s) and not of MDPI and/or the editor(s). MDPI and/or the editor(s) disclaim responsibility for any injury to people or property resulting from any ideas, methods, instructions or products referred to in the content. |
© 2025 by the authors. Licensee MDPI, Basel, Switzerland. This article is an open access article distributed under the terms and conditions of the Creative Commons Attribution (CC BY) license (https://creativecommons.org/licenses/by/4.0/).
Share and Cite
Villoria, B.; Siriwardane, S.C.; Jakobsen, J.B. Fatigue Assessment of Rib–Deck Welded Joints in Orthotropic Steel Bridge Decks Under Traffic Loading. CivilEng 2025, 6, 7. https://doi.org/10.3390/civileng6010007
Villoria B, Siriwardane SC, Jakobsen JB. Fatigue Assessment of Rib–Deck Welded Joints in Orthotropic Steel Bridge Decks Under Traffic Loading. CivilEng. 2025; 6(1):7. https://doi.org/10.3390/civileng6010007
Chicago/Turabian StyleVilloria, Bruno, Sudath C. Siriwardane, and Jasna Bogunovic Jakobsen. 2025. "Fatigue Assessment of Rib–Deck Welded Joints in Orthotropic Steel Bridge Decks Under Traffic Loading" CivilEng 6, no. 1: 7. https://doi.org/10.3390/civileng6010007
APA StyleVilloria, B., Siriwardane, S. C., & Jakobsen, J. B. (2025). Fatigue Assessment of Rib–Deck Welded Joints in Orthotropic Steel Bridge Decks Under Traffic Loading. CivilEng, 6(1), 7. https://doi.org/10.3390/civileng6010007

