An Investigation of CTP Use for Wireless Structural Health Monitoring of Infrastructure
Abstract
1. Introduction
2. Attempting to Make CTP Cooperative for the Infrastructure Shm
2.1. Etx as a Function of the Signal-to-Interference-and-Noise-Ratio (Sinr)
2.2. CTP
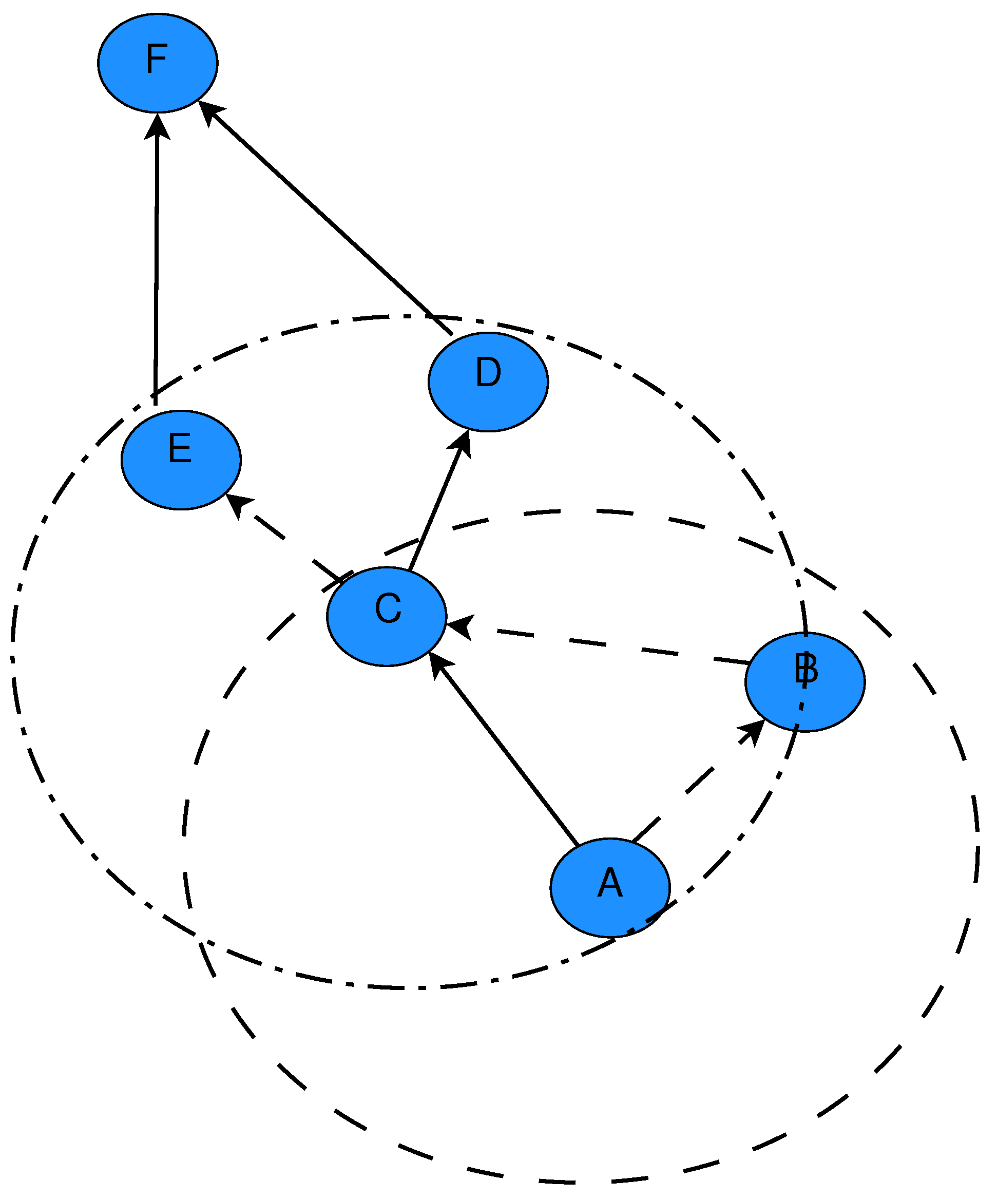
2.3. Cooperation Example in the SHM Application
3. Validation with Tests for SHM Use
4. Conclusions
Author Contributions
Funding
Data Availability Statement
Conflicts of Interest
References
- Brownjohn, J.M. Structural health monitoring of civil infrastructure. Philos. Trans. R. Soc. A Math. Phys. Eng. Sci. 2007, 365, 589–622. [Google Scholar] [CrossRef] [PubMed]
- Tsenis, T.; Spyrou, E.D.; Kappatos, V. An initial acousto-ultrasonic experimental investigation of defects in composite specimens used in the transportation domain. Vibroeng. Proc. 2020, 34, 66–71. [Google Scholar] [CrossRef]
- Spyrou, E.D.; Tsenis, T.; Kappatos, V. Acousto-ultrasonic analysis of defects in composite specimens used in transportation domain. J. Meas. Eng. 2021, 9, 117–127. [Google Scholar] [CrossRef]
- Ono, K. Acoustic emission. In Springer Handbook of Acoustics; Springer: Berlin/Heidelberg, Germany, 2014; pp. 1209–1229. [Google Scholar]
- Moustakidis, S.; Kappatos, V.; Karlsson, P.; Selcuk, C.; Gan, T.H.; Hrissagis, K. An intelligent methodology for railways monitoring using ultrasonic guided waves. J. Nondestruct. Eval. 2014, 33, 694–710. [Google Scholar] [CrossRef]
- Chacon, J.L.F.; Kappatos, V.; Balachandran, W.; Gan, T.H. A novel approach for incipient defect detection in rolling bearings using acoustic emission technique. Appl. Acoust. 2015, 89, 88–100. [Google Scholar] [CrossRef]
- Karvelis, P.; Georgoulas, G.; Kappatos, V.; Stylios, C. Deep machine learning for structural health monitoring on ship hulls using acoustic emission method. Ships Offshore Struct. 2021, 16, 440–448. [Google Scholar] [CrossRef]
- Navabian, N.; Beskhyroun, S.; Matulich, J. Development of wireless smart sensor network for vibration-based structural health monitoring of civil structures. Struct. Infrastruct. Eng. 2022, 18, 345–361. [Google Scholar] [CrossRef]
- Ponzo, F.C.; Iacovino, C.; Ditommaso, R.; Bonano, M.; Lanari, R.; Soldovieri, F.; Cuomo, V.; Bozzano, F.; Ciampi, P.; Rompato, M. Transport Infrastructure SHM Using Integrated SAR Data and On-Site Vibrational Acquisitions:“Ponte Della Musica–Armando Trovajoli” Case Study. Appl. Sci. 2021, 11, 6504. [Google Scholar] [CrossRef]
- Wu, T.; Liu, G.; Fu, S.; Xing, F. Recent progress of fiber-optic sensors for the structural health monitoring of civil infrastructure. Sensors 2020, 20, 4517. [Google Scholar] [CrossRef]
- Sivasuriyan, A.; Vijayan, D.S.; Górski, W.; Wodzyński, Ł.; Vaverková, M.D.; Koda, E. Practical implementation of structural health monitoring in multi-story buildings. Buildings 2021, 11, 263. [Google Scholar] [CrossRef]
- Farahani, B.V.; Barros, F.; Sousa, P.J.; Tavares, P.J.; Moreira, P.M. A railway tunnel structural monitoring methodology proposal for predictive maintenance. Struct. Control. Health Monit. 2020, 27, e2587. [Google Scholar] [CrossRef]
- Chae, M.; Yoo, H.; Kim, J.; Cho, M.Y. Development of a wireless sensor network system for suspension bridge health monitoring. Autom. Constr. 2012, 21, 237–252. [Google Scholar] [CrossRef]
- Zou, Z.; Bao, Y.; Li, H.; Spencer, B.F.; Ou, J. Embedding compressive sensing-based data loss recovery algorithm into wireless smart sensors for structural health monitoring. IEEE Sens. J. 2014, 15, 797–808. [Google Scholar]
- Gnawali, O.; Fonseca, R.; Jamieson, K.; Moss, D.; Levis, P. Collection tree protocol. In Proceedings of the 7th ACM Conference on Embedded Networked Sensor Systems, New York, NY, USA, 4–6 November 2009; pp. 1–14. [Google Scholar]
- Zrelli, A.; Ezzedine, T. Collect tree protocol for SHM system using wireless sensor networks. In Proceedings of the 2017 13th International Wireless Communications and Mobile Computing Conference (IWCMC), Valencia, Spain, 26–30 June 2017; pp. 1797–1801. [Google Scholar]
- Strangfeld, C.; Johann, S.; Bartholmai, M. Smart RFID sensors embedded in building structures for early damage detection and long-term monitoring. Sensors 2019, 19, 5514. [Google Scholar] [CrossRef] [PubMed]
- Ji, X.; Hu, H.; Yang, Z.; Huang, X.; Tan, L. Design of an Intelligent Bridge Structure Health Monitoring System. In IOP Conference Series: Earth and Environmental Science; IOP Publishing: Bristol, UK, 2019; Volume 300, p. 022012. [Google Scholar]
- Xiong, X.Y.; Wei, F.; Li, J.W.; Han, M.; Guan, D.H. Vibration monitoring system of ships using wireless sensor networks. In Proceedings of the 2014 IEEE International Conference on Mechatronics and Automation, Tianjin, China, 3–6 August 2014; pp. 90–94. [Google Scholar]
- Higuera, J.; Kartsakli, E.; Valenzuela, J.L.; Alonso, L.; Laya, A.; Martínez, R.; Aguilar, A. Experimental study of Bluetooth, ZigBee and IEEE 802.15. 4 technologies on board high-speed trains. In Proceedings of the 2012 IEEE 75th Vehicular Technology Conference (VTC Spring), Yokohama, Japan, 6–9 May 2012; pp. 1–5. [Google Scholar]
- Harms, T.; Sedigh, S.; Bastianini, F. Structural health monitoring of bridges using wireless sensor networks. IEEE Instrum. Meas. Mag. 2010, 13, 14–18. [Google Scholar] [CrossRef]
- Hu, X.; Wang, B.; Ji, H. A wireless sensor network-based structural health monitoring system for highway bridges. Comput. -Aided Civ. Infrastruct. Eng. 2013, 28, 193–209. [Google Scholar] [CrossRef]
- Dunkels, A.; Gronvall, B.; Voigt, T. Contiki-a lightweight and flexible operating system for tiny networked sensors. In Proceedings of the 29th Annual IEEE International Conference on Local Computer Networks, Tampa, FL, USA, 16–18 November 2004; pp. 455–462. [Google Scholar]
- Noel, A.B.; Abdaoui, A.; Elfouly, T.; Ahmed, M.H.; Badawy, A.; Shehata, M.S. Structural health monitoring using wireless sensor networks: A comprehensive survey. IEEE Commun. Surv. Tutor. 2017, 19, 1403–1423. [Google Scholar] [CrossRef]
- Cardarilli, G.C.; Nunzio, L.D.; Massimi, F.; Fazzolari, R.; Petris, C.D.; Augugliaro, G.; Mennuti, C. A wireless sensor node for acoustic emission non-destructive testing. In International Conference on Applications in Electronics Pervading Industry, Environment and Society; Springer: Berlin/Heidelberg, Germany, 2017; pp. 1–7. [Google Scholar]
- Bouzid, O.M.; Tian, G.Y.; Cumanan, K.; Moore, D. Structural health monitoring of wind turbine blades: Acoustic source localization using wireless sensor networks. J. Sen. 2015, 2015, 139695. [Google Scholar] [CrossRef]
- Tokognon, C.A.; Gao, B.; Tian, G.Y.; Yan, Y. Structural health monitoring framework based on Internet of Things: A survey. IEEE Internet Things J. 2017, 4, 619–635. [Google Scholar] [CrossRef]
- Mishra, M.; Lourenço, P.B.; Ramana, G.V. Structural health monitoring of civil engineering structures by using the internet of things: A review. J. Build. Eng. 2022, 48, 103954. [Google Scholar] [CrossRef]
- Śliwa, R.E.; Dymora, P.; Mazurek, M.; Kowal, B.; Jurek, M.; Kordos, D.; Rogalski, T.; Flaszynski, P.; Doerffer, P.; Doerffer, K.; et al. The latest advances in wireless communication in aviation, wind turbines and bridges. Inventions 2022, 7, 18. [Google Scholar] [CrossRef]
- Jiang, X.d.; Tang, Y.l.; Lei, Y. Wireless sensor networks in structural health monitoring based on zigbee technology. In Proceedings of the 2009 3rd International Conference on Anti-counterfeiting, Security, and Identification in Communication, Hong Kong, China, 20–22 August 2009; pp. 449–452. [Google Scholar]
- Mahmud, M.A.; Bates, K.; Wood, T.; Abdelgawad, A.; Yelamarthi, K. A complete internet of things (IoT) platform for structural health monitoring (shm). In Proceedings of the 2018 IEEE 4th World Forum on Internet of Things (WF-IoT), Singapore, 5–8 February 2018; pp. 275–279. [Google Scholar]
- Alonso, L.; Barbarán, J.; Chen, J.; Díaz, M.; Llopis, L.; Rubio, B. Middleware and communication technologies for structural health monitoring of critical infrastructures: A survey. Comput. Stand. Interfaces 2018, 56, 83–100. [Google Scholar] [CrossRef]
- Buckley, T.; Ghosh, B.; Pakrashi, V. Edge structural health monitoring (E-SHM) using low-power wireless sensing. Sensors 2021, 21, 6760. [Google Scholar] [CrossRef]
- Zhu, L.; Fu, Y.; Chow, R.; Spencer, B.F., Jr.; Park, J.W.; Mechitov, K. Development of a high-sensitivity wireless accelerometer for structural health monitoring. Sensors 2018, 18, 262. [Google Scholar] [CrossRef] [PubMed]
- He, Z.; Li, W.; Salehi, H.; Zhang, H.; Zhou, H.; Jiao, P. Integrated structural health monitoring in bridge engineering. Autom. Constr. 2022, 136, 104168. [Google Scholar] [CrossRef]
- Spyrou, E.D.; Mitrakos, D.K. Etx-based relay selection coalition game for wireless sensor networks. In Proceedings of the 2017 13th International Wireless Communications and Mobile Computing Conference (IWCMC), Valencia, Spain, 26–30 June 2017; pp. 705–710. [Google Scholar]
- Mansourkiaie, F.; Ahmed, M.H. Cooperative routing in wireless networks: A comprehensive survey. IEEE Commun. Surv. Tutor. 2014, 17, 604–626. [Google Scholar] [CrossRef]
- Rani, S.; Malhotra, J.; Talwar, R. Energy efficient chain based cooperative routing protocol for WSN. Appl. Soft Comput. 2015, 35, 386–397. [Google Scholar] [CrossRef]
- Jung, J.W.; Ingram, M.A. On the optimal lifetime of cooperative routing for multi-hop wireless sensor networks. In Proceedings of the 2013 IEEE Wireless Communications and Networking Conference (WCNC), Shanghai, China, 7–10 April 2013; pp. 1315–1320. [Google Scholar]
- Fan, L.; Lei, X.; Yang, N.; Duong, T.Q.; Karagiannidis, G.K. Secrecy cooperative networks with outdated relay selection over correlated fading channels. IEEE Trans. Veh. Technol. 2017, 66, 7599–7603. [Google Scholar] [CrossRef]
- Michalopoulos, D.S.; Karagiannidis, G.K. Performance analysis of single relay selection in Rayleigh fading. IEEE Trans. Wirel. Commun. 2008, 7, 3718–3724. [Google Scholar] [CrossRef]
- Umar, A.; Akbar, M.; Iqbal, Z.; Khan, Z.A.; Qasim, U.; Javaid, N. Cooperative partner nodes selection criteria for cooperative routing in underwater WSNs. In Proceedings of the 2015 5th National Symposium on Information Technology: Towards New Smart World (NSITNSW), Riyadh, Saudi Arabia, 17–19 February 2015; pp. 1–7. [Google Scholar]
- Ahmed, S.; Javaid, N.; Yousaf, S.; Ahmad, A.; Sandhu, M.M.; Imran, M.; Khan, Z.A.; Alrajeh, N. Co-LAEEBA: Cooperative link aware and energy efficient protocol for wireless body area networks. Comput. Hum. Behav. 2015, 51, 1205–1215. [Google Scholar] [CrossRef]
- Maalej, M.; Cherif, S.; Besbes, H. QoS and energy aware cooperative routing protocol for wildfire monitoring wireless sensor networks. Sci. World J. 2013, 2013, 437926. [Google Scholar] [CrossRef]
- Baccour, N.; Koubâa, A.; Jamâa, M.B.; Youssef, H.; Zuniga, M.; Alves, M. A comparative simulation study of link quality estimators in wireless sensor networks. In Proceedings of the 2009 IEEE International Symposium on Modeling, Analysis & Simulation of Computer and Telecommunication Systems, London, UK, 21–23 September 2009; pp. 1–10. [Google Scholar]
- Li, J.; Blake, C.; De Couto, D.S.; Lee, H.I.; Morris, R. Capacity of ad hoc wireless networks. In Proceedings of the 7th Annual International Conference on Mobile Computing and Networking, Rome, Italy, 16–21 July 2001; pp. 61–69. [Google Scholar]
- Rappaport, T.S. Wireless Communications: Principles and Practice; Prentice Hall PTR: Hoboken, NJ, USA, 1996; Volume 2. [Google Scholar]
- Fu, Y.; Sha, M.; Hackmann, G.; Lu, C. Practical control of transmission power for wireless sensor networks. In Proceedings of the 2012 20th IEEE International Conference on Network Protocols (ICNP), Austin, TX, USA, 30 October–2 November 2012; pp. 1–10. [Google Scholar]
- Fonseca, R.; Gnawali, O.; Jamieson, K.; Kim, S.; Levis, P.; Woo, A. The collection tree protocol (CTP). TinyOS TEP 2006, 123. [Google Scholar]
- Shapley, L.S.; Shubik, M. The assignment game I: The core. Int. J. Game Theory 1971, 1, 111–130. [Google Scholar] [CrossRef]
- Cadger, F.; Curran, K.; Santos, J.; Moffett, S. A survey of geographical routing in wireless ad-hoc networks. IEEE Commun. Surv. Tutor. 2012, 15, 621–653. [Google Scholar] [CrossRef]
- Appavoo, P.; William, E.K.; Chan, M.C.; Mohammad, M. Indriya2: A heterogeneous wireless sensor network (wsn) testbed. In Proceedings of the International Conference on Testbeds and Research Infrastructures, Shanghai, China, 16–18 November 2018; Springer: Berlin/Heidelberg, Germany, 2018; pp. 3–19. [Google Scholar]







| Origin | 1st Hop | 2nd Hop | 3rd Hop | 4th Hop | 5th Hop |
|---|---|---|---|---|---|
| 12 | 1 | ||||
| 12 | 7 | 1 | |||
| 12 | 7 | 9 | 1 | ||
| 12 | 7 | 9 | 13 | 1 | |
| 12 | 9 | 1 | |||
| 12 | 9 | 13 | 7 | 1 | |
| 12 | 10 | 1 | |||
| 12 | 10 | 7 | 9 | 13 | 1 |
| 12 | 10 | 7 | 9 | 1 | |
| 12 | 10 | 7 | 13 | 9 | 1 |
| 12 | 10 | 7 | 13 | 1 | |
| 12 | 13 | 1 | |||
| 12 | 13 | 7 | 9 | 1 | |
| 12 | 13 | 9 | 1 |
Publisher’s Note: MDPI stays neutral with regard to jurisdictional claims in published maps and institutional affiliations. |
© 2022 by the authors. Licensee MDPI, Basel, Switzerland. This article is an open access article distributed under the terms and conditions of the Creative Commons Attribution (CC BY) license (https://creativecommons.org/licenses/by/4.0/).
Share and Cite
Spyrou, E.D.; Kappatos, V. An Investigation of CTP Use for Wireless Structural Health Monitoring of Infrastructure. CivilEng 2022, 3, 946-959. https://doi.org/10.3390/civileng3040053
Spyrou ED, Kappatos V. An Investigation of CTP Use for Wireless Structural Health Monitoring of Infrastructure. CivilEng. 2022; 3(4):946-959. https://doi.org/10.3390/civileng3040053
Chicago/Turabian StyleSpyrou, Evangelos D., and Vassilios Kappatos. 2022. "An Investigation of CTP Use for Wireless Structural Health Monitoring of Infrastructure" CivilEng 3, no. 4: 946-959. https://doi.org/10.3390/civileng3040053
APA StyleSpyrou, E. D., & Kappatos, V. (2022). An Investigation of CTP Use for Wireless Structural Health Monitoring of Infrastructure. CivilEng, 3(4), 946-959. https://doi.org/10.3390/civileng3040053
