Next Article in Journal
Groundwater Quality and Potential Health Risk Assessment for Potable Use
Next Article in Special Issue
Data-Driven Strategic Approaches to Road Safety Management: Truth and Lies of Official Statistics
Previous Article in Journal
Low-Income Fish Consumers’ Subsidies to the Fish Reduction Industry: The Case of Forage Fish
Previous Article in Special Issue
Data-Driven Strategies for Optimizing Albania’s Utilization of Renewable Energy Sources from Urban Waste: Current Status and Future Prospects
 
 
Font Type:
Arial Georgia Verdana
Font Size:
Aa Aa Aa
Line Spacing:
Column Width:
Background:
Article

Assessing Police Technical Efficiency and the COVID-19 Technological Change from the Pact for Life Perspective

by
Isloana Karla de França Barros
1,
Thyago Celso Cavalcante Nepomuceno
1,2,3,* and
Fernando Henrique Taques
1,4
1
Programa de Pós-graduação em Engenharia de Produção do Centro Acadêmico do Agreste, Federal University of Pernambuco, Km 59, Caruaru 55014-900, Brazil
2
Department of Statistics, Federal University of Pernambuco, Av. Jorn. Aníbal Fernandes, Recife 50740-560, Brazil
3
Aston Business School, Aston University, 295 Aston Express Way, Birmingham B4 7UP, UK
4
Departamento de Economía Aplicada, Facultad de Ciencia Económicas y Empresariales, Universidad Autónoma de Madrid, 28049 Madrid, Spain
*
Author to whom correspondence should be addressed.
World 2024, 5(3), 789-804; https://doi.org/10.3390/world5030041
Submission received: 16 July 2024 / Revised: 19 September 2024 / Accepted: 19 September 2024 / Published: 23 September 2024
(This article belongs to the Special Issue Data-Driven Strategic Approaches to Public Management)

Abstract

The Pact for Life program was one of Brazil’s most successful initiatives in coping with an elevated incidence of deliberate lethal violent crimes (CVLI) within the jurisdiction of Pernambuco. It delineated the state into 26 Integrated Security Areas (AIS) and applied strategies to combine investigative and ostensive policing. Nevertheless, the pandemic shifted the production possibility of public security in directions that justify empirical investigations, not sufficiently covered in the current literature. This study employs variable returns to scale data envelopment analysis (DEA) and Malmquist productivity index (MPI) models to measure police efficiency and technology changes from 2019 to 2020. The proposed framework can be particularly suitable to capture changes in the production frontier resulting from technological advancements or regressions, which might otherwise be overlooked. Through a quantitative analysis, this research offers a comprehensive assessment of AISs and the operational performance of the Civil Police, emphasizing efficiency metrics and avenues for enhancement within a production-oriented context.

1. Introduction

Public security has become a critical domestic and international issue, driven by a notable increase in crime rates. Policymakers are responsible for addressing this issue, striving to mitigate crime rates effectively. However, the efficacy of existing policies requires strategies to yield substantive results. Public administration needs to devise efficient measures capable of containing and reducing the escalating rates of violent crime and societal insecurity [1]. The State of Pernambuco mirrors this reality, exhibiting a notable incidence of Intentional Violent Lethal Crimes (CVLI), encompassing homicide, robbery, and assault resulting in death [2].
The Pacto pela Vida (A Pact for Life—PPV) initiative established a feasible response to the adverse security landscape in Pernambuco. It became one of the most successful public security programs in Brazil. Created in 2007, the PPV prioritized public security to combat pervasive violence and crime within the state; it focused on goal orientation and results-driven initiatives, emphasizing improving information sources for enhanced diagnostic capabilities, and bolstering the training and performance of professionals in the field [3]. The PPV significantly influenced state policies against crime, contributing to its success [4].
The need for efficient and effective public administration to align with societal requirements emphasizes the importance of achieving goals and optimizing georeferenced investigations, as well as the material and human resources needed to apply these policing strategies [5,6]. Police efficiency assessment has emerged as a pertinent area of study within the public sector, where efficiency pertains to services delivered at a minimal cost, and effectiveness denotes goal achievement [7,8]. Despite its prominence, discourse on this topic remains limited, with empirical applications measuring technical efficiency under different public security production technologies scarce [9].
Measuring technical efficiency change is crucial for understanding how well police units utilize available resources over time. This metric provides insights into any improvement or decline in operational efficiency, thereby enabling policymakers to identify best practices and areas needing enhancement. Efficient resource utilization is fundamental in public security, where optimizing the allocation of limited resources can significantly impact the effectiveness of crime prevention and resolution efforts.
In addition, technological change measurement can be considered equally important for capturing shifts in the production frontier due to any technological advancement or regression that otherwise would be neglected. In the context of public security, a technological improvement can enhance the capabilities of a police unit, enabling the unit to solve crimes more effectively and efficiently. Conversely, a technological regression can hinder progress and necessitate strategic interventions to adopt new technologies or improve existing ones. Analyzing any productivity gaps over different years, especially in the context of significant events like the COVID-19 pandemic, can provide valuable insights into the resilience and adaptability of public security systems.
This study aims to assess the efficiency of PPV implementation in Pernambuco through a data envelopment analysis (DEA) and the Malmquist [10] productivity index (MPI). This study also aims to identify efficient and inefficient police units, any areas for potential technical improvements, and the effects of technical and technological change to facilitate the benchmarking of successful strategies. The methodology employed in this study is rooted in Farrell’s concept of efficiency boundaries, which evolved into the DEA framework introduced by Charnes et al. in 1978 [11,12].
The emergence of the COVID-19 pandemic in early 2020 precipitated global responses involving social isolation and quarantine measures [13]. Understanding how productivity is affected by such an external shock can support the development of robust policies that ensure continuous improvement in public security, even in the face of unforeseen challenges. This analysis can guide the implementation of strategies to enhance both technical efficiency and technological capability, ultimately leading to more effective crime prevention and resolution. This paper is structured into five sections: Introduction; Theoretical Framework, relating studies on the Pacto pela Vida and DEA applications; Data and Method, discussing the context in Pernambuco, data curation, sources, and DEA methodology; Data Analysis and Discussion, reporting the main results; and the Concluding Remarks.

2. Theoretical Framework

This section explores two fundamental components in the domain of enhancing public safety and security, for implementing strategic initiatives, and evaluating their efficacy as crucial aspects of governance in assessing law enforcement efficiency: the “Pact for Life” (PPV) and the application of a data envelopment analysis (DEA). Originating in Pernambuco, Brazil, the PPV represented a concerted effort to address rising crime rates through a multifaceted approach encompassing prevention, law enforcement, and community engagement. Section 2.1 discusses the PPV’s historical context, objectives, and outcomes, providing insights into its evolution, challenges, and impact on crime reduction efforts. Section 2.2 examines the application of DEA as a methodological tool for evaluating the efficiency and productivity of law enforcement agencies. By elucidating the DEA’s principles, methodologies, and real-world applications, this section aims to underscore its significance in driving evidence-based decision-making and resource optimization within the realm of public safety and security.

2.1. Pacto Pela Vida—PPV

Brazil’s investigation of public safety issues is relatively nascent, paralleled by the recent implementation of violence prevention programs. Statistics from 2017 reveal a concerning trend. Brazil witnessed 59,103 cases of intentional violent crimes (CVLIs) across its 26 states and the Federal District, with Pernambuco alone recording 5419 CVLIs within the same year [2]. Ref. [14] highlights the challenges in consolidating effective strategies and practices in public safety, citing a lack of experience in prevention programs as a notable obstacle. Successful experiences in implementing homicide reduction policies have been scarce in Brazil over the past two decades, with few initiatives sustaining continuity [15,16,17].
The “Pact for Life” (PPV) in Pernambuco was designed to curb the escalation of violence and systematically reduce CVLIs, including murder, bodily injury followed by death, robbery-murder, and deaths resulting from the intervention of public agents. The model set forth an ambitious objective to achieve a progressive reduction of 12% annually in the occurrences of murder, robbery followed by death, and bodily injury followed by death [17,18]. The PPV’s trajectory was divided into two distinct periods: PPV1, spanning from 2007 to the first semester of 2008; and PPV2, extending from the second semester of 2008 to 2013 [3,19,20].
These delineated phases enable an examination of the actors involved in the PPV’s implementation and the corresponding fluctuations in homicide rates, elucidating notable differences in CVLI reduction and administrative attributions across the two periods [21]. In the first moments of the PPV, between May 2007 and the first semester of 2008, the performance resulted in a 4.4% reduction, which could have been a first-year victory. However, as there was already considerable publicity concerning the 12% reduction, the outcome was dissatisfactory. At that time, the state’s deputy governor João Lyra, managed the PPV [21].
Situated in the northeast region of Brazil, Pernambuco boasts a population of approximately 9.61 million inhabitants as of 2020, with its capital, Recife, nestled along the state’s coastline. As the Brazilian Institute of Geography and Statistics (IBGE) reported, Pernambuco exhibits a human development index of 0.673 and sustains a population density of around 89.63 inhabitants per square kilometer. Like many other Brazilian states, Pernambuco grapples with inherited social challenges stemming from Brazil’s historical developmental trajectory, exacerbated by notably high crime rates in specific locales and the recurrent problem of violence at sporting events [22]; this leads to a multifaceted phenomenon influenced by economic fluctuations, unemployment, urban disorganization, income inequality, public infrastructure deficiencies, poverty concentration, and security and justice mechanism inadequacies.
The challenges of public security policy in Pernambuco fall under the responsibility of the Secretary of Social Defense (SDS), who is entrusted with the mandate to safeguard citizens’ rights and foster social normalcy through the coordination of public security agencies. The SDS employs a comprehensive approach to enhance strategic planning and address regional nuances by subdividing the state into Integrated Security Areas (AIS), comprising 26 interconnected zones across Pernambuco (see Figure 1 and Table 1 for details). This organizational framework facilitates a nuanced understanding of localized security dynamics, enabling tailored interventions and resource allocation strategies.
Each mesoregion is composed of a quantity of AIS as follows:
Specific crime-fighting objectives are established within each Integrated Security Area (AIS) in Pernambuco to foster collaborative efforts between the military and civil police forces. This strategic division represents a novel approach to monitor various types of homicide across the region, thereby enhancing the statistical granularity of police performance, as elucidated by [20]. Ref. [20] highlights a significant milestone in the implementation of the Pact for Life (PPV) during its second year, spanning from the latter half of 2008 to 2013. During this period, notable reductions in CVLIs were observed, approaching the ambitious 12% target. This progress underscored a shift towards a results-oriented management within the realm of public security and emphasized the need for continued efficiency improvements in law enforcement.
The pervasive high crime rates and CVLI imposed substantial financial burdens on the state, with profound implications for socioeconomic development. As noted by [23], considerable resources were allocated towards combating crime in Brazil, which surpassed the expenditures of many developed nations. Brazil’s expenditure on policing, amounting to 1.4% of its GDP, exceeded the international average. Ref. [24] advocated for an integrative evaluation of human resource management to focus on human resource administration and information, and communication technology to maximize the performance of public knowledge organizations social well-being.

2.2. Data Envelopment Analysis—DEA

The data envelopment analysis (DEA) is a non-parametric method for measuring decision-making efficiency based on mathematical linear programming. Its mechanism involves assessing firms through shared decision variables to delineate the relative efficiency among compared entities. The primary aim is to gain deeper insights into the performance of reference partners and facilitate the transformation of inefficient units into efficient ones by monitoring the trajectory of reference partners (peers) through radial movements [25].
Two fundamental models within the DEA framework are the CCR and BCC models. The CCR model, introduced by [12], is also recognized as a constant return to scale (CRS) analysis, characterized by a scenario where the decision-making units (DMUs) function at a constant production scale. In this context, inputs and outputs maintain proportional relationships, making it suitable for homogeneous operating environments. Conversely, the BCC model, pioneered by [26], incorporates the concept of variable returns to scale (VRS). This model is particularly advantageous when compared units face robust competition, operating either above or below their production capacity, or at the optimal scale.
DEA has emerged as a highly significant non-parametric method for assessing the efficiency and productivity of DMUs [27]. A prominent feature of this model is its ability to incorporate multiple inputs and outputs, thereby facilitating the measurement of efficiency in real-world scenarios. This flexibility allows for a comprehensive evaluation of various factors impacting efficiency, enabling comparisons across different levels of productive units. Such comparative analyses offer valuable insights that can inform strategic adjustments and enhancements in the management of public services [28].
The non-parametric methods employed by DEA involve comparing production units that operate under similar conditions. By evaluating the resources consumed and the products generated by each unit, the technique identifies those demonstrating higher efficiency within the analyzed group. Additionally, it pinpoints inefficient units where opportunities for improvement exist. Through this process, the DEA determines the relative efficiency of DMUs, providing valuable insights to enhance performance [29].
Ref. [30] is recognized as a trailblazer in applying the DEA approach and correlation analysis to evaluate police efficiency at the regional level. His seminal study in England and Wales scrutinized 41 police forces, laying the foundation for subsequent research in this field. Ref. [31] extended this work by assessing the performance of 163 police units in the Australian state of New South Wales, dividing their investigation into two distinct phases. Refs. [32,33] expanded the scope of DEA application by comparing analysis scores with the econometric cost frontier, focusing on British and Welsh police forces from 1992 to 1997. Ref. [34] further contributed to the field by utilizing DEA to examine 33 police districts in Lisbon, measuring the variation in technical efficiency. Moreover, Brazilian scholars have leveraged DEA to evaluate police efficiencies; this was exemplified by [28], which introduced the DEA model to assess police unit performance in Rio de Janeiro, and by [1], which measured the technical efficiency of the Military Police in Minas Gerais.
Refs. [8,35] conducted seminal studies in Pernambuco, focusing on enhancing the classification of police units. Their research delved into 145 civil police departments from three distinct perspectives: violent crime efficiency, bystander robbery efficiency, and vehicle theft efficiency. Employing FDH directional distance functions conditioned by environmental factors, the authors meticulously assessed the technical inefficiency of these units. Remarkably, their analysis identified 23 units (15.86%) in violent crimes, 13 units (8.96%) in street robberies, and 12 units (8.27%) in vehicle theft with zero inefficiencies, constituting the benchmark domain. Units within this domain serve as benchmarks for best practices, enabling inefficient units to enhance efficiency by seeking peer guidance and strategies. Additionally, Ref. [35] provides a comprehensive synthesis of papers related to security DEA applications, offering valuable insights into this field of study.
DEA models and developments offer valuable insights into measuring the efficiency and effectiveness of policing, focusing on the estimation of criminal costs [36] and the external environment’s influence on police performance [35,37]. Nevertheless, such measures are not exclusive for non-parametric frontier estimations, and many applications of stochastic frontier analysis (SFA) are similarly common in the economic literature on crime and policing [33,38].
In addition, during the pandemic, when resource allocation and program execution faced unprecedented challenges, a DEA can assess the performance of various public security measures, highlighting areas of success and identifying inefficiencies exacerbated by the crisis. A DEA can aid in optimizing resource allocation by identifying high-performing units or regions that maintain efficiency despite constraints, enabling policymakers to reallocate resources effectively. On the other hand, in a standard context, DEA provides a comprehensive assessment of the Pact for Life program’s long-term efficiency and effectiveness in crime reduction. By evaluating the program’s performance against established benchmarks, and considering factors like crime rates, police efficiency, and resource utilization, the modelling helps gauge the program’s impact on enhancing public safety, enabling policymakers to identify successful strategies and refine future interventions. The following section discusses the data and method in detail.

3. Data and Methods

This study adopts a quantitative approach, employing an inductive method and a descriptive design. Data for the study were sourced from the Department of Social Defense (SDS). Focusing on the Civil Police of Pernambuco, this study employs a model featuring three inputs: the number of delegates, agents, and clerks, with crime resolution as the output. The dataset spans from 2019 to 2020 and encompasses the 26 Integrated Security Areas (AIS) delineating Pernambuco’s territory. As highlighted by authors such as [35] and [39], crime is characterized as a non-controllable (non-discretionary) variable influenced by various factors such as the economic status or educational attainment for a given region in any given moment [40]. For this reason, it would not be appropriate to model it as a discretionary resource in this work. Table 2 and Table 3 describe the descriptive statistics for the variables in the years 2019 and 2020, respectively:
The main difference between sworn and non-sworn officers is their authority to enforce laws and make arrests. Sworn officers, also known as peace officers, have taken an oath to uphold the law and are granted legal authority to enforce laws, make arrests, and carry firearms. They typically undergo extensive training at a law enforcement academy and have the power to investigate crimes, issue citations, and testify in court. Examples of sworn officers include police officers, sheriff’s deputies, and state troopers. On the other hand, non-sworn officers may work in supportive roles within law enforcement agencies, such as administrative staff, crime analysts, forensic technicians, or community outreach specialists. While non-sworn officers may assist sworn officers in various tasks, they cannot make arrests or enforce laws. In Brazil, sworn officers are mostly in the Polícia Militar, while other (investigative) police belong to Polícia Civil corporations. For a better understanding of the police organization and crime statistics and context in Pernambuco, refer to the other empirical applications in [41,42,43,44,45].
The model used in this study is the variable returns to scale model developed by [26], which allows us to differentiate the technical and scale inefficiencies, estimate a pure technical efficiency, and assume that the units evaluated may have an increase in the input; this, in turn, may promote an increase in the output that does not need to be proportional or that there may be a decrease. Considering k = 1, 2, 3, …; h police units (in our case integrated areas) using j = 1, 2, 3, …; n personal resources to produce i = 1, 2, 3, …; m criminal clear-ups, the input-oriented (Equation (1)) and the output-oriented BCC model is formally outlined as:
Minimize θ
Subject to:
k = 1 h x j k λ k θ x j 0 O     j = 1,2 , , n
k = 1 h y i k λ k y i 0 0     i = 1,2 , , m
k = 1 h λ k = 1
where:
  • h: Amount of DMUs analyzed;
  • y i k : Output i of DMU k;
  • x j k : Input j of DMU k;
  • λ k : Contribution of DMU k towards the analyzed DMU objective;
  • x j 0 : Amount of input j of the analyzed DMU; y i 0 : Amount of output i of the analyzed DMU;
  • θ: Efficiency score of the analyzed DMU;
  • m: Amount of analyzed outputs;
  • n: Amount of analyzed inputs.
Maximize η
Subject to:
k = 1 h x j k . λ k x j 0 ,     j = 1,2 , ,   n
k = 1 h y j k . λ k η y i 0   0 ,     i = 1,2 , ,   m
k = 1 h λ k = 1
where:
  • h: Amount of DMUs analyzed;
  • y i k : Output i of DMU k;
  • x j k : Input j of DMU k;
  • λ k : Contribution of DMU k towards the analyzed DMU objective;
  • x j 0 : Amount of input j of the analyzed DMU; y i 0 : Amount of output i of the analyzed DMU;
  • η : Efficiency score of the analyzed DMU;
  • m: Amount of analyzed outputs;
  • n: Amount of analyzed inputs.
After applying and discussing the main prospects of the variable returns to scale model, we resort to the MPI for measuring changes on the production technology and the technical efficiency. The Malmquist (1953) [10] productivity index (MPI) is a widely used method to measure productivity changes over time. It decomposes productivity changes into two main components: efficiency change (EC) and technological change (TC). This methodology is particularly useful in understanding the sources of productivity change in various contexts, including the efficiency of police investigations.
An EC measures how much closer a decision-making unit (DMU) gets to the efficiency frontier over time. It reflects improvements in the use of resources. If a DMU becomes more efficient, it indicates that it is better at converting inputs into outputs. A TC measures shifts in the efficiency frontier itself. It reflects advancements or regressions in technology that affect the production possibilities of DMUs. If the frontier moves outward, it indicates technological progress; if it moves inward, it indicates technological regression. The MPI measures changes between two periods, t and t + 1, and is given by the product of EC and TC:
MPI = EC × TC
where:
EC = E f f o t 2 | T 2 E f f o t 1 | T 1   and   TC = E f f o t 1 | T 1 E f f o t 1 | T 2 E f f o t 2 | T 1 E f f o t 2 | T 2
Such that E f f o t . | T . is the efficiency in the period t considering the technology in T. Efficiency measures are calculated according to the model defined in (2). The MPI measures productivity change over time and decomposes it into EC and TC. The MPI indicates an overall productivity improvement if greater than 1, no change if equal to 1, and a decline if less than 1. EC measures how effectively a unit uses resources, with values above 1 indicating efficiency gains, while TC reflects shifts in the production frontier, where values above 1 signify technological progress. Identifying whether productivity changes are due to better resource utilization (efficiency improvements) or technological advancements is crucial for policy-making and strategic planning, enabling targeted interventions to enhance overall productivity.

4. Data Analysis and Discussion

We collected Data from the Civil Police of the State of Pernambuco to investigate whether there was any change in the resolutions of crimes between 2019 (before the pandemic) and 2020 (pandemic from March). Table 4 and Table 5 report the main efficiency results.
Efficiency is evaluated by comparing the performance of each decision-making unit (DMU) relative to others in the sample, based on input–output relationships. Efficiency is typically defined as a DMU’s ability to maximize outputs while minimizing inputs; the most efficient units are those that operate on the efficient frontier, achieving an efficiency score of 1. To address the distinction between absolute and relative efficiency, our analysis reports the efficient units (score of 1) relative to their peers, acknowledging that these scores are relative to the evaluated data set.
Table 5 reports an increase in the number of efficient DMUs in 2020 compared to 2019 (Table 4). There were eight efficient units during the pandemic compared to four before the pandemic. The Efficient Integrated Security Areas (AIS) in 2019 were Jaboatão, Olinda, Arcoverde, and Cabrobó. The AIS in 2020 were Santo Amaro, Jaboatão, São Lourenço da Mata, Vitória, Palmares, Belo Jardim, Santa Cruz do Capibaribe, and Cabrobó. The least efficient units were also less inefficient in 2020 compared to 2019. Considering the five more inefficient units in 2020, we have Salgueiro (0.60), Afogados (0.56), Garanhuns (0.55), Ouricuri (0.47), and Caruaru (0.46); compared in 2019 to Boa Viagem (0.43), Petrolina (0.375), Afogados da Ingazeira (0.375), Limoeiro (0.27), and Garanhuns (0.25). This finding suggests that the effect on crime and investigative policing during the pandemic was positive based on an aggregate perspective.
The only units efficient in both years (resilience) are Jaboatão and Cabrobó. In 2019, Jaboatão had the lowest CVLI rate compared to the years from 2016 to 2020, with the highest number of CVLI-related arrest warrants executed during the same period. In Olinda, comparing the years 2019 and 2020, there was a decrease in CVLI crimes during 2020. However, during the pandemic, the city did not keep an equi-proportional clear-up, making Olinda efficient in 2019, but not in 2020, using as benchmarks Vitória and São Lourenço. Arcoverde was efficient in 2019, with three commissioners, 14 sworn officers, and three clerks solving 68 crimes. However, compared to 2020, this AIS ceased to be efficient because its workforce increased considerably. Although the number of commissioners doubled, and police agents and clerks increased three times as much, the resolution quantity was below expectations.
The AIS for Santo Amaro has stood out in the first quarter of 2019, reporting only 9 CVLIs, making it the best quarter since 2004. Clear-up rates only increased in 2020, showing a 61% increase compared to the previous year. Vitória de Santo Antão received special attention in 2020 because its CVLI rates in 2019 were 59.2 per 100,000 inhabitants, the second highest in the state since 2014, surpassing the overall state rates. When setting quarterly goals for this AIS, it was stipulated that case resolutions be significantly reduced. Vitória received extra resources to conduct policing. This AIS solved more crimes and had more police presence on the streets. The additional resources were clearly effective, indicating that this DMU was efficient.
An interesting and efficient strategy in Santa Cruz do Capibaribe was to promote a task force to reduce homicide rates by 78% over the years. In the second half of 2020, during the pandemic, 17 arrest warrants were executed in the city, 26 individuals were arrested, and 17 weapons were seized in qualified repression operations and tactical intervention operations. It is worth noting that most of the staff were sworn officers in February 2020. In October 2019, Pernambuco recorded the 23rd consecutive month of homicide reduction (since December 2017). There has been an increasing number of crimes during the pandemic in all states in the region, and the country, followed by an increasing number of clear-ups and efficiency monitoring strategies.
The pandemic and social isolation worsened the economy and increased unemployment, as well as deteriorating the population’s mental health, indirectly exacerbating the curve of lethal violence. Nevertheless, the average efficiency improvement in 2020 compared to 2019 was 30.21%, with some cities such as Limoeiro, Belo Jardim, and Garanhuns reporting over a 100% increased efficiency during the pandemic. Those cities had over a 40% reduction in the number of officers and commissioners, keeping similar or slightly higher production, highlighting the positive effect of the COVID-19 pandemic on encouraging the adoption of technologies and innovative strategies during emergencies.

Efficiency and Technology Change

In this section we conduct an efficiency analysis of police investigations using the MPI, which decomposes productivity changes into technical (efficiency) and technological (technology) changes. The EC measures the change in efficiency between the two periods. An EC greater than 1 indicates that the police unit has improved its efficiency. A TC greater than 1 indicates a technological improvement, suggesting that the unit is operating on a better production frontier. The MPI reflects the overall productivity change. An MPI greater than 1 indicates an overall productivity improvement.
Figure 2 illustrates the frontier shifts (2019 in black and 2020 in red) and the inefficiency distribution in 2019. The light blue and light brown areas in this visualization represent the productivity gaps from before and during the pandemic and display an interesting trend: small police units performed worse during the pandemic, but catch up as they grow. Large police units experience the opposite relation. AISs in the small-size domination (blue) productivity gap were AIS 25 (Cabrobó), 17 (Santa Cruz do Capibaribe), 19 (Arcoverde), and 7 (Olinda). This means that those units obtained better results before the pandemic than the best results from the best-performance units during the pandemic. AISs in the large-size domination (brown) productivity gap were AIS 13 (Palmares) and 6 (Jaboatão), meaning that those units were better off during the pandemic. They had results better during 2020 than the best performance units before the pandemic could reach.
Considering the analysis of police investigation efficiency in the districts of Recife (AIS 1 to 5) reveals significant improvements and challenges. Despite all units being enveloped in the frontier illustration of Figure 2, Santo Amaro exhibited a remarkable 33.3% increase in efficiency, achieving an MPI of 1.333, demonstrating a substantial productivity gain even without any technological advancement. Similarly, Várzea and Boa Viagem displayed a notable efficiency improvement (1.313 and 1.487, respectively), contributing to an overall productivity gain despite experiencing technological regression. These results underscore the resilience and adaptability of these units, highlighting the effectiveness of internal process optimization in maintaining productivity during challenging times.
Espinheiro and Apipucos experienced a slight technological regression with technology change values of 0.954 and 0.933, respectively, which dampened their overall productivity improvement. Specifically, Apipucos faced a minor productivity decline with an MPI of 0.981 despite a modest efficiency gain. Policy suggestions to address these disparities can include special training and benchmarking best practices for units facing technological regression and integrated approaches to resource allocation, ensuring that technological advancements support efficiency gains. Implementing these strategies can help enhance overall productivity and effectiveness across all police units in Recife, ensuring a more robust and adaptive public security framework.
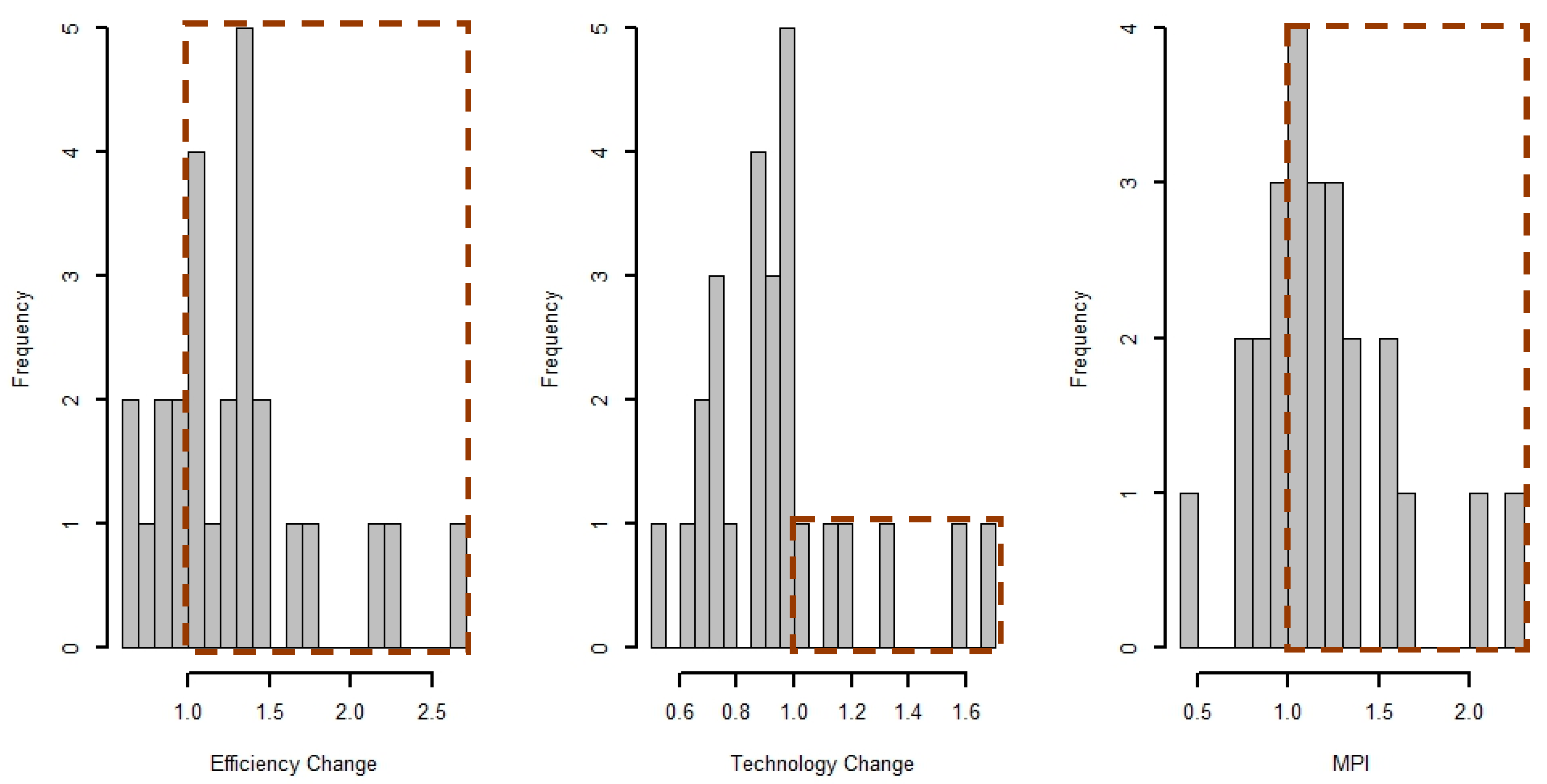
Figure 3 illustrates the frequency of the indicators EC, TC, and MPI (emphasis given to frequencies with indicator scores above 1). The minimum EC score, 0.6545783, was attributed to Paulista in the metropolitan region of Recife. By contrast, the AIS with the highest EC, Limoeiro, located in the Mesoregion of Agreste Pernambucano, had a value of 2.6110746. The mean and median EC were 1.3011 and 1.2450, respectively, indicating that most units in the state experienced a rapid recovery in efficiency, especially those with fewer criminal occurrences. These differences suggest that cities with higher demographic density and greater economic and population dynamics, such as those near the capital, adjusted more slowly to changes in the public security production process compared to cities in the countryside or rural areas.
In terms of TC, the implications are the opposite. The mean of 0.9421 and the median of 0.9212 indicate that external factors or technological constraints during the pandemic hindered progress toward best practices in public security for solving criminal occurrences. The minimum TC score of 0.5121, attributed to Arcoverde, and the maximum of 1.6713094, attributed to Palmares, suggest a random pattern across the region, with only six AIS achieving a technology change score above 1. Despite the technological challenges, the MPI provides a more optimistic outlook. With only eight AIS scoring below 1 in MPI, the data indicates an overall improvement in productivity. This suggests that, despite facing technological constraints, many police units managed to enhance their overall productivity through internal efficiency gains.
Figure 4 illustrates the potential correlations between the indicators of technical and technology change. The Pearson correlation measures are reported for informational purposes. There was a weak negative correlation between EC and TC: catch-up effects seemed to compensate for technological disadvantage, but more investigation is necessary. On the other hand, comparing efficiency scores under different production technologies (standard production from 2019 with COVID-19 production technology of 2020), the data reported a weak positive correlation, with the interpretation that a significant number of units may operate similarly (similar performance) under different technologies. Nevertheless, this weak interpretation requires further robust investigation.

5. Concluding Remarks

The proposed assessment compared the effectiveness of the Civil Police of the State of Pernambuco in solving intentional lethal violent crimes between 2019 and 2020, both before and during the pandemic, using a novel framework combining traditional DEA with MPI to assess the metrics of productivity gaps, efficiency, and technological changes and associations. The empirical application highlighted some interesting strategies and actions within the scope of the Pacto pela Vida (Pact for Life) program. Despite an increase in CVLI cases in 2020, there was a more significant improvement in efficiency and a higher number of efficient units (AIS). The analysis indicates varied responses by different police units in Pernambuco to the challenges posed by the pandemic. Some units, such as Santo Amaro, achieved substantial efficiency gains, while others faced technological regressions but still managed to maintain or slightly improve overall productivity. This emphasizes the importance of internal efficiency and adaptability to external technological changes in maintaining productivity.
The results highlight significant regional variations in the context of Pernambuco’s criminality. Metropolitan areas like Recife, which experience higher crime rates and more complex social dynamics, found it more challenging to adapt swiftly to the pandemic’s demands. By contrast, rural and less densely populated regions, which typically experience lower crime rates, were able to recover efficiency more quickly. This highlights the need for integrated strategies in public security policies, considering the diverse challenges faced by different regions within Pernambuco. One possible exogenous explanation is that many activities were suspended due to several periods of lockdown, leading to a drastic reduction in the flow of people in public and private places. This likely resulted in a decline in other criminal activity, allowing police resources to be redirected toward investigating and resolving violent crime. Consequently, some integrated security areas benefited from the decrease in several types of occurrences, reducing other demands and enabling a focused effort on solving CVLIs.
Despite the challenging circumstances posed by the pandemic, including increased crime rates, there was a noteworthy improvement in efficiency within the Pacto pela Vida program. Such improvement suggested potential shifts in police resource allocation and strategic responses to crime during the pandemic. However, several limitations can be acknowledged in this research. This study relies on data from a specific time frame, which may not fully capture long-term trends or variations in crime dynamics. Additionally, the analysis does not account for all factors influencing crime rates and police efficiency, such as socioeconomic conditions, community policing initiatives, and changes in law enforcement practices. Future research should address these limitations and explore the relationship between the pandemic, crime patterns, and police efficiency more comprehensively.
Longitudinal studies could track the evolution of crime rates and police responses over multiple years, providing insight into the lasting impact of the pandemic on public safety. Qualitative research methods, such as interviews with law enforcement officials and community stakeholders, could offer valuable perspectives on the effectiveness of specific crime prevention strategies and inform evidence-based policy recommendations. Furthermore, exploring innovative analytical approaches, such as machine learning algorithms and spatial analysis techniques, may enhance our understanding of the spatial–temporal patterns of crime and optimize resource allocation for crime prevention efforts. By addressing these limitations and embracing interdisciplinary approaches, future research can contribute to advancing knowledge in the field of public security and inform more effective strategies for combating crime and promoting community safety.
Policymakers should consider the findings of this study to implement practical changes in public security strategies. There is a need for targeted investment in the management of processes and training, and the necessity for benchmarking best practices, especially in regions that have experienced technological regression. Enhanced technological capabilities can support more efficient crime-solving processes and help sustain productivity gains. Resource allocation strategies can be adjusted to ensure that both metropolitan and rural areas can effectively manage their unique challenges. Metropolitan areas might benefit from increased manpower and technological support, while rural areas could improve through community engagement and tailored crime prevention programs.
One common limitation in studies involving criminal data is the underlying dynamics that go beyond the crime reports and the resolution itself. Factors such as variations in data collection methods, regional reporting practices, and potential underreporting or misclassification of crimes can all influence the reliability of these figures. Additionally, clear-up rates, which mostly refer to the resolution of CVLI cases, may not always fully capture the complexities of a criminal investigation, including such factors as resource allocation, local policing strategies, or the broader socio-political environment. As such, while CVLI statistics are essential for assessing public security, they should be interpreted with caution, considering these hidden phenomena that may affect their accuracy and the real picture of crime and its resolution.
An interesting extension for future work would be to consider a larger dataset, including years that clearly distinguish between pre- and post-pandemic periods. While the current analysis utilizes data from 2019 and 2020, the year 2020 represents a transitional phase, with a mix of pre-pandemic (January–March), early pandemic (April–August), and peak pandemic months (September–December). To better assess the impact of the pandemic on efficiency and performance, it would be beneficial to include data from 2021 or 2022, which would reflect more stable post-pandemic conditions. This would allow for a clearer comparison of the effects of the pandemic on policing efficiency, as 2021 and 2022 provide insight into how adjustments in policies, resource allocations, and societal behavior may have influenced crime rates and law enforcement outcomes. Such an approach would strengthen the analysis by offering a more distinct temporal separation between pre- and post-pandemic periods, providing a more robust understanding of long-term trends in efficiency.
In addition, identifying the underlying causes behind the differential performance—whether related to resource allocation, leadership, community engagement, or other operational strategies—can provide more meaningful insights into the drivers of efficiency or inefficiency. Future work should focus on investigating these explanatory factors more rigorously, as understanding them would allow us to focus on best practices and develop targeted recommendations for improving police performance in both high- and low-efficiency zones. This could enhance the practical applicability of the findings and provide a more comprehensive understanding of the dynamics driving police effectiveness.
The good performance of many units based on the Pacto pela Vida program during the pandemic suggests that adaptive and flexible strategies are crucial in times of crisis. Policymakers should institutionalize these adaptive measures to ensure that law enforcement agencies can quickly respond to changing circumstances without significant productivity losses. Integrating comprehensive data analytics into routine police work can provide real-time insights and predictive analytics, enabling proactive crime prevention measures. This approach can optimize resource distribution, improve response times, and enhance public safety. Continued research and policy development are essential to build on these insights, ensuring that public security efforts are practical and adaptive to changing circumstances.
Although the Pacto pela Vida program was designed for the specific context of Pernambuco, the insights and strategies it offers are highly relevant beyond Brazil. The adaptability demonstrated by many police units during the pandemic, such as the significant gains in efficiency in Santo Amaro, and the resilience of both Jaboatão and Cabrobó, highlight the importance of flexibility and responsiveness to external challenges. The strategies of this program, such as integrating the many domains of public security and implementing proactive crime prevention measures, are not limited to the local setting; they can be applied to public safety efforts globally. The observed differences in how metropolitan and rural areas adapted to the pandemic in Pernambuco highlight the need for context-sensitive approaches to public security. These principles emphasize adaptable strategies that can be adapted to different environments to support public security initiatives in many regions and countries.

Author Contributions

Conceptualization, I.K.d.F.B. and T.C.C.N.; methodology, I.K.d.F.B. and T.C.C.N.; software, I.K.d.F.B. and T.C.C.N.; validation, T.C.C.N. and F.H.T.; formal analysis, I.K.d.F.B., T.C.C.N. and F.H.T.; investigation, I.K.d.F.B. and T.C.C.N.; resources, T.C.C.N.; data curation, I.K.d.F.B. and T.C.C.N.; writing—original draft preparation, I.K.d.F.B. and T.C.C.N.; writing—review and editing, T.C.C.N. and F.H.T.; visualization, I.K.d.F.B. and T.C.C.N.; supervision, T.C.C.N. and F.H.T.; project administration, T.C.C.N.; funding acquisition, T.C.C.N. All authors have read and agreed to the published version of the manuscript.

Funding

This research was funded by the Brazilian National Council for Scientific and Technological Development (CNPq)—Bolsa de Produtividade em Pesquisa (309950/2022-8), and by Fundação de Amparo à Ciência e Tecnologia de Pernambuco (FACEPE)—IBPG-1398-3.08/19.

Institutional Review Board Statement

Not applicable.

Data Availability Statement

The raw data supporting the conclusions of this article will be made available by the authors upon request.

Acknowledgments

Grammarly for Microsoft Office (Version 6.8.263) and ChatGPT (GPT-4) were used for text translations and reviews. The authors made the necessary edits, taking full responsibility for the textual content of this article.

Conflicts of Interest

The authors declare no conflicts of interest.

References

  1. Scalco, P.R.; Amorim, A.L.; Gomes, A.P. Eficiência técnica da Polícia Militar em Minas Gerais. Nova Econ. 2012, 22, 165–190. [Google Scholar] [CrossRef]
  2. Cerqueira, D.; Bueno, S.; Lima, R.S.; Neme, C.; Ferreira, H.; Alves, P.P.; Marques, D.; Reis, M.; Cypriano, O.; Sobra, I.; et al. Atlas da Violência 2019. Brasília: Rio de Janeiro: São Paulo: Instituto de Pesquisa Econômica Aplicada; Fórum Brasileiro de Segurança Pública. 2019. Available online: https://www.ipea.gov.br/portal/images/stories/PDFs/relatorio_institucional/190605_atlas_da_violencia_2019.pdf (accessed on 20 September 2024).
  3. Macêdo, A.O. “Polícia, Quando Quer, faz!”: Análise da estrutura de governança do “Pacto pela Vida” de Pernambuco. Soc. Estado 2012, 27, 440. Available online: https://periodicos.unb.br/index.php/sociedade/article/view/5669 (accessed on 20 September 2024). [CrossRef][Green Version]
  4. Ratton, J.L.; Daudelin, J. Construction and deconstruction of a homicide reduction policy: The case of pact for life in Pernambuco, Brazil. Int. J. Criminol. Sociol. 2018, 7, 173–183. [Google Scholar] [CrossRef]
  5. Nepomuceno, T.C.C.; Costa, A.P.C.S. Spatial visualization on patterns of disaggregate robberies. Oper. Res. 2019, 19, 857–886. [Google Scholar] [CrossRef]
  6. De Carvalho, V.D.H.; Costa, A.P.C.S. Exploring text mining and analytics for applications in public security: An in-depth dive into a systematic literature review. Socioecon. Anal. 2023, 1, 5–55. [Google Scholar] [CrossRef]
  7. Verschelde, M.; Rogge, N. An environment-adjusted evaluation of citizen satisfaction with local police effectiveness: Evidence from a conditional data envelopment analysis approach. Eur. J. Oper. Res. 2012, 223, 214–225. [Google Scholar] [CrossRef]
  8. Nepomuceno, T.C.C.; Daraio, C.; Costa, A.P. Multicriteria Ranking for the Efficient and Effective Assessment of Police Departments. Sustainability 2021, 13, 4251. [Google Scholar] [CrossRef]
  9. Nepomuceno, T.C.C.; Costa, A.P.C.S.; Daraio, C. Theoretical and empirical advances in the assessment of productive efficiency since the introduction of DEA: A bibliometric analysis. Int. J. Oper. Res. 2021, 46, 505–549. [Google Scholar] [CrossRef]
  10. Malmquist, S. Index numbers and indifference surfaces. Trab. De Estadística 1953, 4, 209–242. [Google Scholar] [CrossRef]
  11. Farrell, M.J. The measurement of productive efciency. J. R. Stat. Soc. Ser. A (Gen.) 1957, 120, 253–281. [Google Scholar] [CrossRef]
  12. Charnes, A.; Cooper, W.W.; Rhodes, E. Measuring the efficiency of decision making units. Eur. J. Oper. Res. 1978, 2, 429–444. [Google Scholar] [CrossRef]
  13. Leiva, G.D.C.; Sathler, D.; Orrico Filho, R.D. Estrutura urbana e mobilidade populacional: Implicações para o distanciamento social e disseminação da COVID-19. Rev. Bras. Estud. Popul. 2020, 37, e0118. [Google Scholar] [CrossRef]
  14. Silveira, A.M. A prevenção dos homicídios: Desafio para a segurança pública. In Compreendendo e Avaliando Projetos de Segurança Pública; Beato, C.C., Ed.; UFMG: Belo Horizonte, Brazil, 2008; pp. 119–165. [Google Scholar]
  15. Castro, M.S.; da Silva, B.F.A.; Assunção, R.M.; Beato Filho, C.C. Regionalização como estratégia para a definição de políticas públicas de controle de homicídios. Cad. Saúde Pública 2004, 20, 1269–1280. [Google Scholar] [CrossRef][Green Version]
  16. Beato, C. Compreendendo e Avaliando: Projetos de Segurança Pública; Editora UFMG: Belo Horizonte, Brazil, 2008. [Google Scholar]
  17. Ratton, J.L.; Galvão, C.; Fernandez, M. Pact for Life and the Reduction of Homicides in the State of Pernambuco. Stab. Int. J. Secur. Dev. 2014, 3, 18. [Google Scholar]
  18. Daudelin, J.; Ratton, J.L. Inequality and Deterrence in Recife: The Rise and Fall of the “Pact for Life”. In Illegal Markets, Violence, and Inequality: Evidence from a Brazilian Metropolis; Palgrave Macmillan: Londone, UK, 2018. [Google Scholar]
  19. Maria, J.; Júnior, N. A dinâmica dos homicídios no Nordeste e em Pernambuco. Dilemas Rev. Estud. Conflitos Controle Soc. 2010, 3, 51–74. [Google Scholar]
  20. Ratton, J.L.; Galvão, C.; Fernandez, M. O Pacto pela Vida e a Redução de Homicídios em Pernambuco: Tornando as Cidades Brasileiras Mais Seguras; Edição Especial dos Diálogos de Segurança Cidadã; Instituto Igarapé: Rio de Janeirom, Brazil, 2014. [Google Scholar]
  21. Oliveira, J.C.L.D. Avaliação dos Resultados do Pacto Pela Vida e a Dinâmica dos Homicídios nos Municípios de Pernambuco. Master’s Dissertation, Universidade Federal de Pernambuco, Recife, Brazil, 2016. [Google Scholar]
  22. Edel, M. An extensive analysis of Brazil and the Netherlands determinants of football attendance. Socioecon. Anal. 2024, 2, 6–18. [Google Scholar] [CrossRef]
  23. Cerqueira, D. Custo de bem-estar da violência e criminalidade no Brasil. In Anuário Brasileiro de Segurança Pública; Fórum Brasileiro de Segurança Pública: Asa Sul, Brazil, 2017; pp. 76–78. Available online: https://www.forumseguranca.org.br/wp-content/uploads/2017/12/ANUARIO_11_2017.pdf (accessed on 20 September 2024).
  24. Satarova, B.; Siddiqui, T.; Raza, H.; Abbasi, N.; Kydyrkozha, S. A Systematic Review of “The Performance of Knowledge Organizations and Modelling Human Action”. Socioecon. Anal. 2023, 1, 56–77. [Google Scholar] [CrossRef]
  25. Lobo, M.S.C.; Rodrigues, H.C.; André, E.C.G.; Azeredo, J.A.; Lins, M.P.E. Análise envoltória de dados dinâmica em redes na avaliação de hospitais universitários. Rev. Saúde Pública 2016, 50, 22. [Google Scholar] [CrossRef]
  26. Banker, R.D.; Charnes, A.; Cooper, W.W. Some models for estimating technical and scale inefficiencies in data envelopment analysis. Manag. Sci. 1984, 30, 1078–1092. [Google Scholar] [CrossRef]
  27. Emrouznejad, A.; Banker, R.; Lopes, A.L.; de Almeida, M.R. Data Envelopment Analysis in the Public Sector. Socioecon. Plan. Sci. 2014, 48, 2–3. [Google Scholar] [CrossRef]
  28. de Mello, J.C.C.B.; Gomes, E.G.; de Assis, A.S.; Morais, D.P. Efciência DEA como medida de desempenho de unidades policiais. Rev. Produção Online 2005, 5, 1–12. [Google Scholar] [CrossRef]
  29. Barba-Romero, S.; Pomerol, J.C. Decisiones Multicriterio: Fundamentos Teóricos y Utilización Práctica; Universidad de Alcalá, Servicio de Publicaciones: Madrid, Spain, 1997. [Google Scholar]
  30. Thanassoulis, E. Assessing police forces in England and Wales using data envelopment analysis. Eur. J. Oper. Res. 1995, 87, 641–657. [Google Scholar] [CrossRef]
  31. Carrington, R.; Puthucheary, N.; Rose, D.; Yaisawarng, S. Performance measurement in government service pro vision: The case of police services in New South Wales. J. Product. Anal. 1997, 8, 415–430. [Google Scholar] [CrossRef]
  32. Drake, L.; Simper, R. Productivity estimation and the size-efficiency relationship in English and Welsh police forces: An application of data envelopment analysis and multiple discriminant analysis. Int. Rev. Law Econ. 2000, 20, 53–73. [Google Scholar] [CrossRef]
  33. Drake, L.; Simper, R. The measurement of English and Welsh police force efficiency: A comparison of distance function models. Eur. J. Oper. Res. 2003, 147, 165–186. [Google Scholar] [CrossRef]
  34. Barros, C.P.; Alves, F.P. Efficiency in crime prevention: A case study of the Lisbon precincts. Int. Adv. Econ. Res. 2005, 11, 315–328. [Google Scholar] [CrossRef]
  35. Nepomuceno, T.C.C.; Santiago, K.T.M.; Daraio, C.; Costa, A.P.C.S. Exogenous crimes and the assessment of public safety efficiency and effectiveness. Ann. Oper. Res. 2020, 316, 1349–1382. [Google Scholar] [CrossRef]
  36. Alda, E.; Cuesta, J. A comprehensive estimation of costs of crime in South Africa and its implications for effective policy making. J. Int. Dev. 2011, 23, 926–935. [Google Scholar] [CrossRef]
  37. Alda, E.; Giménez, V.; Prior, D. Does a complex environment affect police efficiency: An examination on municipal police in Mexico. Appl. Econ. Lett. 2020, 27, 1220–1223. [Google Scholar] [CrossRef]
  38. Moreira, G.C.; Kassouf, A.L.; Justus, M. An estimate of the underreporting of violent crimes against property applying stochastic frontier analysis to the state of Minas Gerais, Brazil. Nova Econ. 2018, 28, 779–806. [Google Scholar] [CrossRef]
  39. Leigh, J.; Dunnett, S.; Jackson, L. Predictive police patrolling to target hotspots and cover response demand. Ann. Oper. Res. 2019, 283, 395–410. [Google Scholar] [CrossRef]
  40. de Moura, J.A.; Monteiro, M.B. From education to social justice: A regression examination of education and economic inequality effects on property crimes. Socioecon. Anal. 2024, 2, 94–106. [Google Scholar] [CrossRef]
  41. de Lima, A.M.; Nepomuceno TC, C.; Pergher, I.; de Carvalho, V.D.; Poleto, T. Optimizing Police Locations around Football Stadiums Based on a Multicriteria Unsupervised Clustering Analysis. Eng. Proc. 2023, 56, 275. [Google Scholar] [CrossRef]
  42. Borba, B.F.D.C.; de Gusmão, A.P.H.; Clemente, T.R.N.; Nepomuceno, T.C.C. Optimizing police facility locations based on cluster analysis and the maximal covering location problem. Appl. Syst. Innov. 2022, 5, 74. [Google Scholar] [CrossRef]
  43. de Miranda Mota, C.M.; de Figueiredo, C.J.J. Identifying areas vulnerable to homicide using multiple criteria analysis and spatial analysis. Omega 2021, 100, 102211. [Google Scholar] [CrossRef]
  44. de Figueiredo, C.J.J.; de Sousa Pereira, D.V.; de Miranda Mota, C.M. Multi-criteria approach with spatial analysis and remote sensing for public security planning. GI_Forum 2017, 1, 164–172. [Google Scholar] [CrossRef]
  45. Lima, R.A.; Taques, F.H.; Nepomuceno, T.C.C.; de Figueiredo, C.J.J.; Poleto, T.; de Carvalho, V.D.H. Simultaneous Causality and the Spatial Dynamics of Violent Crimes as a Factor in and Response to Police Patrolling. Urban Sci. 2024, 8, 132. [Google Scholar] [CrossRef]
Figure 1. Division of Pernambuco mesoregions.
Figure 1. Division of Pernambuco mesoregions.
World 05 00041 g001
Figure 2. Frontier shifts and inefficiency distribution.
Figure 2. Frontier shifts and inefficiency distribution.
World 05 00041 g002
Figure 3. Histograms for technical and technology change and Malmquist Productivity Index.
Figure 3. Histograms for technical and technology change and Malmquist Productivity Index.
World 05 00041 g003
Figure 4. Dispersion graphs and potential associations.
Figure 4. Dispersion graphs and potential associations.
World 05 00041 g004
Table 1. Mesoregions and AIS compositions.
Table 1. Mesoregions and AIS compositions.
RegionAIS
Capital—Recife1 Santo Amaro; 2 Espinheiro; 3 Boa Viagem; 4 Várzea; 5 Apipucos
Recife Metropolitan Region6 Jaboatão; 7 Olinda; 8 Paulista; 9 São Lourenço da Mata; 10 Cabo de Santo Agostinho; 11 Nazaré da Mata; 12 Vitória de Santo Antão; 13 Palmares
Agreste14 Caruaru; 15 Belo Jardim; 16 Limoeiro; 17 Santa Cruz do Capibaribe; 18 Garanhuns
Sertão + São Francisco19 Arcoverde; 20 Afogados da Ingazeira; 21 Serra Talhada; 22 Floresta; 23 Salgueiro; 24 Ouricuri; 25 Cabrobó; 26 Petrolina
Table 2. Descriptive Statistics 2019.
Table 2. Descriptive Statistics 2019.
VariablesMin1st QuMedianMean3rd QuMax
InputCommissioners3.0004.2507.0008.38510.75022.00
Sworn officers14.0031.2546.00057.9274.75144.00
Officers3.007.2511.5013.6217.7537.00
Crimes26.0060.25107.50132.85185.50321.00
OutputsClear-ups17.0039.2566.5080.54101.25198.000
Table 3. Descriptive Statistics 2020.
Table 3. Descriptive Statistics 2020.
VariablesMin1st QuMedianMean3rd QuMax
InputCommissioners3.0004.2506.5007.6158.0024.00
Sworn officers22.0040.0048.5059.8872.50163.00
Officers4.007.2510.5012.7316.7534.00
Crimes29.0069.25117.00143.92229.75345.00
OutputsClear-ups14.0042.7572.0090.12133.25215.00
Table 4. 2019 AIS Efficiency Analysis.
Table 4. 2019 AIS Efficiency Analysis.
DMUse.effPeer1Peer2Peer3U1U2U3V1
S. Amaro0.750ArcoverdeNANA0.250.000.000.00
Espinheiro0.600ArcoverdeNANA0.200.000.000.00
B. Viagem0.428ArcoverdeNANA0.140.000.000.00
Várzea0.587OlindaArcoverdeNA0.170.000.000.01
Apipucos0.907OlindaArcoverdeNA0.250.000.000.01
Jaboatão1.000JaboatãoNANA0.000.000.040.01
Olinda1.000OlindaNANA0.250.000.000.01
Paulista0.989JaboatãoArcoverdeNA0.000.000.040.01
S. Lourenço0.750ArcoverdeNANA0.250.000.000.00
Cabo S. A.0.592JaboatãoOlindaArcoverde0.100.000.010.01
Nazaré M.0.917JaboatãoArcoverdeNA0.000.000.040.01
Vitoria0.843JaboatãoArcoverdeNA0.000.000.060.01
Palmares0.817JaboatãoArcoverdeNA0.000.000.060.01
Caruaru0.679JaboatãoArcoverdeNA0.000.000.030.00
Belo Jardim0.444JaboatãoOlindaArcoverde0.130.000.010.01
Limoeiro0.272ArcoverdeNANA0.090.000.000.00
Santa Cruz C.0.750ArcoverdeNANA0.250.000.000.00
Garanhuns0.255JaboatãoArcoverdeNA0.000.000.040.01
Arcoverde1.000ArcoverdeNANA0.330.000.000.01
Afogados I.0.375ArcoverdeNANA0.130.000.000.00
S. Talhada0.600ArcoverdeNANA0.200.000.000.00
Floresta0.583ArcoverdeNANA0.000.040.000.00
Salgueiro0.600ArcoverdeNANA0.200.000.000.00
Ouricuri0.428ArcoverdeNANA0.140.000.000.00
Cabrobó1.000ArcoverdeNANA0.330.000.000.00
Petrolina0.375ArcoverdeNANA0.130.000.000.00
Table 5. 2020 AIS Efficiency Analysis.
Table 5. 2020 AIS Efficiency Analysis.
DMUse.effPeer1Peer2Peer3U1U2U3V1
S. Amaro1.00000S. AmaroNANA0.000.030.040.007
Espinheiro0.645458S. LourençoSanta CruzCabrobó0.000.010.040.005
Boa Viagem0.637330S. LourençoVitóriaNA0.000.020.000.008
Várzea0.771503S. LourençoVitóriaNA0.000.010.000.008
Apipucos0.954545S. LourençoVitóriaNA0.200.000.000.009
Jaboatão1.00000JaboatãoNANA0.050.000.010.006
Olinda0.852272S. LourençoVitóriaNA0.250.000.000.011
Paulista0.647572S. LourençoVitóriaNA0.000.010.000.004
S. Lourenço1.000000S. LourençoNANA0.210.000.050.011
Cabo0.812500S. LourençoVitóriaNA0.120.000.000.006
Nazaré M.0.719185JaboatãoVitóriaPalmares0.050.000.010.005
Vitória1.000000VitóriaNANA0.060.000.030.006
Palmares1.000000PalmaresNANA0.050.000.020.005
Caruaru0.463360JaboatãoVitóriaPalmares0.000.0050.0040.003
Belo Jardim1.000000B. JardimNANA0.180.000.040.009
Limoeiro0.712111S. LourençoPalmaresB. Jardim0.000.010.040.007
Santa Cruz C1.000000Santa CruzNANA0.000.020.070.008
Garanhuns0.555070S. LourençoPalmaresB. Jardim0.000.000.020.003
Arcoverde0.840285S. LourençoPalmaresB. Jardim0.000.010.050.008
Afogados0.559782S. AmaroCabrobóNA0.000.020.000.001
S. Talhada0.759803Santa CruzCabrobóNA0.000.000.160.005
Floresta0.970124S. LourençoSanta CruzCabrobó0.000.020.080.009
Salgueiro0.605579S. AmaroS LourençoCabrobó0.000.020.030.005
Ouricuri0.470281S. LourençoSanta CruzCabrobó0.000.010.030.004
Cabrobó1.000000CabrobóNANA0.330.000.000.000
Petrolina0.655844S. LourençoVitóriaNA0.140.000.000.006
Disclaimer/Publisher’s Note: The statements, opinions and data contained in all publications are solely those of the individual author(s) and contributor(s) and not of MDPI and/or the editor(s). MDPI and/or the editor(s) disclaim responsibility for any injury to people or property resulting from any ideas, methods, instructions or products referred to in the content.

Share and Cite

MDPI and ACS Style

Barros, I.K.d.F.; Nepomuceno, T.C.C.; Taques, F.H. Assessing Police Technical Efficiency and the COVID-19 Technological Change from the Pact for Life Perspective. World 2024, 5, 789-804. https://doi.org/10.3390/world5030041

AMA Style

Barros IKdF, Nepomuceno TCC, Taques FH. Assessing Police Technical Efficiency and the COVID-19 Technological Change from the Pact for Life Perspective. World. 2024; 5(3):789-804. https://doi.org/10.3390/world5030041

Chicago/Turabian Style

Barros, Isloana Karla de França, Thyago Celso Cavalcante Nepomuceno, and Fernando Henrique Taques. 2024. "Assessing Police Technical Efficiency and the COVID-19 Technological Change from the Pact for Life Perspective" World 5, no. 3: 789-804. https://doi.org/10.3390/world5030041

APA Style

Barros, I. K. d. F., Nepomuceno, T. C. C., & Taques, F. H. (2024). Assessing Police Technical Efficiency and the COVID-19 Technological Change from the Pact for Life Perspective. World, 5(3), 789-804. https://doi.org/10.3390/world5030041

Article Metrics

Back to TopTop