Salophen-Type Ni(II) Schiff Base Complexes Derived from Naphthalene Aldehydes and Their Application as Catalysts for the Methanol Electro-Oxidation Reaction
Abstract
1. Introduction
2. Materials and Methods
2.1. Materials
2.2. Synthesis
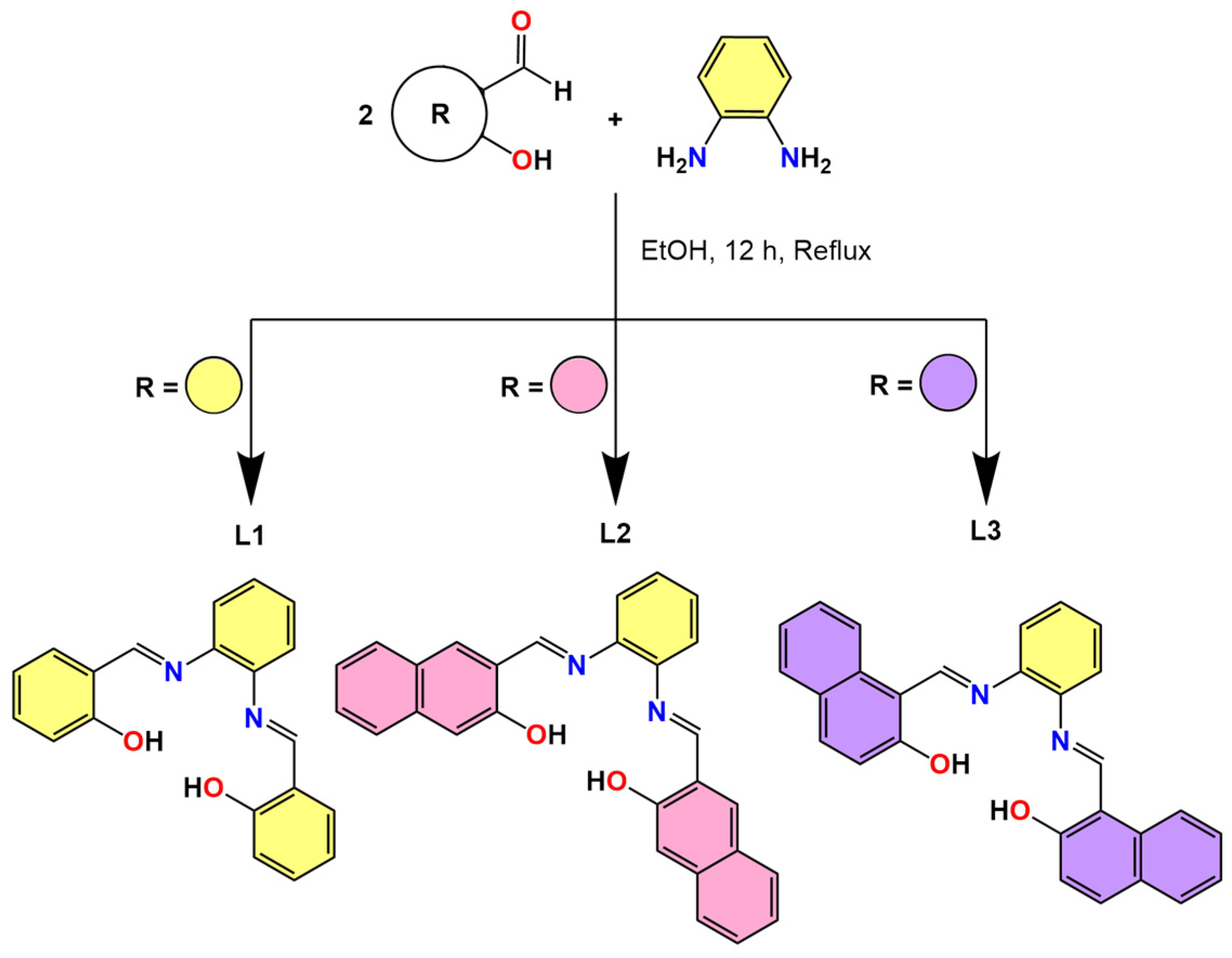
2.2.1. Synthesis of Ligands (L1–L3)
2.2.2. Synthesis of Complexes
2.3. Fabrication of Modified Carbon Paste Electrodes
2.4. Electrochemical Evaluation
3. Results and Discussion
3.1. Synthesis of Ligands
3.2. Obtention of Complexes
Spectroscopic Characterization
3.3. Morphological and Surface Analysis of Complexes
3.4. Electro-Oxidation of Methanol
3.4.1. Response to Methanol
3.4.2. Scan Rate Effect
3.4.3. Effect of MethanolConcentration
3.4.4. Electrochemical Stability
4. Conclusions
Supplementary Materials
Author Contributions
Funding
Data Availability Statement
Acknowledgments
Conflicts of Interest
References
- Pashazadeh, A.; Habibi, B. A Nickel Ion-Incorporating Zinc-Mesoporous Metal Organic Framework Thin Film Nanocomposite Modified Glassy Carbon Electrode for Electrocatalytic Oxidation of Methanol in Alkaline Media. New J. Chem. 2021, 45, 2597–2608. [Google Scholar] [CrossRef]
- Meenu, P.C.; Datta, S.P.; Singh, S.A.; Dinda, S.; Chakraborty, C.; Roy, S. A Compendium on Metal Organic Framework Materials and Their Derivatives as Electrocatalyst for Methanol Oxidation Reaction. Mol. Catal. 2021, 510, 111710. [Google Scholar] [CrossRef]
- Olah, G.A.; Goeppert, A.; Prakash, G.K.S. The “Methanol Economy”: General Aspects. In Beyond Oil and Gas; Wiley-VCH: Weinheim, Germany, 2018. [Google Scholar]
- Goeppert, A.; Olah, G.A.; Surya Prakash, G.K. Toward a Sustainable Carbon Cycle. In Green Chemistry; Elsevier: Amsterdam, The Netherlands, 2018; pp. 919–962. [Google Scholar]
- Mehmood, A.; Chae, S.Y.; Park, E.D. Low-Temperature Electrochemical Oxidation of Methane into Alcohols. Catalysts 2024, 14, 58. [Google Scholar] [CrossRef]
- Ullah, N.; Ullah, S.; Khan, S.; Guziejewski, D.; Mirceski, V. A Review: Metal-Organic Framework Based Electrocatalysts for Methanol Electro-Oxidation Reaction. Int. J. Hydrog. Energy 2023, 48, 3340–3354. [Google Scholar] [CrossRef]
- Zhang, W.; Huang, B.; Cui, Y.; Shen, L.; Yan, S. Electrooxidation: A Potential-Dependent DFT. RSC Adv. 2025, 15, 11056–11064. [Google Scholar] [CrossRef] [PubMed]
- Zhao, L.; Jiang, Y. Sustainable Anodes for Direct Methanol Fuel Cells: Advancing Beyond Platinum Scarcity with Low-Pt Alloys and Non-Pt Systems. Sustainability 2025, 17, 5086. [Google Scholar] [CrossRef]
- Malav, R.; Ray, S. Recent Advances in the Synthesis and Versatile Applications of Transition Metal Complexes Featuring Schi Ff Base Ligands. RSC Adv. 2025, 15, 22889–22914. [Google Scholar] [CrossRef]
- Zeng, Z.; Chen, Y.; Huang, J.; Jin, Y.; Wu, X. The Key Role of the Second Material’s OER Activity on MOR Durability Enhancement of the Pt Alloys. Colloids Surf. A Physicochem. Eng. Asp. 2025, 705, 135702. [Google Scholar] [CrossRef]
- Wang, S.; Wang, S.; Li, Q.; Deng, L.; Wang, L. Ligand-Regulated Schiff Base Complexes for Efficient Electrocatalytic Carbon Dioxide Reduction. J. Catal. 2025, 451, 116356. [Google Scholar] [CrossRef]
- Juyal, V.K.; Pathak, A.; Panwar, M.; Thakuri, S.C.; Prakash, O.; Agrwal, A.; Nand, V. Schiff Base Metal Complexes as a Versatile Catalyst: A Review. J. Organomet. Chem. 2023, 999, 122825. [Google Scholar] [CrossRef]
- Yari, F.; Aljabour, A. A Molecular Binuclear Nickel (II) Schiff Base Complex for Efficient HER Electrocatalysis. Catalysts 2023, 13, 148. [Google Scholar] [CrossRef]
- Kumar, N.; Asatkar, A.K.; Panda, S.; Zade, S.S. Synthesis, Characterization and Supramolecular Building Motifs of Substituted Salphen- and Thiasalphen–Metal Complexes. Polyhedron 2016, 117, 718–728. [Google Scholar] [CrossRef]
- Mazlan, N.-F.; Tan, L.L.; Karim, N.H.A.; Heng, L.Y.; Reza, M.I.H. Optical Biosensing Using Newly Synthesized Metal Salphen Complexes: A Potential DNA Diagnostic Tool. Sens. Actuators B Chem. 2017, 242, 176–188. [Google Scholar] [CrossRef]
- Uysal, Ş.; İsmet Uçan, H. The Synthesis and Characterization of Melamine Based Schiff Bases and Its Trinuclear [Salen/SalophenFe(III)] and [Salen/SalophenCr(III)] Capped Complexes. J. Incl. Phenom. Macrocycl. Chem. 2009, 65, 299–304. [Google Scholar] [CrossRef]
- Ramadan, R.M.; Abu Al-Nasr, A.K.; Ali, O.A.M. Synthesis, Spectroscopic, DFT Studies and Biological Activity of Some Ruthenium Carbonyl Derivatives of Bis-(Salicylaldehyde)Phenylenediimine Schiff Base Ligand. J. Mol. Struct. 2018, 1161, 100–107. [Google Scholar] [CrossRef]
- Teoh, S.G.; Yeap, G.Y.; Loh, C.C.; Foong, L.W.; Teo, S.B.; Fun, H.K. Inner Coordination Sphere Tin(IV) Complexes with Some O,N,N-Terdentate {N-(2-Hydroxybenzaldehyde)-1-Amino-2-Phenyleneimine and N-(2-Hydroxy-1-Naphthaldehyde)-1-Amino-2-Phenyleneimine} and O,N,N,O-Quadridentate {N,N′-Bis(2-Hydroxybenzaldehyde)-1,2-Phenylen. Polyhedron 1997, 16, 2213–2221. [Google Scholar] [CrossRef]
- Naeimi, H.; Sadat Nazifi, Z.; Matin Amininezhad, S.; Amouheidari, M. Synthesis, Characterization and in Vitro Antimicrobial Activity of Some New Schiff Bases and Their Complexes. J. Antibiot. 2013, 66, 687–689. [Google Scholar] [CrossRef]
- Şahin, M.; Koçak, N.; Erdenay, D.; Arslan, U. Zn(II), Ni(II), Cu(II) and Pb(II) Complexes of Tridentate Asymmetrical Schiff Base Ligands: Synthesis, Characterization, Properties and Biological Activity. Spectrochim. Acta Part A Mol. Biomol. Spectrosc. 2013, 103, 400–408. [Google Scholar] [CrossRef]
- Maher, K.A.; Huda, A.B.; Aveen, A.I. Synthesis and Biological Activity of Copper (Ii), Nickel(Ii) and Cobalt(Ii) with Tetradentate Schiff Bases Complexes Derived from 2-Hydroxy-1- Naphthaldehyde and Aromatic Diamines. J. Univ. Zakho 2013, 1, 246–252. [Google Scholar]
- Luo, M.; Zhu, P.; Chen, F.; Deng, M.; Gan, Q.; Chen, L. Synthesis and Composition Determination of 2-Hydroxy-1-Naphthalene Formaldehyde o-Phenylenediamine Schiff Base and Its Copper(II) Complexes: An Introduction of a Comprehensive Chemical Experiment. Univ. Chem. 2020, 35, 152–160. [Google Scholar] [CrossRef]
- Ju, M.; Shin, J. EPR Spectroscopy: A Versatile Tool for Exploring Transition Metal Complexes in Organometallic and Bioinorganic Chemistry Basic Principles. Bull. Korean Chem. Soc. 2024, 45, 835–862. [Google Scholar] [CrossRef]
- Freire, C.; de Castro, B. Epr Characterisation of Nickel (III) Complexes with N2O2 Schiff Base Ligands Derived from Naphthaldehyde and Their Pyridine Adducts. Polyhedron 1998, 17, 4227–4235. [Google Scholar] [CrossRef]
- Arion, V.B.; Rapta, P.; Telser, J.; Shova, S.S.; Breza, M.; Lušpai, K.; Kožišek, J. Syntheses, Electronic Structures, and EPR/UV−Vis−NIR Spectroelectrochemistry of Nickel(II), Copper(II), and Zinc(II) Complexes with a Tetradentate Ligand Based on S-Methylisothiosemicarbazide. Inorg. Chem. 2011, 50, 2918–2931. [Google Scholar] [CrossRef] [PubMed]
- Azevedo, F.; Freire, C.; de Castro, B. Reductive Electrochemical Study of Ni(II) Complexes with N2O2 Schiff Base Complexes and Spectroscopic Characterisation of the Reduced Species. Reactivity towards CO. Polyhedron 2002, 21, 1695–1705. [Google Scholar] [CrossRef]
- Rotthaus, O.; Labet, V.; Philouze, C.; Jarjayes, O.; Thomas, F. Pseudo-Octahedral Schiff Base Nickel(II) Complexes: Does Single Oxidation Always Lead to the Nickel(III) Valence Tautomer? Eur. J. Inorg. Chem. 2008, 2008, 4215–4224. [Google Scholar] [CrossRef]
- van Gastel, M.; Shaw, J.L.; Blake, A.J.; Flores, M.; Schröder, M.; McMaster, J.; Lubitz, W. Electronic Structure of a Binuclear Nickel Complex of Relevance to [NiFe] Hydrogenase. Inorg. Chem. 2008, 47, 11688–11697. [Google Scholar] [CrossRef]
- Thangavel, K.; Bruzzese, C.; Mendt, M.; Folli, A.; Knippen, K.; Volkmer, D.; Murphy, D.M. Unveiling the Atomistic and Electronic Structure of Ni II—NO Adduct in a MOF-Based Catalyst by EPR Spectroscopy and Quantum Chemical Modelling. Phys. Chem. Chem. Phys. 2023, 25, 15702–15714. [Google Scholar] [CrossRef]
- Naumkin, A.; Ivanova, T.; Sidorov, A.; Maslakov, K.; Kiskin, M.; Savilov, S.; Lunin, V.; Novotortsev, V.; Eremenko, I. XPS Study of Structural Transformations in Some Ni Complexes. Surf. Interface Anal. 2018, 50, 1154–1157. [Google Scholar] [CrossRef]
- Survilienė, S.; Češūnienė, A.; Jasulaitienė, V.; Jurevičiūtė, I. The Use of XPS for Study of the Surface Layers of CrNi Alloys Electrodeposited from the Cr(III)+Ni(II) Bath. Appl. Surf. Sci. 2012, 258, 9902–9906. [Google Scholar] [CrossRef]
- Brisk, M.A.; Baker, A.D. Shake-up Satellites in X-Ray Photoelectron Spectroscopy. J. Electron. Spectros. Relat. Phenom. 1975, 7, 197–213. [Google Scholar] [CrossRef]
- Li, S.; Ma, R.; Hu, J.; Li, Z.; Liu, L.; Wang, X.; Lu, Y.; Sterbinsky, G.E.; Liu, S.; Zheng, L.; et al. Coordination Environment Tuning of Nickel Sites by Oxyanions to Optimize Methanol Electro-Oxidation Activity. Nat. Commun. 2022, 13, 2916. [Google Scholar] [CrossRef]
- Wang, W.; Li, R.; Zhang, R.; Ma, J.; Wang, B. Electrocatalytic Oxidation of Methanol on Glassy Carbon Electrode Modified with Nickel-Manganese Salen Complexes Encapsulated in Mesoporous Zeolite A. J. Electroanal. Chem. 2015, 742, 110–121. [Google Scholar] [CrossRef]
- Majumdar, D.; Bhattacharya, S.K. Recent Developments of Methanol Electrooxidation Using Nickel-based Nanocatalysts. ChemistrySelect 2022, 7, e202201807. [Google Scholar] [CrossRef]
- Fleischmann, M.; Korinek, K.; Pletcher, D. The Kinetics and Mechanism of the Oxidation of Amines and Alcohols at Oxide-Covered Nickel, Silver, Copper, and Cobalt Electrodes. J. Chem. Soc. Perkin Trans. 2 1972, 1396–1403. [Google Scholar] [CrossRef]
- Cruz-Navarro, J.A.; Mendoza-Huizar, L.H.; Salazar-Pereda, V.; Cobos-Murcia, J.Á.; Colorado-Peralta, R.; Álvarez-Romero, G.A. Progress in the Use of Electrodes Modified with Coordination Compounds for Methanol Electro-Oxidation. Inorg. Chim. Acta 2021, 520, 120293. [Google Scholar] [CrossRef]
- Hernández-García, F.; Sanchez-Mora, A.T.; Serrano-García, J.S.; Amaya-Florez, A.; Ortiz-Frade, L.A.; Alvarez-Romero, G.A.; Cruz-Navarro, J.A.; Morales-Morales, D. Para-Hydroxy Ni(II)-POCOP Pincer Complexes as Modifiers on Carbon Paste Electrodes and Their Application in Methanol Electro-Oxidation in Alkaline Media. Processes 2024, 12, 1466. [Google Scholar] [CrossRef]
- Wang, X.; Xiao, C.; Li, Y.; Murayama, T.; Ishida, T.; Lin, M.; Xiu, G. In-Situ Raman Unveiled Nb-O-Bond-Dependency Selectivity for Methanol Electro-Oxidation at High Current Density. Appl. Catal. A Gen. 2023, 664, 119341. [Google Scholar] [CrossRef]
- Škugor Rončević, I.; Buzuk, M.; Kukovec, B.M.; Sokol, V.; Buljac, M.; Vladislavić, N. Electrochemical Properties and Perspectives of Nickel(II) and Cobalt(II) Coordination Polymers-Aspects and an Application in Electrocatalytic Oxidation of Methanol. Crystals 2023, 13, 718. [Google Scholar] [CrossRef]
- Nozad Golikand, A.; Golabi, S.M.; Ghannadi Maragheh, M.; Irannejad, L.; Asgari, M. Electrocatalytic Oxidation of Methanol on a Glassy Carbon Modified Electrode by Bis(1,2-Phenylenediamine) Nickel(II) Complex. J. Iran. Chem. Soc. 2007, 4, 304–309. [Google Scholar] [CrossRef]
- Revenga-Parra, M.; García, T.; Lorenzo, E.; Pariente, F. Electrocatalytic Oxidation of Methanol and Other Short Chain Aliphatic Alcohols on Glassy Carbon Electrodes Modified with Conductive Films Derived from NiII-(N,N′-Bis(2,5-Dihydroxybenzylidene)-1,2-Diaminobenzene). Sens. Actuators B Chem. 2008, 130, 730–738. [Google Scholar] [CrossRef]
- Wang, W.; Li, R.; Fan, B.; Ma, J.; Zhang, R. Mesoporous Zeolite LTA-Encapsulated Ni(II)-Schiff Base Complex: An Efficient Heterogeneous Catalyst for Electrocatalytic Oxidation of Methanol in Alkaline Media. Ionics 2015, 21, 2591–2602. [Google Scholar] [CrossRef]
- Wang, W.; Li, R.; Hua, X.; Zhang, R. Methanol Electrooxidation on Glassy Carbon Electrode Modified with Bimetallic Ni(II)Co(II)Salen Complexes Encapsulated in Mesoporous Zeolite A. Electrochim. Acta 2015, 163, 48–56. [Google Scholar] [CrossRef]
- Ourari, A.; Nora, H.; Noureddine, C.; Djouhra, A. Elaboration of New Electrodes with Carbon Paste Containing Polystyrene Functionalized by Pentadentate Nickel(II)-Schiff Base Complex—Application to the Electrooxidation Reaction of Methanol and Its Aliphatic Analogs. Electrochim. Acta 2015, 170, 311–320. [Google Scholar] [CrossRef]
- Beigi, Z.; Kianfar, A.H.; Farrokhpour, H.; Roushani, M.; Azarian, M.H.; Mahmood, W.A.K. Synthesis, Characterization and Spectroscopic Studies of Nickel (II) Complexes with Some Tridentate ONN Donor Schiff Bases and Their Electrocatalytic Application for Oxidation of Methanol. J. Mol. Liq. 2018, 249, 117–125. [Google Scholar] [CrossRef]
- Kuznetsov, N.; Yang, P.; Gorislov, G.; Zhukov, Y.; Bocharov, V.; Malev, V.; Levin, O. Electrochemical Transformations of Polymers Formed from Nickel (II) Complexes with Salen-Type Ligands in Aqueous Alkaline Electrolytes. Electrochim. Acta 2018, 271, 190–202. [Google Scholar] [CrossRef]
- Hua, X. Electrocatalytic Oxidation of Methanol on NiMnsalpnY Modified Glassy Carbon Electrode. Int. J. Electrochem. Sci. 2019, 14, 8141–8160. [Google Scholar] [CrossRef]
- Hou, G.; Shen, Z.; Tang, Y.; Chen, Q.; Cao, H.; Zhang, H.; Zheng, G.; Zhang, J. Ni-WC Nanoparticles/Carbon Aerogel Electrocatalytic Electrode for Methanol and Urea Electrooxidation. Int. J. Hydrog. Energy 2023, 48, 991–1000. [Google Scholar] [CrossRef]
- Kwon, Y.; Lai, S.C.S.; Rodriguez, P.; Koper, M.T.M. Electrocatalytic Oxidation of Alcohols on Gold in Alkaline Media: Base or Gold Catalysis? J. Am. Chem. Soc. 2011, 133, 6914–6917. [Google Scholar] [CrossRef]
- Bott-Neto, J.L.; Martins, T.S.; Machado, S.A.S.; Ticianelli, E.A. Electrocatalytic Oxidation of Methanol, Ethanol, and Glycerol on Ni(OH)2 Nanoparticles Encapsulated with Poly[Ni(Salen)] Film. ACS Appl. Mater. Interfaces 2019, 11, 30810–30818. [Google Scholar] [CrossRef]
- Wang, Y.; Liu, C.; Xiang, J.; Xing, L.; Ou, X.; Chen, S.; Xue, X.; Yu, F.; Li, R. Electrocatalytic Oxidation of Methanol on Nickel Doped Metalorganic Frameworks MIL-110 Modified Glassy Carbon Electrode in Alkaline Medium. Int. J. Electrochem. Sci. 2016, 14, 5247–5258. [Google Scholar] [CrossRef]
- Golikand, A.N.; Asgari, M.; Maragheh, M.G.; Shahrokhian, S. Methanol Electrooxidation on a Nickel Electrode Modified by Nickel-Dimethylglyoxime Complex Formed by Electrochemical Synthesis. J. Electroanal. Chem. 2006, 588, 155–160. [Google Scholar] [CrossRef]
- Ciszewski, A. Catalytic Oxidation of Methanol on a Glassy Carbon Electrode Electrochemically Modified by a Conductive NiII-curcumin Film. Electroanalysis 1995, 7, 1132–1135. [Google Scholar] [CrossRef]
- Wang, N.; Liang, S.; Zhang, L.; Cao, P.; Xu, L.; Lin, M. Ionic Liquid Supported Nickel-Based Metal-Organic Framework for Electrochemical Sensing of Hydrogen Peroxide and Electrocatalytic Oxidation of Methanol. Colloids Surf. A Physicochem. Eng. Asp. 2020, 603, 125199. [Google Scholar] [CrossRef]













| Catalyst | Electrode Label |
|---|---|
| none | CPE |
| NiL1 | NiL1@CPE |
| NiL2 | NiL2@CPE |
| NiL3 | NiL3@CPE |
| Catalyst | MeOH Oxidation Potential (V) | Current Density (mA/cm2) | Optimum Measurement Condition | Ref. |
|---|---|---|---|---|
| Poly Ni-Salen | 0.42 | 14.1 | 0.1 M MeOH/0.1 M NaOH. Scan rate 0.05 V/s | [51] |
| Ni/MIL-110 | 0.70 | 14.4 | 0.1 M MeOH/0.1 M NaOH. Scan rate: 0.05 V/s | [52] |
| Ni(II)-DMG | 0.42 | 15.9 | 0.40 M MeOH/0.1 M NaOH. Scan rate: 0.02 V/s | [53] |
| Poly-Ni(II) curcumin | 0.59 | 17.2 | 0.5 M MeOH/0.1 M NaOH. Scan rate: 0.01 V/s | [54] |
| Ni-BTC | 0.6 | 18 | 4.0 M MeOH/0.5 M NaOH. Scan rate: 0.05 V/s | [55] |
| NiL1@CPE | 1.36 | 1.40 | 0.3 M MeOH/0.1 M NaOH. Scan rate 0.1 V s−1 | This work |
| NiL2@CPE | 1.88 | 1.60 | 0.3 M MeOH/0.1 M NaOH. Scan rate 0.1 V s−1 | |
| NiL3@CPE | 1.86 | 1.63 | 0.3 M MeOH/0.1 M NaOH. Scan rate 0.1 V s−1 |
Disclaimer/Publisher’s Note: The statements, opinions and data contained in all publications are solely those of the individual author(s) and contributor(s) and not of MDPI and/or the editor(s). MDPI and/or the editor(s) disclaim responsibility for any injury to people or property resulting from any ideas, methods, instructions or products referred to in the content. |
© 2026 by the authors. Licensee MDPI, Basel, Switzerland. This article is an open access article distributed under the terms and conditions of the Creative Commons Attribution (CC BY) license.
Share and Cite
Hernández-García, F.; Pérez-Martínez, E.; Colorado-Peralta, R.; Cruz-Navarro, J.A.; Morales-Morales, D. Salophen-Type Ni(II) Schiff Base Complexes Derived from Naphthalene Aldehydes and Their Application as Catalysts for the Methanol Electro-Oxidation Reaction. Organics 2026, 7, 14. https://doi.org/10.3390/org7010014
Hernández-García F, Pérez-Martínez E, Colorado-Peralta R, Cruz-Navarro JA, Morales-Morales D. Salophen-Type Ni(II) Schiff Base Complexes Derived from Naphthalene Aldehydes and Their Application as Catalysts for the Methanol Electro-Oxidation Reaction. Organics. 2026; 7(1):14. https://doi.org/10.3390/org7010014
Chicago/Turabian StyleHernández-García, Fabiola, Emanuel Pérez-Martínez, Raúl Colorado-Peralta, Jesús Antonio Cruz-Navarro, and David Morales-Morales. 2026. "Salophen-Type Ni(II) Schiff Base Complexes Derived from Naphthalene Aldehydes and Their Application as Catalysts for the Methanol Electro-Oxidation Reaction" Organics 7, no. 1: 14. https://doi.org/10.3390/org7010014
APA StyleHernández-García, F., Pérez-Martínez, E., Colorado-Peralta, R., Cruz-Navarro, J. A., & Morales-Morales, D. (2026). Salophen-Type Ni(II) Schiff Base Complexes Derived from Naphthalene Aldehydes and Their Application as Catalysts for the Methanol Electro-Oxidation Reaction. Organics, 7(1), 14. https://doi.org/10.3390/org7010014

