Simple Compact UWB Vivaldi Antenna Arrays for Breast Cancer Detection
Abstract
1. Introduction
2. The Proposed Antenna Design
2.1. Simple Compact 2 × 1 UWB Linear VTSA Array (Array 1)
Parametric Studies
2.2. Ultra Compact 2 × 1 UWB Linear VNSA Array (Array 2)
Parametric Studies
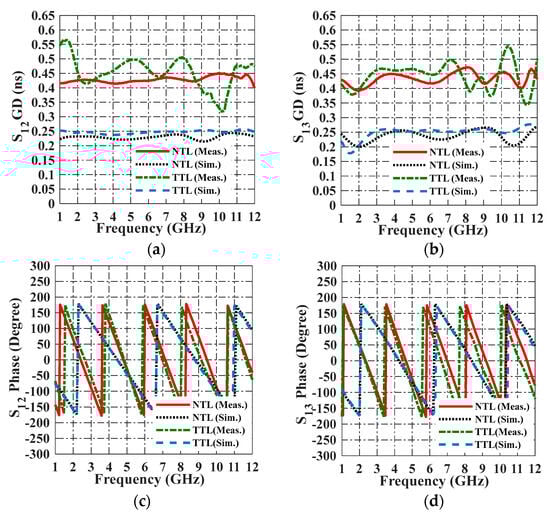
3. Results and Discussion
4. Application of The Proposed Antenna Design for Cancer Detection Scenario
5. Conclusions
Author Contributions
Funding
Data Availability Statement
Conflicts of Interest
References
- Saleh, S.; Ismail, W.; Abidin, I.S.Z.; Jamaluddin, M.H.; Bataineh, M.H.; Alzoubi, A.S. Compact UWB Vivaldi Tapered Slot Antenna. Alex. Eng. J. 2022, 61, 4977–4994. [Google Scholar] [CrossRef]
- Balanis, C.A. Antenna Theory: Analysis and Design; John Wiley & Sons: Hoboken, NJ, USA, 2016; ISBN 1118642066. [Google Scholar]
- Roshani, S.; Roshani, S.; Zarinitabar, A. A Modified Wilkinson Power Divider with Ultra Harmonic Suppression Using Open Stubs and Lowpass Filters. Analog. Integr. Circuits Signal Process. 2019, 98, 395–399. [Google Scholar] [CrossRef]
- Al Shamaileh, K.; Dib, N.; Abushamleh, S. A Dual-Band 1: 10 Wilkinson Power Divider Based on Multi-T-Section Characterization of High-Impedance Transmission Lines. IEEE Microw. Wirel. Compon. Lett. 2017, 27, 897–899. [Google Scholar] [CrossRef]
- Liu, Y.Q.; Liang, J.G.; Wang, Y.W. Gain-Improved Double-Slot TSA with Y-Shaped Corrugated Edges. Electron. Lett. 2017, 53, 759–760. [Google Scholar] [CrossRef]
- Wang, Y.-W.; Wang, G.-M.; Zong, B.-F. Directivity Improvement of Vivaldi Antenna Using Double-Slot Structure. IEEE Antennas Wirel. Propag. Lett. 2013, 12, 1380–1383. [Google Scholar] [CrossRef]
- Wang, Y.-W.; Wang, G.-M.; Yu, Z.-W.; Liang, J.-G.; Gao, X.-J. Ultra-Wideband E-Plane Monopulse Antenna Using Vivaldi Antenna. IEEE Trans. Antennas Propag. 2014, 62, 4961–4969. [Google Scholar] [CrossRef]
- Mohammad, Z.; Sarker, N.; Das, C. Design and Analysis of a Double Slotted with Multiple Strips Vivaldi Antenna for High-Speed 5G Communications. In Proceedings of the 3rd IEEE International Conference on Telecommunications and Photonics, ICTP 2019, Dhaka, Bangladesh, 28–30 December 2019; pp. 19–22. [Google Scholar] [CrossRef]
- Kumar, P.; Akhter, Z.; Jha, A.K.; Akhta, M.J. Directivity Enhancement of Double Slot Vivaldi Antenna Using Ani Isotropic Zero-Index Me Etamaterials. In Proceedings of the 2015 IEEE International Symposium on Antennas and Propagation & USNC/URSI National Radio Science Meeting, Vancouver, BC, Canada, 19–24 July 2015; pp. 2333–2334. [Google Scholar]
- Hoang, M.-H.; Yang, K.; John, M.; McEvoy, P.; Ammann, M. Ka-Band Vivaldi Antenna with Novel Core Element for High-Gain. In Proceedings of the Loughborough Antennas & Propagation Conference (LAPC 2017), Loughborough, UK, 13–14 November 2017; IET: London, UK, 2017; pp. 1–4. [Google Scholar]
- Zhu, S.; Liu, H.; Wen, P.; Du, L.; Zhou, J. A Miniaturized and High Gain Double-Slot Vivaldi Antenna Using Wideband Index-Near-Zero Metasurface. IEEE Access 2018, 6, 72015–72024. [Google Scholar] [CrossRef]
- Witriani, F.N.; Amrullah, Y.S.; Darwis, F.; Taufiqqurrachman, T.; Wijayanto, Y.N.; Paramayudha, K.; Elisma, E. Gain Enhancement of Double-Slot Vivaldi Antenna Using Corrugated Edges and Semicircle Director for Microwave Imaging Application. J. Elektron. Dan Telekomun. 2021, 21, 85. [Google Scholar] [CrossRef]
- Khaled Ahmed, S.; Abdul Hassain, Z.A. Design of High Gain Antenna Based on Array of Double Slot Vivaldi Structure. J. Eng. Sustain. Dev. 2020, 24, 241–246. [Google Scholar] [CrossRef]
- Lin, S.; Yang, S.; Fathy, A.E.; Elsherbini, A. Development of a Novel UWB Vivaldi Antenna Array Using SIW Technology. Prog. Electromagn. Res. 2009, 90, 369–384. [Google Scholar] [CrossRef]
- Yao, Y.; Liu, M.; Chen, W.; Feng, Z. Analysis and Design of Wideband Widescan Planar Tapered Slot Antenna Array. IET Microw. Antennas Propag. 2010, 4, 1632–1638. [Google Scholar] [CrossRef]
- Soothar, P.; Wang, H.; Muneer, B.; Dayo, Z.A.; Chowdhry, B.S. A Broadband High Gain Tapered Slot Antenna for Underwater Communication in Microwave Band. Wirel. Pers. Commun. 2021, 116, 1025–1042. [Google Scholar] [CrossRef]
- Ren, J.; Fan, H.; Tang, Q.; Yu, Z.; Xiao, Y.; Zhou, X. An Ultra-Wideband Vivaldi Antenna System for Long-Distance Electromagnetic Detection. Appl. Sci. 2022, 12, 528. [Google Scholar] [CrossRef]
- Ghimire, J.; Diba, F.D.; Kim, J.H.; Choi, D.Y. Vivaldi Antenna Arrays Feed by Frequency-Independent Phase Shifter for High Directivity and Gain Used in Microwave Sensing and Communication Applications. Sensors 2021, 21, 6091. [Google Scholar] [CrossRef] [PubMed]
- Li, P.; Liang, J.; Chen, X.; Parini, C. A 4-Element Ultra-Wideband Tapered-Slot-Fed Antenna Array. In Proceedings of the 2006 IEEE Antennas and Propagation Society International Symposium, Albuquerque, NM, USA, 9–14 July 2006; pp. 4475–4478. [Google Scholar]
- Xiao, B.; Yao, H.; Li, M.; Hong, J.S.; Yeung, K.L. Flexible Wideband Microstrip-Slotline-Microstrip Power Divider and Its Application to Antenna Array. IEEE Access 2019, 7, 143973–143979. [Google Scholar] [CrossRef]
- Tianang, E.G.; Elmansouri, M.A.; Filipovic, D.S. Cavity-Backed Vivaldi Array Antenna. In Proceedings of the 2016 10th European Conference on Antennas and Propagation, EuCAP 2016, Davos, Switzerland, 10–15 April 2016; Volume 1, pp. 1–4. [Google Scholar] [CrossRef]
- Tianang, E.G.; Elmansouri, M.A.; Filipovic, D.S. Flush-Mountable Vivaldi Array Antenna. In Proceedings of the 2016 IEEE Antennas and Propagation Society International Symposium, APSURSI 2016—Proceedings, Fajardo, PR, USA, 26 June–1 July 2016; Volume 425, pp. 1837–1838. [Google Scholar] [CrossRef]
- Tianang, E.G.; Member, S.; Elmansouri, M.A.; Member, S.; Filipovic, D.S.; Member, S.; An, A. Ultra-Wideband Lossless Cavity-Backed Vivaldi Antenna. IEEE Trans. Antennas Propag. 2018, 66, 115–124. [Google Scholar] [CrossRef]
- Prakash, A.; Chattoraj, N.; Shukla, S.B. Design and Development of Vivaldi Antenna Array for Wind Profiler RADAR Application. Microw. Opt. Technol. Lett. 2018, 60, 725–731. [Google Scholar] [CrossRef]
- Dong, Y.; Choi, J.; Itoh, T. Vivaldi Antenna with Pattern Diversity for 0.7 to 2.7 GHz Cellular Band Applications. IEEE Antennas Wirel. Propag. Lett. 2018, 17, 247–250. [Google Scholar] [CrossRef]
- Liu, H.; Liu, Y.; Zhang, W.; Gao, S. An Ultra-Wideband Horizontally Polarized Omnidirectional Circular Connected Vivaldi Antenna Array. IEEE Trans. Antennas Propag. 2017, 65, 4351–4356. [Google Scholar] [CrossRef]
- Saleh, S.; Ismail, W.; Zainal Abidin, I.S.; Jamaluddin, M.H.; Al-Gailani, S.A.; Alzoubi, A.S.; Bataineh, M.H. Nonuniform Compact Ultra-Wide Band Wilkinson Power Divider with Different Unequal Split Ratios. J. Electromagn. Waves Appl. 2020, 34, 154–167. [Google Scholar] [CrossRef]
- Saleh, S.; Ismail, W.; Zainal Abidin, I.S.; Jamaluddin, M.H.; Bataineh, M.H.; Al-Zoubi, A.S. Novel Compact UWB Vivaldi Nonuniform Slot Antenna with Enhanced Bandwidth. IEEE Trans. Antennas Propag. 2022, 70, 6592–6603. [Google Scholar] [CrossRef]
- Saleh, S.; Timmons, N.; Morrison, J.; Ismail, W. Compact Linearly Polarized 5G Vivaldi Non-Uniform Slot Filtering Antenna. Ain Shams Eng. J. 2023, 15, 102364. [Google Scholar] [CrossRef]
- Saleh, S.; Ismail, W.; Zainal Abidin, I.S.; Jamaluddin, M.H.; Bataineh, M.H.; Alzoubi, A.S. N-Way Compact Ultra-Wide Band Equal and Unequal Split Tapered Transmission Lines Wilkinson Power Divider. Jordanian J. Comput. Inf. Technol. 2020, 6, 291–302. [Google Scholar] [CrossRef]
- Pozar, D.M. Microwave Engineering; John Wiley & Sons: Hoboken, NJ, USA, 2011; ISBN 0470631554. [Google Scholar]
- Parveen, F.; Wahid, P. Design of Miniaturized Antipodal Vivaldi Antennas for Wideband Microwave Imaging of the Head. Electronics 2022, 11, 2258. [Google Scholar] [CrossRef]
- Elsheakh, D.M.N.; Eltresy, N.A.; Abdallah, E.A. Ultra Wide Bandwidth High Gain Vivaldi Antenna for Wireless Communications. Prog. Electromagn. Res. 2017, 69, 105–111. [Google Scholar] [CrossRef]
- Gibson, P.J. The Vivaldi Aerial. In Proceedings of the 1979 9th European Microwave Conference, Brighton, UK, 17–20 September 1979; IEEE: New York, NY, USA, 1979; pp. 101–105. [Google Scholar]
- AlFares, B.; AlJabr, A.; Zainalabedin, M.; AlMuzain, M.; Saleh, G.; AlHashim, M. Heterogenous Breast Phantom with Carcinoma for Ionizing Machines. In Proceedings of the 2021 IEEE International IOT, Electronics and Mechatronics Conference (IEMTRONICS), Toronto, ON, Canada, 21–24 April 2021; IEEE: New York, NY, USA, 2021; pp. 1–6. [Google Scholar]
- White, S.A.; Landry, G.; Van Gils, F.; Verhaegen, F.; Reniers, B. Influence of Trace Elements in Human Tissue in Low-Energy Photon Brachytherapy Dosimetry. Phys. Med. Biol. 2012, 57, 3585–3596. [Google Scholar] [CrossRef] [PubMed]
- Ruvio, G.; Solimene, R.; Cuccaro, A.; Fiaschetti, G.; Fagan, A.J.; Cournane, S.; Cooke, J.; Ammann, M.J.; Tobon, J.; Browne, J.E. Multimodal Breast Phantoms for Microwave, Ultrasound, Mammography, Magnetic Resonance and Computed Tomography Imaging. Sensors 2020, 20, 2400. [Google Scholar] [CrossRef]
- Saeidi, T.; Ismail, I.; Mahmood, S.N.; Alani, S.; Alhawari, A.R.H. Microwave Imaging of Voids in Oil Palm Trunk Applying UWB Antenna and Robust Time-Reversal Algorithm. J. Sens. 2020, 2020, 8895737. [Google Scholar] [CrossRef]

















| Parameters | Sim. | Meas. | ||
|---|---|---|---|---|
| NTL | TTL | NTL | TTL | |
| S11 | <−10.62 dB at 3.46 to over 12 GHz | <−11.84 dB at 1.4 to over 12 GHz | <−13.6 dB at below 1 to 10.34 GHz | <−10.55 dB at 2.27 to over 12 GHz |
| S22 | <−10.6 dB at below 1 to over 12 GHz | <−11 dB at below 1 to over 12 GHz | <−11.5 dB at below 1 to over 12 GHz | <−11.8 dB at 2.5 to 11.56 GHz |
| S33 | <−14 dB at 2.21 to over 12 GHz | <−11.15 dB at 2.88 to over 12 GHz | <−14.26 dB at 1.96 to over 12 GHz | <−11.26 dB at 2.63 to over 12 GHz |
| S23 | <−16.28 dB at 3.66 to over 12 GHz | <−14.17 dB at 1.7 to over 12 GHz | <−10 dB at 3.22 to over 12 GHz | <−13.71 dB at 2.45 to over 12 GHz |
| S12 | −1.76–1 dB | −1.76–1.5 dB | −1.76–1 dB | −1.76–1.5 dB |
| S13 | −4.77 ± 0.3 dB | −4.77 ± 0.3 dB | −4.77 ± 0.3 dB | −4.77 ± 0.3 dB |
| S12 GD | around 0.22 ns | around 0.25 ns | around 0.5 ns | around 0.45 ns |
| S13 GD | around 0.25 ns | around 0.25 ns | around 0.45 ns | around 0.45 ns |
| Parameters | Calculated | Optimized (VTSA [1]) | Optimized (Array 1) |
|---|---|---|---|
| r | - | 0.17 | 0.174 |
| Wmax (mm) | 24.45 | 21.03 | 27.46 |
| LT (mm) | 27 | 25 | 26.3 |
| Lqw (mm) | 6.57 | 5.7 | 5.5 |
| Wmin (mm) | - | 0.3 | 0.34 |
| radsl (mm) | 3.285 | 1.89 | 2.35 |
| Dis (mm) | - | 37.2 | 45 |
| sp | 52.36 | - | 83.3 |
| Wa (mm) | 1.819 | 1.2 | 0.96 |
| Wp1 (mm) | 1.819 | - | 1.85 |
| Wp2 = Wp3 (mm) | 1.819 | - | 1.85 |
| Lar (mm) | - | - | 56 |
| War (mm) | - | - | 135 |
| Parameters | Sim. | Meas. | ||
|---|---|---|---|---|
| NTL | TTL | NTL | TTL | |
| S11 | <−10 dB at 2.2 to over 12 GHz | <−11.23 dB at 2.1 to over 12 GHz | <−13.4 dB at 1.96 to 11.1 GHz | <−10.6 dB at 2.46 to over 12 GHz |
| S22 | <−10 dB at below 1 to 11.3 GHz | <−10.34 dB at below 1 to over 12 GHz | <−11.53 dB at below 1 to 12 GHz | <−10 dB at 3 to over 12 GHz |
| S33 | <−10.4 dB at 3.4 to over 10.25 GHz | <−11.91 dB at 2.91 to over 12 GHz | <−10 dB at 3 to over 12 GHz | <−10.35 dB at 3.48 to over 12 GHz |
| S23 | <−11.38 dB at 3.3 to over 12 GHz | <−14.49 dB at 1.74 to over GHz | <−12.15 dB at 2.8 to over 12 GHz | <−14.3 dB at 1.88 to over 12 GHz |
| S12 | −1.24–1.15 dB | −1.24–1.15 dB | −1.24–1.15 dB | −1.24–2 dB |
| S13 | −6 ± 0.7 dB | −6 ± 0.7 dB | −6 ± 0.7 dB | −6 ± 0.7 dB |
| S12 GD | around 0.23 ns | around 0.25 ns | around 0.43 ns | around 0.5 ns |
| S13 GD | around 0.25 ns | around 0.25 ns | around 0.45 ns | around 0.5 ns |
| Parameters | Calculated | Optimized (VNSA [28]) | Optimized (Array 2) |
|---|---|---|---|
| r | - | 0.17 | |
| Wmax (mm) | 24.45 | 21.03 | |
| LT (mm) | 27 | LN (mm) = 16.75 | |
| Lqw (mm) | 6.57 | 5.76 | 5.74 |
| Wmin (mm) | - | 0.286 | |
| radsl (mm) | 3.285 | 1.505 | 1.32 |
| dis (mm) | - | 23.8 | 21.8 |
| sp | 52.36 | - | 50 |
| Wa (mm) | 1.819 | 1.25 | 1.34 |
| Wp1 (mm) | 1.819 | - | 2.07 |
| Wp2 = Wp3 (mm) | 1.819 | - | 1.7 |
| Lar (mm) | - | - | 44.755 |
| War (mm) | - | - | 81.08 |
| Antenna, Area (mm2) | S11(dB), Frequency Band (GHz), BW (GHz) | Peak Realized Gain (dBi) % Improvement | Total Efficiency (%) Range | |||
|---|---|---|---|---|---|---|
| Meas. | Sim | Meas. | Sim | Meas. | Sim. | |
| VTSA | <−11.15, 3.14−13.48, 10.34 | <−10.84, 2.95–12.71, 9.76 | 2.2–6.51 | 2.1–6.63 | 83.72–91.93 | 84.7–96.1 |
| Array 1, 7560 mm2 | <−10.28, 2.42–11.52, 9.1 | <−10.11, 2.51–10.41, 7.9 | 3.36–8.61 (VTSA: 24.39%↑) | 3.49–8.94 (VTSA: 25.84%↑) | 68.92–81.39 | 70.98–93.52 |
| VNSA | <−10.89, 2.9–13.55, 10.65 | <−10.32, 2.34–12.88, 10.54 | 1.8–6.91 | 2.16–7.1 | 81.14–91.98 | 87.5–97.3 |
| Array 2, 3628.33 mm2 (52%↓) | <−10.2,3.24–13, 9.76 (Array1: 6.76%↑) | <−10.29, 3.22–12.85, 9.63 (Array1: 17.96%↑) | 2.51–8.14 (Array1: 5.46%↓, VNSA: 15.11%↑) | 2.83–8.39 (Array1: 6.26%↓, VNSA: 15.38%↑) | 73.17–92.11 | 74.75–94.77 |
| Ref. | εr | S11 (dB) at Freq Band (GHz), BW (GHz) | Gain (dBi) | Antenna, Feeding | Volume mm × mm, mm |
|---|---|---|---|---|---|
| Array 1 | 3.55 | <−10.28, 2.42–11.52, 9.1 | 3.36–8.61 | 1 × 2 VTSA array, NTL WPD | 135 × 56 × 0.813 |
| Array 2 | <−10.2, 3.24–13, 9.76 | 2.51–8.14 | 1 × 2 VNSA array, NTL WPD | 88.08 × 44.755 × 0.813 | |
| [7] | 2.65 | <−11.55, 2.25–11.1, 8.85 | 10.1–14.81 | (2 layers) DSVA with diagonal rectangular-shaped corrugations | 150 × 100 × 0.5 |
| [9] | 4.3 | <−12.7, 4->10, 6 | Directivity (3.96–12.54) | DSVA with loaded ZIM unit cells | 90 × 85 × 1 |
| [26] | 2.55 | <−10, 1.28–11.51, 10.23 | 0.5–4 | 1 × 16 VTSA array circularly connected, T-junction PD | × 1 |
| [11] | 2.65 | <−10, 2.4–12, 9.6 | 0.7–14.2 | DSVA with ZIM unit cells and pair of DGS | 130 × 80 × 1 |
| [20] | 10.2 | <−10, 3.4–8.3, 4.9 <−8.4, at 4.6 | 6.25–12.3 | H-plane 1 × 4 VTSA, MSM PD | NA |
| [12] | 3.55 | <−9.84, 4.2–11, 6.8 | 8–13.3 (Sim) | DSVA with director and corrugated slots | 130 × 80 × 0.813 |
| [18] | 4.3 | <−10, 2.5–6.8, 4.3 & 7.5–9.5, 2 | 6.5–14.12 | 1 × 6 VTSA array, T-junction PD | 167.48 × 158.25 × 0.6 |
| Parameters | Skin | Fat | Fibroglandular | Tumor |
|---|---|---|---|---|
| Mass density (Kg/m3) | 1090 | 950 | 1000 | 440 |
| εr | 34.2 | 4.32 | 39.65 | 54.9 |
| Conductivity (S/m) | 4.67 | 0.509 | 7.65 | 4 |
Disclaimer/Publisher’s Note: The statements, opinions and data contained in all publications are solely those of the individual author(s) and contributor(s) and not of MDPI and/or the editor(s). MDPI and/or the editor(s) disclaim responsibility for any injury to people or property resulting from any ideas, methods, instructions or products referred to in the content. |
© 2024 by the authors. Licensee MDPI, Basel, Switzerland. This article is an open access article distributed under the terms and conditions of the Creative Commons Attribution (CC BY) license (https://creativecommons.org/licenses/by/4.0/).
Share and Cite
Saleh, S.; Saeidi, T.; Timmons, N. Simple Compact UWB Vivaldi Antenna Arrays for Breast Cancer Detection. Telecom 2024, 5, 312-332. https://doi.org/10.3390/telecom5020016
Saleh S, Saeidi T, Timmons N. Simple Compact UWB Vivaldi Antenna Arrays for Breast Cancer Detection. Telecom. 2024; 5(2):312-332. https://doi.org/10.3390/telecom5020016
Chicago/Turabian StyleSaleh, Sahar, Tale Saeidi, and Nick Timmons. 2024. "Simple Compact UWB Vivaldi Antenna Arrays for Breast Cancer Detection" Telecom 5, no. 2: 312-332. https://doi.org/10.3390/telecom5020016
APA StyleSaleh, S., Saeidi, T., & Timmons, N. (2024). Simple Compact UWB Vivaldi Antenna Arrays for Breast Cancer Detection. Telecom, 5(2), 312-332. https://doi.org/10.3390/telecom5020016

