A Fractal Topology-Based Method for Joint Roughness Coefficient Calculation and Its Application to Coal Rock Surfaces
Abstract
1. Introduction
2. Theory, Models and Experiments
2.1. Weierstrass-Mandelbrot Function and Profiles Generation Method
2.2. Fractal Topology Theory
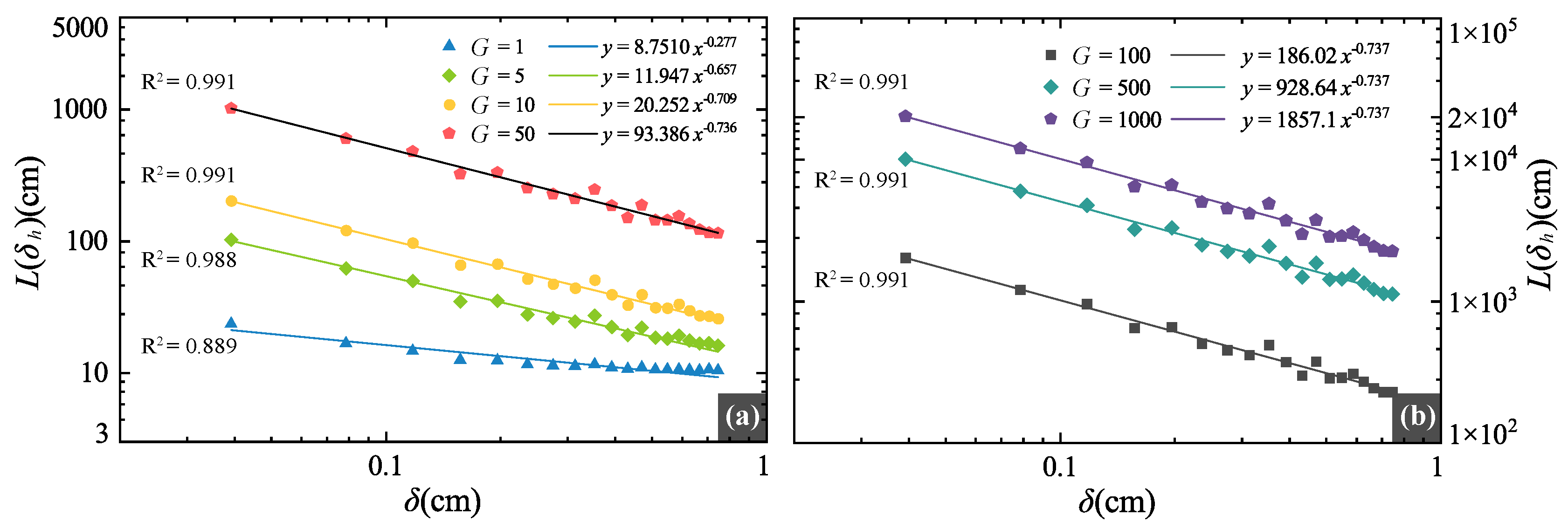
2.3. Calculation of the Fractal Dimension and JRC for Fracture Profiles
- Dimensional Inconsistency: The left side, , has dimensions of length. The right side has also with dimensions of length, H is a dimensionless parameter (), thus, the fitting parameter C should carry the necessary dimension to ensure the dimensional consistency.
- Scale Dependence: Because this equation represents a nonlinear relationship, the constant C becomes dependent on . Its value will vary depending on the study area, data sampling interval, and total profile length. This means that if the same profile proportionally, the fitted valued of C will change. For example, suppose an original profile with a horizontal scale satisfies the relationship , resulting in . If we scale both and by a factor of 5 and refit the data, the resulting C would be 1.6207, different from the original value of 1.
3. Results and Discussion
3.1. Fractal Properties of W-M Profiles
3.2. Power Law Relationship of and
4. The New Method for Evaluating Rock Joint JRC and Its Application on AFM Surfaces
4.1. The Fitting Equation of JRC for Barton Curves
4.2. Validation and Comparison of the New JRC Model with Other Methods
4.3. The Application and Analysis of JRC Evaluation Method on AFM Surfaces
5. Conclusions
- (1)
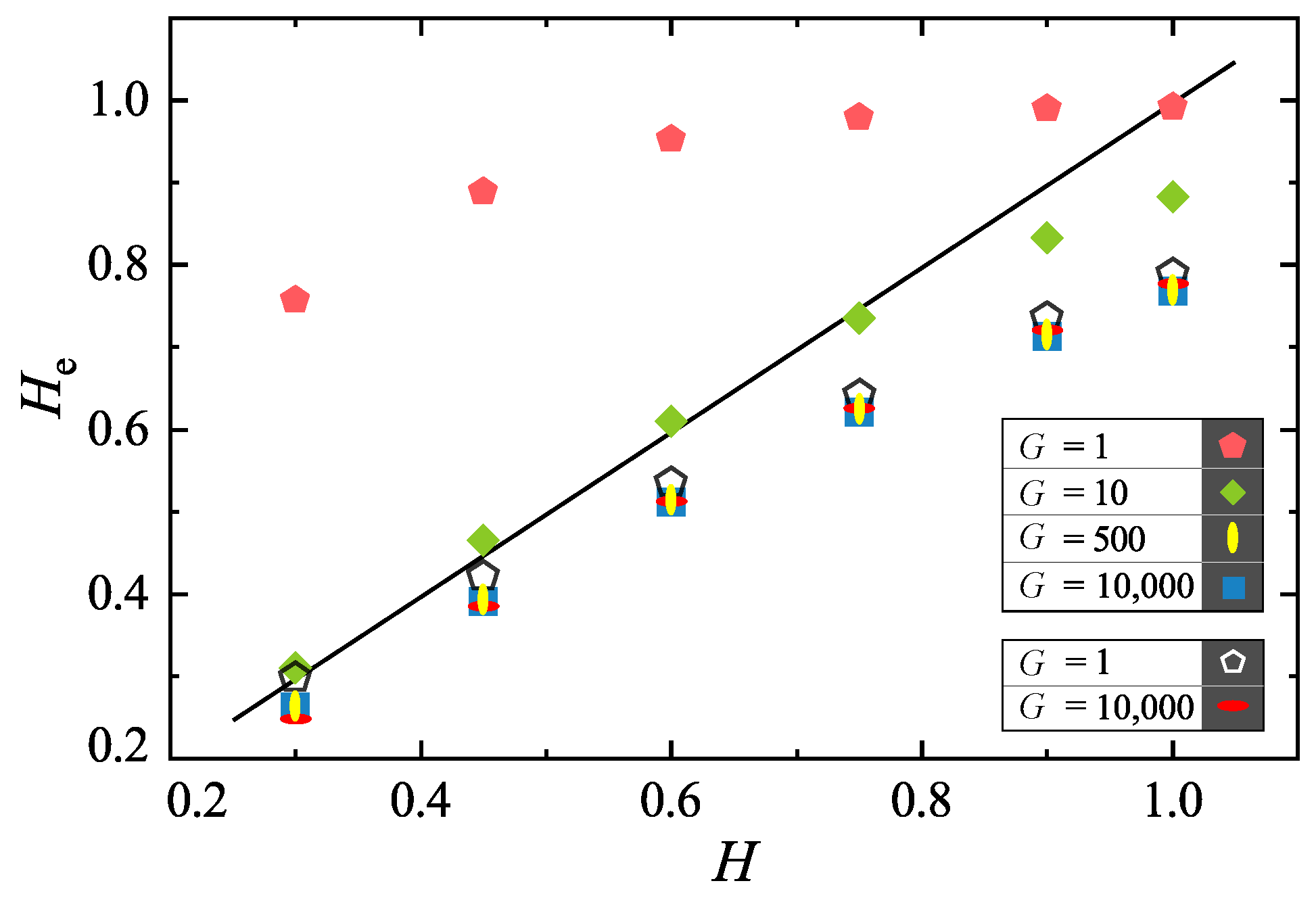
- In the model , the Hurst exponent H is a scale-invariant parameter reflecting the scale-invariant characteristics of the profile’s frequency distribution, while the coefficient C is a scale-dependent parameter capturing amplitude-related scale effects. These two parameters describe different aspects of rock profile morphology and are not contradictory.
- (2)
- As an empirical parameter comprehensively reflecting the roughness of a joint surface, JRC incorporates both scale information and undulation characteristics. This study suggests that the combined effect of both parameter C (reflecting height information) and H (reflecting frequency information) should be considered to fully characterize the rough features of structural surfaces.
- (3)
- Analysis based on AFM scanning of coal rock samples confirms that JRC is primarily controlled macroscopically by height-related parameters but is also influenced by frequency distribution characteristics. The proposed two-parameter model , by integrating both the height and frequency attributes of profiles, achieves higher predictive accuracy.
Author Contributions
Funding
Data Availability Statement
Acknowledgments
Conflicts of Interest
References
- Adesida, P.; Adaramola, S. Estimation of Button Bit Drillability Index on Granitic Rocks Using Their Mineralogy Composition and Rock Strength. J. Min. Environ. 2025, 16, 1237–1251. [Google Scholar]
- Karami, A.; Akbari, A.; Kazemzadeh, Y.; Nikravesh, H. Enhancing Hydraulic Fracturing Efficiency through Machine Learning. J. Pet. Explor. Prod. Technol. 2025, 15, 5. [Google Scholar] [CrossRef]
- Kulatilake, P.; Ankah, L. Rock Joint Roughness Measurement and Quantification—A Review of the Current Status. Geotechnics 2023, 3, 116–411. [Google Scholar] [CrossRef]
- Jin, Y.; Liu, D.; Zheng, J.; Dong, J.; Wang, Q.; Huang, H.; Zhao, J.; Liu, S.; Song, H. Principle and approach for the characterization of complexity types and their assembly pattern in natural fractal porous reservoir. Chin. J. Rock Mech. Eng. 2023, 42, 781–797. [Google Scholar]
- Jin, Y.; Quan, W.; Qin, J.; Liu, X.; Zheng, J.; Song, H. Quantitative characterization of complex assembly in fractal pore-throat porous media. J. China Coal Soc. 2020, 45, 1845–1854. [Google Scholar]
- Ju, Y.; Ren, Z.; Zheng, J.; Gao, F.; Mao, L.; Pen Chiang, F.; Xie, H. Quantitative visualization methods for continuous evolution of three-dimensional discontinuous structures and stress field in subsurface rock mass induced by excavation and construction—An overview. Eng. Geol. 2020, 265, 105443. [Google Scholar] [CrossRef]
- Zeng, L.; Lv, W.; Xu, X.; Tian, H.; Lu, S.; Zhang, M. Development characteristics, formation mechanism and hydrocarbon significance of bedding fractures in typical tight sandstone and shale. Acta Pet. Sin. 2022, 43, 180–191. [Google Scholar]
- An, F.H.; Cheng, Y.P. An explanation of large-scale coal and gas outbursts in underground coal mines: The effect of low-permeability zones on abnormally abundant gas. Nat. Hazards Earth Syst. Sci. 2014, 14, 2125–2132. [Google Scholar] [CrossRef]
- Ban, L.; Tao, Z.; Du, W.; Hou, Y. A consecutive joint shear strength model considering the 3D roughness of real contact joint surface. Int. J. Min. Sci. Technol. 2023, 33, 617–624. [Google Scholar] [CrossRef]
- Jin, Y.; Dong, J.; Zhang, X.; Li, X.; Wu, Y. Scale and size effects on fluid flow through self-affine rough fractures. Int. J. Heat Mass Transf. 2017, 105, 443–451. [Google Scholar] [CrossRef]
- Jin, Y.; Zheng, J.; Dong, J.; Huang, C.; Li, X.; Wu, Y. Fractal seepage law characterizing fluid flow through a single rough cleat composed of self-affine surfaces. Chin. Sci. Bull. 2015, 60, 2036–2047. [Google Scholar]
- Xia, C.; WANG, Y.; Zheng, J.; Lv, Z. Study of differential frost heave of fractured rock mass. Rock Soil Mech. 2020, 41, 1161–1168. [Google Scholar]
- Barton, N. Review of a new shear-strength criterion for rock joints. Eng. Geol. 1973, 7, 287–332. [Google Scholar] [CrossRef]
- Zhang, X.; Cao, Z.; Yao, C.; Yang, J.; Ma, Y.; Ye, Z.; Zhou, C. Effect of nonstationarity on shear properties of rock joints and a new peak shear strength criterion. Int. J. Geomech. 2023, 23, 04023213. [Google Scholar] [CrossRef]
- Ban, L.; Du, W.; Jin, T.; Qi, C.; Li, X. A roughness parameter considering joint material properties and peak shear strength model for rock joints. Int. J. Min. Sci. Technol. 2021, 31, 413–420. [Google Scholar] [CrossRef]
- Mo, P.; Li, Y. Estimating the three-dimensional joint roughness coefficient value of rock fractures. Bull. Eng. Geol. Environ. 2019, 78, 857–866. [Google Scholar] [CrossRef]
- Stigsson, M.; Mas-Ivars, D. A novel conceptual approach to objectively determine jrc using fractal dimension and asperity distribution of mapped fracture traces. Rock Mech. Rock Eng. 2019, 52, 1041–1054. [Google Scholar] [CrossRef]
- Tatone, B.S.; Grasselli, G. A new 2D discontinuity roughness parameter and its correlation with JRC. Int. J. Rock Mech. Min. Sci. 2010, 47, 1391–1400. [Google Scholar] [CrossRef]
- Wang, L.; Wang, C.; Khoshnevisan, S.; Ge, Y.; Sun, Z. Determination of two-dimensional joint roughness coefficient using support vector regression and factor analysis. Eng. Geol. 2017, 231, 238–251. [Google Scholar] [CrossRef]
- Barton, N.; Choubey, V. The shear strength of rock joints in theory and practice. Rock Mech. Felsmech. Mec. Des Roches 1977, 10, 1–54. [Google Scholar] [CrossRef]
- Yu, X.; Vayssade, B. Joint profiles and their roughness parameters. Int. J. Rock Mech. Min. Sci. Geomech. Abstr. 1991, 28, 333–336. [Google Scholar] [CrossRef]
- Jang, H.-S.; Kang, S.-S.; Jang, B.-A. Determination of joint roughness coefficients using roughness parameters. Rock Mech. Rock Eng. 2014, 47, 2061–2073. [Google Scholar] [CrossRef]
- Yang, Z.Y.; Lo, S.C.; Di, C. Reassessing the joint roughness coefficient (JRC) estimation using Z2. Rock Mech. Rock Eng. 2001, 34, 243–251. [Google Scholar] [CrossRef]
- Ficker, T. Rock joint coefficients and their computerized classification. Int. J. Min. Sci. Technol. 2019, 29, 701–709. [Google Scholar] [CrossRef]
- Tse, R.; Cruden, D. Estimating joint roughness coefficients. Int. J. Rock Mech. Min. Sci. Geomech. Abstr. 1979, 16, 303–307. [Google Scholar] [CrossRef]
- Zhao, L.; Zhang, S.; Huang, D.; Zuo, S.; Li, D. Quantitative characterization of joint roughness based on semivariogram parameters. Int. J. Rock Mech. Min. Sci. 2018, 109, 1–8. [Google Scholar]
- Barton, N.; Wang, C.; Yong, R. Advances in Joint Roughness Coefficient (JRC) and Its Engineering Applications. J. Rock Mech. Geotech. Eng. 2023, 15, 3352–3379. [Google Scholar] [CrossRef]
- Abolfazli, M.; Fahimifar, A. An investigation on the correlation between the joint roughness coefficient (JRC) and joint roughness parameters. Constr. Build. Mater. 2020, 259, 120415. [Google Scholar] [CrossRef]
- Liu, X.; Zhu, W.; Liu, Y.; Yu, Q.; Guan, K. Characterization of rock joint roughness from the classified and weighted uphill projection parameters. Int. J. Geomech. 2021, 21, 04021052. [Google Scholar] [CrossRef]
- Wang, C.; Wang, L.; Karakus, M. A new spectral analysis method for determining the joint roughness coefficient of rock joints. Int. J. Rock Mech. Min. Sci. 2019, 113, 72–82. [Google Scholar] [CrossRef]
- Zhang, J.; Ogata, S.; Kishida, K. Roughness evaluation for distinguishing fresh and sheared rock joint surfaces with different sampling intervals. Int. J. Geomech. 2021, 21, 04021231. [Google Scholar] [CrossRef]
- Hu, Y.; Feng, W.; Li, W.; Yi, X.; Liu, K.; Ye, L.; Zhao, J.; Lu, X.; Zhang, R. Estimation of Button Bit Drillability Index on Granitic Rocks Using Their Mineralogy Composition and Rock Strength. Rev. Adv. Mater. Sci. 2023, 62, 20220336. [Google Scholar] [CrossRef]
- Marsch, K.; Fernandez-Steeger, T. Comparative Evaluation of Statistical and Fractal Approaches for JRC Calculation Based on a Large Dataset of Natural Rock Traces. Rock Mech. Rock Eng. 2021, 54, 1897–1917. [Google Scholar] [CrossRef]
- Mandelbrot, B.B. How long is the coast of Britain? Statistical self-similarity and fractional dimension. Science 1967, 156, 636–638. [Google Scholar] [CrossRef] [PubMed]
- Jin, Y.; Wu, Y.; Li, H.; Zhao, M.; Pan, J. Definition of fractal topography to essential understanding of scale-invariance. Sci. Rep. 2017, 7, 46672. [Google Scholar] [CrossRef]
- Peng, R.; Ju, Y.; Xie, H. Fractal characterization of meso-structural evolution during tension of limestone. Rock Soil Mech. 2007, 28, 2579–2582+2588. [Google Scholar]
- Jin, Y.; Liu, X.; Song, H.; Zheng, J.; Pan, J. General fractal topography: An open mathematical framework to characterize and model mono-scale-invariances. Nonlinear Dyn. 2019, 96, 2413–2436. [Google Scholar] [CrossRef]
- Dong, J.; Lu, Y.; Jin, Y.; Dong, W.; Hou, P.; Liu, S.; Niu, R. Fractal characteristics of joint surface morphology of Pengshui shale and anisotropic characterization based on joint roughness coefficient. Rock Soil Mech. 2025, 46, 3549–3561. Available online: https://ytlx.whrsm.ac.cn/EN/abstract/abstract23170.shtml (accessed on 7 November 2025).
- Lee, Y.-H.; Carr, J.; Barr, D.; Haas, C. The fractal dimension as a measure of the roughness of rock discontinuity profiles. Int. J. Rock Mech. Min. Sci. Geomech. Abstr. 1990, 27, 453–464. [Google Scholar] [CrossRef]
- Seidel, J.P.; Haberfield, C.M. Towards an understanding of joint roughness. Rock Mech. Rock Eng. 1995, 28, 69–92. [Google Scholar] [CrossRef]
- Xie, H. Fractal description of rock joints. Chin. J. Geotech. Eng. 1995, 17, 18–23. [Google Scholar]
- Chen, S.; Zhu, W.; Zhang, M.; Yu, Q. Fractal description of rock joints based on digital image processing technique. Chin. J. Geotech. Eng. 2012, 34, 2087–2092. [Google Scholar]
- Qin, S.; Zhang, Z.; Wang, S.; Huang, R. Fractal dimension characteristics of joint roughness curves. J. Chengdu Coll. Geol. 1993, 20, 109–113. Available online: https://xbzrkx.cdut.edu.cn/article/id/b2ad0580-2c78-4a85-9138-322ebfaf4504 (accessed on 7 November 2025).
- Zhou, M.; Fu, H.; Zhao, Y.; Wang, Z.; Chen, J. A rock joint roughness coefficient determination method incorporating the SE-Net attention mechanism and CNN. Environ. Earth Sci. 2025, 84, 411. [Google Scholar] [CrossRef]
- Dutta, A.; Sarkar, K. A neural network model for predicting stability of jointed rock slopes against planar sliding. J. Earth Syst. Sci. 2024, 133, 201. [Google Scholar] [CrossRef]
- Pakdaman, A.M.; Moosavi, M. Determination of surface roughness of rocks based on 2D profiles using machine learning methods. Arch. Appl. Mech. 2024, 94, 157–185. [Google Scholar] [CrossRef]
- Dutta, A.; Sarkar, K.; Tarun, K. Machine learning regression algorithms for predicting the susceptibility of jointed rock slopes to planar failure. Earth Sci. Inform. 2024, 17, 2477–2493. [Google Scholar] [CrossRef]
- Mandelbrot, B.B.; Van-Ness, J.W. Fractional Brownian motions, fractional noises and applications. SIAM Rev. 1968, 10, 422–437. [Google Scholar] [CrossRef]
- Berry, M.V.; Lewis, Z.V.; Nye, J.F. On the Weierstrass-Mandelbrot fractal function. Proc. R. Soc. Lond. A Math. Phys. Sci. 1980, 370, 459–484. [Google Scholar] [CrossRef]
- Chen, Y.; Zhang, C. Role of surface roughness on thermal conductance at liquid–solid interfaces. Int. J. Heat Mass Transf. 2014, 78, 624–629. [Google Scholar] [CrossRef]
- Dong, J.; Ju, Y.; Gao, F.; Xie, H. Estimation of the fractal dimension of Weierstrass–Mandelbrot function based on cuckoo search methods. Fractals 2017, 25, 1750065. [Google Scholar] [CrossRef]
- Jin, Y.; Zheng, J.; Liu, X.; Pan, J.; Liu, S. Control mechanisms of self-affine, rough cleat networks on flow dynamics in coal reservoir. Energy 2019, 189, 116146. [Google Scholar] [CrossRef]
- Zheng, J.; Jin, Y.; Dong, J.; Liu, S.; Zhang, Q.; Song, H.; Huang, P. Reexamination of the permeability-aperture relationship for rough fractures with mismatched self-affine surfaces. J. Hydrol. 2022, 609, 127727. [Google Scholar] [CrossRef]
- Zheng, J.; Liu, X.; Jin, Y.; Dong, J.; Wang, Q. Effects of surface geometry on advection–diffusion process in rough fractures. Chem. Eng. J. 2021, 414, 128745. [Google Scholar] [CrossRef]
- Brown, S.R. A note on the description of surface roughness using fractal dimension. Geophys. Res. Lett. 1987, 14, 1095–1098. [Google Scholar] [CrossRef]
- Dou, Z.; Zhou, Z.; Wang, J.; Huang, Y. Roughness scale dependence of the relationship between tracer longitudinal dispersion and Peclet number in variable-aperture fractures. Hydrol. Process. 2018, 10, 1461–1475. [Google Scholar] [CrossRef]
- Dong, J.; Wu, Y.; Jin, Y.; Liu, S.; Zheng, J.; Dong, W. Morphology differences between fractional Brownian motion and the Weierstrass-Mandelbrot function and corresponding Hurst evaluation. Geomech. Geophys. Geo-Energy Geo-Resour. 2023, 1, 35. [Google Scholar] [CrossRef]
- Ju, Y.; Xie, H.; Zheng, Z.; Lu, J.; Mao, L.; Gao, F.; Peng, R. Visualization of the complex structure and stress field inside rock by means of 3D printing technology. Chin. Sci. Bull. 2014, 59, 5354–5365. Available online: https://ytlx.whrsm.ac.cn/EN/Y2011/V32/I6/1654 (accessed on 7 November 2025). [CrossRef]
- Xia, C.; Tang, Z.; Song, Y.; Liu, Y. Analysis of relationship between joint peak shear displacement and its influence factors. Rock Soil Mech. 2011, 32, 1654–1658. [Google Scholar]
- Sun, H.; Xie, H. Fractal simulation of rock fracture surface. Rock Soil Mech. 2008, 29, 347–352. Available online: https://ytlx.whrsm.ac.cn/EN/Y2008/V29/I2/347 (accessed on 7 November 2025).
- Chen, S.; Zhu, W.; Yu, Q.; Wang, Q. Shear strength research on rock joint surfaces based on multifractal theory. Rock Soil Mech. 2015, 36, 703–710+728. [Google Scholar]
- Turk, N.; Greig, M.J.; Dearman, W.R.; Amin, F.F. Characterization of rock joint surfaces by fractal dimension. In Proceedings of the 28th Symposium on Rock Mechanics (USRMS), Tucson, AZ, USA, 29 June–1 July 1987. [Google Scholar]
- You, Z.; Wang, L.; Yang, Y.; Shi, C. Anisotropic research on shear strength parameters of discontinuity based on three-dimensional laser scanning technology. Chin. J. Rock Mech. Eng. 2014, 33, 3003–3008. [Google Scholar]
- Li, R.; Xiao, W. Study on a new equation for calculating jrc based on fine digitization of standard profiles proposed by barton. Chin. J. Rock Mech. Eng. 2018, 37, 3515–3522. [Google Scholar]











| Theoretical JRC | Calculated JRC | Relative Error |
|---|---|---|
| 1 | 1.45235 | 45.2% |
| 3 | 3.78783 | 26.3% |
| 5 | 6.22889 | 24.6% |
| 7 | 7.07520 | 1.07% |
| 9 | 8.09291 | 10.1% |
| 11 | 11.3585 | 3.26% |
| 13 | 11.4609 | 11.8% |
| 15 | 16.1090 | 7.39% |
| 17 | 15.4732 | 8.98% |
| 19 | 19.7513 | 3.95% |
| Proposer | Equation | Interval |
|---|---|---|
| Yu and Vayssade [21] | JRC = 60.32 | 0.25 mm |
| JRC = 61.79 | 0.5 mm | |
| JRC = 60.32 | 1.0 mm | |
| Yang et al. [23] | JRC = 32.69 + 32.98 | 0.5 mm |
| Jang et al. [22] | JRC = 51.16 | 0.5 mm |
| JRC = 53.15 | 1.0 mm | |
| JRC = 51.16 | 2.0 mm | |
| Turk et al. [62] | JRC = | — |
| Xie et al. [41] | JRC = 85.2671 | — |
| Chen et al. [42] | JRC = 15179 | — |
| You et al. [63] | JRC = 287.76 + 126.9 | — |
| Sample Number | Range (m) | Standard Deviation (m) |
|---|---|---|
| 1 | ||
| 2 | ||
| 3 | ||
| 4 | ||
| 5 | ||
| 6 |
Disclaimer/Publisher’s Note: The statements, opinions and data contained in all publications are solely those of the individual author(s) and contributor(s) and not of MDPI and/or the editor(s). MDPI and/or the editor(s) disclaim responsibility for any injury to people or property resulting from any ideas, methods, instructions or products referred to in the content. |
© 2026 by the authors. Licensee MDPI, Basel, Switzerland. This article is an open access article distributed under the terms and conditions of the Creative Commons Attribution (CC BY) license.
Share and Cite
Wang, R.; Dong, J.; Dong, W. A Fractal Topology-Based Method for Joint Roughness Coefficient Calculation and Its Application to Coal Rock Surfaces. Modelling 2026, 7, 19. https://doi.org/10.3390/modelling7010019
Wang R, Dong J, Dong W. A Fractal Topology-Based Method for Joint Roughness Coefficient Calculation and Its Application to Coal Rock Surfaces. Modelling. 2026; 7(1):19. https://doi.org/10.3390/modelling7010019
Chicago/Turabian StyleWang, Rui, Jiabin Dong, and Wenhao Dong. 2026. "A Fractal Topology-Based Method for Joint Roughness Coefficient Calculation and Its Application to Coal Rock Surfaces" Modelling 7, no. 1: 19. https://doi.org/10.3390/modelling7010019
APA StyleWang, R., Dong, J., & Dong, W. (2026). A Fractal Topology-Based Method for Joint Roughness Coefficient Calculation and Its Application to Coal Rock Surfaces. Modelling, 7(1), 19. https://doi.org/10.3390/modelling7010019

