A Reduced Stochastic Data-Driven Approach to Modelling and Generating Vertical Ground Reaction Forces During Running
Abstract
1. Introduction
- The development of a time-domain stochastic model based on experimental data collected with a pair of instrumented insoles at different step frequencies, avoiding any too constrained laboratory setting;
- The independent modelling of each foot’s GRF, capturing gait’s inherent variability across feet. In this regard, vertical GRFs were analyzed, and the resultant total action was evaluated at the end. The approach could be extended to other force components with adjustments not addressed here;
- The use of a rigorous statistical procedure to model the aforementioned pedestrian’s running GRFs without resorting to deterministic approaches or purely mathematical frameworks;
- The implementation of a dimensionality reduction algorithm that preserves the main GRF characteristics in the virtual signals, using the minimum necessary variables and parameters through an optimization workflow.
2. Materials and Methods
2.1. Running Human Gait and Terminology
2.2. Experimental GRF Dataset: Measurement and Testing Protocol
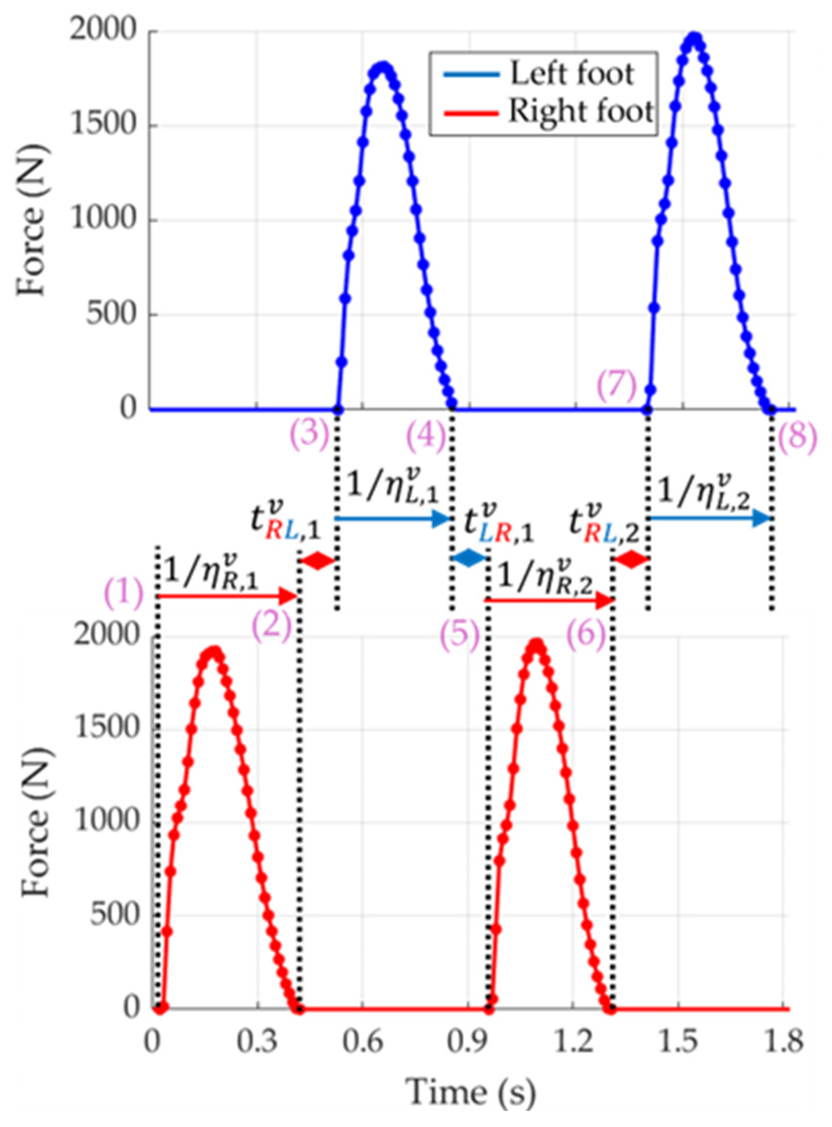
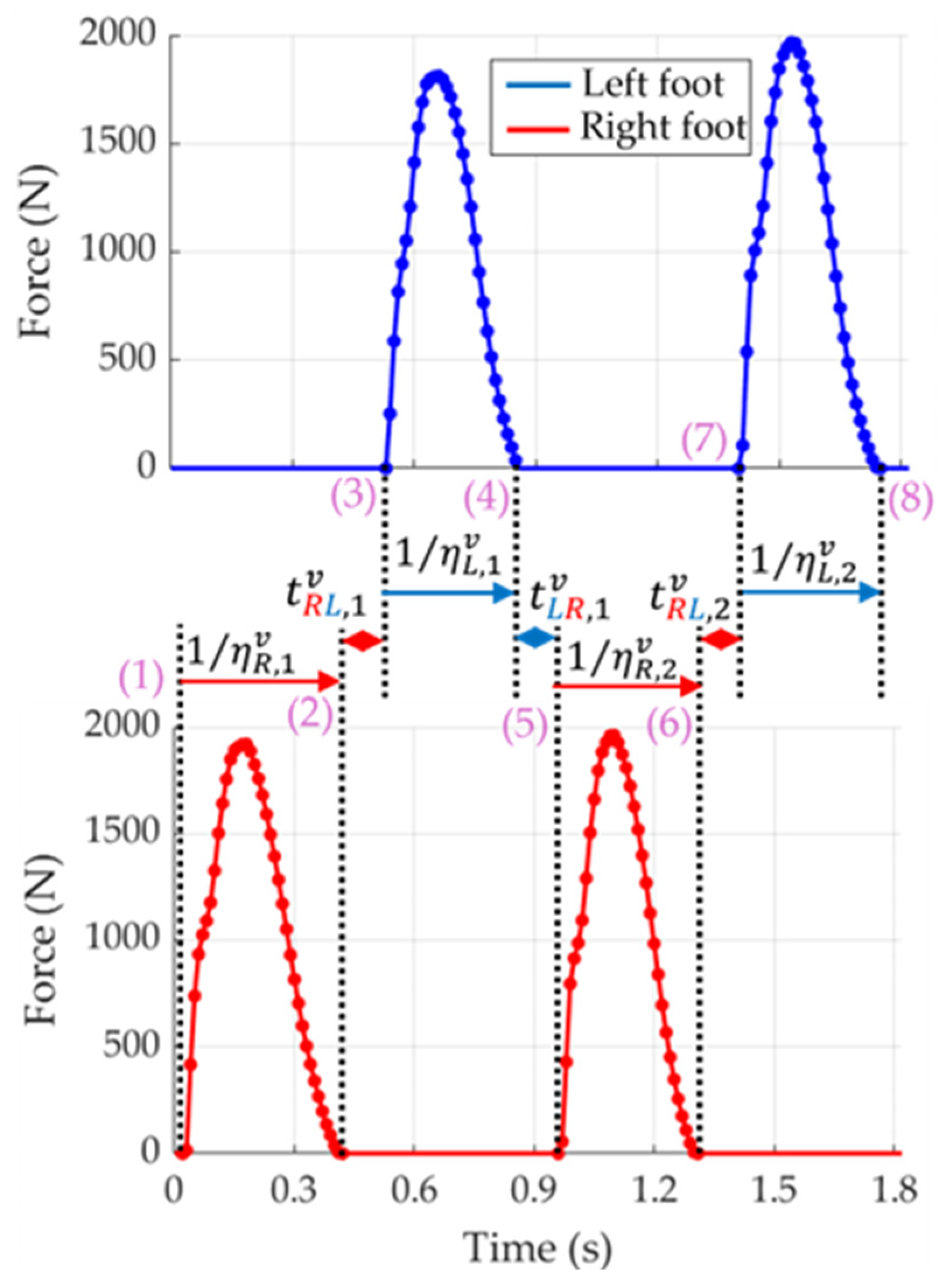
2.3. Time Vector Data Processing
2.3.1. Step Detection Algorithm
2.3.2. Step Duration Estimation: First Outlier Removal
2.3.3. Step Rescaling and Geometric Characteristics: Second Outlier Removal
2.3.4. Aerial Time Characterization
2.4. Step Pattern Description Reduction
2.5. Vertical GRFs Stochastic Model
- Univariate normal distributions of each foot’s stm. step scaling factors random subsets, denoted as and ;
- Univariate normal distributions of the stm. aerial times random subsets, denoted as and ;
- Two mean vectors, and , and their unbiased covariance matrices, and . These were obtained from computing the subset, centered, and rescaled GRF matrices in Equation (13) and applying the expression given in Equation (14), where stands for . This accounted for each foot’s step pattern after its description had been reduced in Section 2.4. Each of the corresponding interpolation points was assumed to follow a normal distribution, with all the points collectively following multivariate normal distributions, denoted as and .
2.5.1. Step Pattern Multivariate Normality
2.5.2. Scaling Factors and Aerial Times Univariate Normality
2.6. Virtual GRF Generation
- Virtual step generation: virtual left and right rescaled steps were generated using their stm. multivariate normal distributions. Each virtual step was then rescaled in time by means of virtual scaling factors , drawn from their respective univariate normal distributions;
- Time concatenation: the aforementioned steps, in their original units of time(s) and force (N), were sequentially concatenated with the aid of virtual aerial times. A final common interpolation was performed to replicate the insoles sampling rate.
3. Results
4. Discussion
5. Conclusions and Final Remarks
Author Contributions
Funding
Data Availability Statement
Acknowledgments
Conflicts of Interest
Abbreviations
| GRF | Ground Reaction Force |
| BW | Body weight |
| AP | Active Peak |
| IP | Impact Peak |
| DR | Decay Rate |
| G | GRF area centroid |
| PCA | Principal Component Analysis |
| PC | Principal component |
| stm | Stochastic modelling data subset |
| val | Testing and validation random subset |
| IQR | Interquartile range |
| HZK | Henze-Zirkler test |
| SW | Shapiro-Wilk test |
| MLE | Maximum Likelihood Estimation |
References
- Winter, D.A. Biomechanics and Motor Control of Human Movement, 4th ed.; Wiley: Hoboken, NJ, USA, 2009. [Google Scholar] [CrossRef]
- Nilsson, J.; Thorstensson, A. Ground reaction forces at different speeds of human walking and running. Acta Physiol. Scand. 1989, 136, 217–227. [Google Scholar] [CrossRef]
- Racic, V.; Pavic, A.; Brownjohn, J.M.W. Experimental identification and analytical modelling of human walking forces: Literature review. J. Sound Vib. 2009, 326, 1–49. [Google Scholar] [CrossRef]
- Ariki, Y.; Hyon, S.H.; Morimoto, J. Extraction of primitive representation from captured human movements and measured ground reaction force to generate physically consistent imitated behaviors. Neural Netw. 2013, 40, 32–43. [Google Scholar] [CrossRef]
- Bates, N.A.; Ford, K.R.; Myer, G.D.; Hewett, T.E. Impact differences in ground reaction force and center of mass between the first and second landing phases of a drop vertical jump and their implications for injury risk assessment. J. Biomech. 2013, 46, 1237–1241. [Google Scholar] [CrossRef]
- Lin, C.W.; Wen, T.C.; Setiawan, F. Evaluation of Vertical Ground Reaction Forces Pattern Visualization in Neurodegenerative Diseases Identification Using Deep Learning and Recurrence Plot Image Feature Extraction. Sensors 2020, 20, 3857. [Google Scholar] [CrossRef]
- Singh, P.; Joshi, S.D.; Patney, R.K.; Saha, K. The Fourier decomposition method for nonlinear and non-stationary time series analysis. Proc. R. Soc. A Math. Phys. Eng. Sci. 2017, 473, 2199. [Google Scholar] [CrossRef]
- Racic, V.; Brownjohn, J.M.W. Stochastic model of near-periodic vertical loads due to humans walking. Adv. Eng. Inform. 2011, 25, 259–275. [Google Scholar] [CrossRef]
- Racic, V.; Morin, J.B. Data-driven modelling of vertical dynamic excitation of bridges induced by people running. Mech. Syst. Signal Process. 2014, 43, 153–170. [Google Scholar] [CrossRef]
- Racic, V.; Pavic, A. Stochastic approach to modelling of near-periodic jumping loads. Mech. Syst. Signal Process. 2010, 24, 3037–3059. [Google Scholar] [CrossRef]
- Racic, V.; Chen, J. Data-driven generator of stochastic dynamic loading due to people bouncing. Comput. Struct. 2015, 158, 240–250. [Google Scholar] [CrossRef]
- Pandit, S.; Wu, S. Time Series and System Analysis with Applications, 1st ed.; Wiley: New York, NY, USA, 1990. [Google Scholar]
- Li, Z.; Zhang, Q.; Fan, F. A stochastic approach for generating individual jumping loads considering different jumping force patterns. J. Build. Eng. 2022, 62, 105378. [Google Scholar] [CrossRef]
- Chen, J.; Li, G.; Racic, V. A data-driven wavelet-based approach for generating jumping loads. Mech. Syst. Signal Process. 2018, 106, 49–61. [Google Scholar] [CrossRef]
- Reynolds, D. Gaussian Mixture Models. In Encyclopedia of Biometrics, 1st ed.; Springer: Boston, MA, USA, 2009; pp. 659–663. [Google Scholar] [CrossRef]
- Xia, F.; Liu, J.; Nie, H.; Fu, Y.; Wan, L.; Kong, X. Random Walks: A Review of Algorithms and Applications. IEEE Trans. Emerg. Top. Comput. Intell. 2020, 4, 95–107. [Google Scholar] [CrossRef]
- Pancaldi, F.; Bassoli, E.; Milani, M.; Vicenzi, L. A statistical approach for modeling individual vertical walking forces. Appl. Sci. 2021, 11, 10207. [Google Scholar] [CrossRef]
- García-Diéguez, M.; Racic, V.; Zapico-Valle, J.L. Complete statistical approach to modelling variable pedestrian forces induced on rigid surfaces. Mech. Syst. Signal Process. 2021, 159, 107800. [Google Scholar] [CrossRef]
- Cacho-Pérez, M.; Lorenzana, A. Walking Model to Simulate Interaction Effects between Pedestrians and Lively Structures. J. Eng. Mech. 2017, 143, 04017109. [Google Scholar] [CrossRef]
- Lin, B.; Zhang, Q.; Fan, F.; Shen, S. Reproducing vertical human walking loads on rigid level surfaces with a damped bipedal inverted pendulum. Structures 2021, 33, 1789–1801. [Google Scholar] [CrossRef]
- Liang, H.; Xie, W.; Zhang, Z.; Wei, P.; Cui, C. A Three-Dimensional Mass-Spring Walking Model Could Describe the Ground Reaction Forces. Math. Probl. Eng. 2021, 2021, 6651715. [Google Scholar] [CrossRef]
- Kumar, P.; Kumar, A.; Racic, V.; Erlicher, S. Modelling vertical human walking forces using self-sustained oscillator. Mech. Syst. Signal Process. 2018, 99, 345–363. [Google Scholar] [CrossRef]
- Xiang, Y.; Arora, J.S.; Rahmatalla, S.; Abdel-Malek, K. Optimization-based dynamic human walking prediction: One step formulation. Int. J. Numer. Methods Eng. 2009, 79, 667–695. [Google Scholar] [CrossRef]
- Wang, H.; Chen, J.; Brownjohn, J.M.W. Parameter identification of pedestrian’s spring-mass-damper model by ground reaction force records through a particle filter approach. J. Sound Vib. 2017, 411, 409–421. [Google Scholar] [CrossRef]
- Masters, S.E.; Challis, J.H. Increasing the stability of the spring loaded inverted pendulum model of running with a wobbling mass. J. Biomech. 2021, 123, 110527. [Google Scholar] [CrossRef]
- Zanetti, L.R.; Brennan, M.J. A new approach to modelling the ground reaction force from a runner. J. Biomech. 2021, 127, 110639. [Google Scholar] [CrossRef]
- Liu, D.; He, M.; Hou, M.; Ma, Y. Deep learning based ground reaction force estimation for stair walking using kinematic data. Measurement 2022, 198, 111344. [Google Scholar] [CrossRef]
- Peláez-Rodríguez, C.; Magdaleno, A.; Salcedo-Sanz, S.; Lorenzana, A. Human-induced force reconstruction using a non-linear electrodynamic shaker applying an iterative neural network algorithm. Bull. Pol. Acad. Sci. Tech. Sci. 2023, 71, 144615. [Google Scholar] [CrossRef]
- Oh, S.E.; Choi, A.; Mun, J.H. Prediction of ground reaction forces during gait based on kinematics and a neural network model. J. Biomech. 2013, 46, 2372–2380. [Google Scholar] [CrossRef]
- Oliveira, A.S.; Pirscoveanu, C.I.; Rasmussen, J. Predicting Vertical Ground Reaction Forces in Running from the Sound of Footsteps. Sensors 2022, 46, 9640. [Google Scholar] [CrossRef]
- Ancillao, A.; Tedesco, A.; Barton, J.; O’Flynn, B. Indirect Measurement of Ground Reaction Forces and Moments by Means of Wearable Inertial Sensors: A Systematic Review. Sensors 2018, 18, 2564. [Google Scholar] [CrossRef] [PubMed]
- Racic, V.; Pavic, A.; Brownjohn, J.M.W. Modern facilities for experimental measurement of dynamic loads induced by humans: A literature review. Shock Vib. 2013, 20, 53–67. [Google Scholar] [CrossRef]
- Asmussen, M.J.; Kaltenbach, C.; Hashlamoun, K.; Shen, H.; Federico, S.; Nigg, B.M. Force measurements during running on different instrumented treadmills. J. Biomech. 2019, 84, 263–268. [Google Scholar] [CrossRef] [PubMed]
- Magdaleno, A.; García-Terán, J.M.; Peláez-Rodríguez, C.; Fernández, G.; Lorenzana, A. Generating vertical ground reaction forces using a stochastic data-driven model for pedestrian walking. J. Comput. Sci. 2025, 88, 102602. [Google Scholar] [CrossRef]
- García-Terán, J.M.; Magdaleno, A.; Fernández, J.; Lorenzana, A. A statistical-based procedure for generating equivalent vertical ground reaction force-time histories. In Proceedings of the 5th International Conference on Mechanical Models in Structural Engineering (CMMoST), Alicante, Spain, 23 November 2019. [Google Scholar]
- Tahir, A.M.; Chowdhury, M.E.; Khandakar, A.; Al-Hamouz, S.; Abdalla, M.; Awadallah, S.; Reaz, M.B.; Al-Emadi, N. A Systematic Approach to the Design and Characterization of a Smart Insole for Detecting Vertical Ground Reaction Force (vGRF) in Gait Analysis. Sensors 2020, 20, 957. [Google Scholar] [CrossRef]
- Weidensager, L.; Krumm, D.; Potts, D.; Odenwald, S. Estimating vertical ground reaction forces from plantar pressure using interpretable high-dimensional approximation. Sports Eng. 2024, 27, 3. [Google Scholar] [CrossRef]
- Seiberl, W.; Jensen, E.; Merker, M.; Leitel, M.; Schwirtz, A. Accuracy and precision of loadsol® insole force-sensors for the quantification of ground reaction force-based biomechanical running parameters. Eur. J. Sport Sci. 2018, 18, 1100–1109. [Google Scholar] [CrossRef]
- Renner, K.E.; Blaise Williams, D.S.; Queen, R.M. The reliability and validity of the Loadsol® under various walking and running conditions. Sensors 2019, 19, 265. [Google Scholar] [CrossRef]
- Burns, G.T.; Deneweth Zendler, J.; Zernicke, R.F. Validation of a wireless shoe insole for ground reaction force measurement. J. Sports Sci. 2019, 37, 1129–1138. [Google Scholar] [CrossRef]
- Fernández, G.; García-Terán, J.M.; Lorenzana, A.; Magdaleno, A. A reduced stochastic data-driven approach to modelling and generating vertical ground reaction forces during running. Mendeley Data 2025. [Google Scholar] [CrossRef]
- Henze, N.; Zirkler, B. A class of invariant consistent tests for multivariate normality. Commun. Stat. Theory Methods 1990, 19, 3595–3617. [Google Scholar] [CrossRef]
- Henze-Zirkler’s Multivariate Normality Test. Available online: https://tinyurl.com/dxd9edh3 (accessed on 9 March 2025).
- Greenacre, M.; Groenen, P.J.F.; Hastie, T.; D’Enza, A.I.; Markos, A.; Tuzhilina, E. Principal component analysis. Nat. Rev. Methods Primers 2022, 2, 100. [Google Scholar] [CrossRef]
- Shapiro, S.S.; Wilk, M.B. An analysis of variance test for normality (complete samples). Biometrika 1965, 52, 591–611. [Google Scholar] [CrossRef]
- Shapiro-Wilk and Shapiro-Francia Normality Tests. Available online: https://tinyurl.com/3secru59 (accessed on 9 March 2025).
- Box, G.E.P.; Cox, D.R. An Analysis of Transformations. J. R. Stat. Soc. Ser. B Stat. Methodol. 1964, 26, 211–243. [Google Scholar] [CrossRef]
- Pan, J.X.; Fang, K.T. Maximum Likelihood Estimation. In Growth Curve Models and Statistical Diagnostics, 1st ed.; Springer: New York, NY, USA, 2002; pp. 77–158. [Google Scholar] [CrossRef]
- Scott, D.W. Sturges’ rule. WIREs Comput. Stat. 2009, 1, 303–306. [Google Scholar] [CrossRef]
- MATLAB Statistics and Machine Learning Toolbox: Function mvnrnd(). Available online: https://www.mathworks.com/help/stats/mvnrnd.html (accessed on 9 March 2025).
- Tong, Y.L. Fundamental Properties and Sampling Distributions of the Multivariate Normal Distribution. In The Multivariate Normal Distribution, 1st ed.; Springer: New York, NY, USA, 1990; pp. 23–61. [Google Scholar] [CrossRef]
- Mecklin, C.J.; Mundfrom, D.J. A Monte Carlo comparison of the Type I and Type II error rates of tests of multivariate normality. J. Stat. Comput. Simul. 2005, 75, 93–107. [Google Scholar] [CrossRef]















| Step Frequency (Steps/min) | —Detection | —Duration | —Pattern | |||
|---|---|---|---|---|---|---|
| L | R | L | R | L | R | |
| 130 | 66 | 66 | 63 | 62 | 61 | 58 |
| 140 | 63 | 63 | 60 | 54 | 54 | 51 |
| 150 | 60 | 60 | 57 | 54 | 49 | 49 |
| 160 | 63 | 63 | 59 | 59 | 57 | 56 |
| 170 | 60 | 61 | 56 | 57 | 54 | 53 |
| 180 | 53 | 53 | 49 | 50 | 46 | 49 |
| 190 | 51 | 51 | 47 | 47 | 44 | 41 |
| 200 | 53 | 53 | 47 | 48 | 46 | 42 |
| Step Frequency (Steps/min) | ||||
|---|---|---|---|---|
| 130 | 64 | 61 | 64 | 61 |
| 140 | 60 | 59 | 61 | 60 |
| 150 | 58 | 57 | 57 | 57 |
| 160 | 61 | 60 | 62 | 60 |
| 170 | 57 | 57 | 57 | 56 |
| 180 | 51 | 51 | 51 | 51 |
| 190 | 49 | 47 | 49 | 47 |
| 200 | 49 | 47 | 50 | 49 |
| Step Frequency (Steps/min) | Left Steps Points | Right Steps Points | ||||
|---|---|---|---|---|---|---|
| (%) | (%) | |||||
| 130 | 34 | 14 | 58.8 | 35 | 14 | 60.0 |
| 140 | 31 | 12 | 61.3 | 34 | 12 | 64.7 |
| 150 | 29 | 9 | 69.0 | 30 | 11 | 63.3 |
| 160 | 27 | 12 | 55.6 | 29 | 12 | 58.6 |
| 170 | 27 | 12 | 55.6 | 27 | 12 | 55.6 |
| 180 | 24 | 9 | 62.5 | 24 | 9 | 62.5 |
| 190 | 23 | 12 | 47.8 | 23 | 11 | 52.2 |
| 200 | 23 | 10 | 56.5 | 22 | 12 | 45.5 |
| Step Frequency (Steps/min) | Left Steps | Right Steps | ||
|---|---|---|---|---|
| p-value | dL | p-value | dR | |
| 130 | 0.366 | 3 | 0.161 | 3 |
| 140 | 0.234 | 3 | 0.370 | 3 |
| 150 | 0.703 | 3 | 0.0782 | 3 |
| 160 | 0.553 | 3 | 0.484 | 3 |
| 170 | 0.597 | 4 | 0.388 | 3 |
| 180 | 0.113 | 3 | 0.544 | 3 |
| 190 | 0.784 | 4 | 0.408 | 3 |
| 200 | 0.363 | 3 | 0.0322 | 3 |
| Step Frequency (Steps/min) | Scaling Factors | Aerial Times | ||||||||||
|---|---|---|---|---|---|---|---|---|---|---|---|---|
| -value | -value | -value | -value | |||||||||
| 130 | 0.0172 | −7.32 | 0.241 | 0.0547 | - | - | 0.237 | - | - | 0.0683 | - | - |
| 140 | 0.00396 | −7.70 | 0.927 | 0.265 | - | - | 0.0799 | - | - | 0.0101 | −1.64 | 0.487 |
| 150 | 0.252 | - | - | 0.0694 | - | - | 0.0322 | 0.394 | 0.670 | 0.117 | - | - |
| 160 | 0.0268 | −2.72 | 0.153 | 0.144 | - | - | 0.0420 | 0.513 | 0.196 | 0.0300 | 0.802 | 0.179 |
| 170 | 0.0428 | −8.32 | 0.205 | 0.0221 | −4.38 | 0.332 | 0.148 | - | - | 0.00533 | −0.481 | 0.483 |
| 180 | 0.334 | - | - | 0.0501 | - | - | 0.148 | - | - | 0.174 | - | - |
| 190 | 0.152 | - | - | 0.143 | - | - | 0.245 | - | - | 0.189 | - | - |
| 200 | 0.728 | - | - | 0.0374 | 2.07 | 0.105 | 0.581 | - | - | 0.00264 | 3.44 | 0.0803 |
| Step Frequency (Steps/min) | ||||||||
|---|---|---|---|---|---|---|---|---|
| 130 | - | - | 0.137 | 3.14 | 2.63 | 0.137 | - | - |
| 140 | - | - | 0.130 | 1.06 | 2.86 | 0.104 | - | - |
| 150 | 3.27 | 0.190 | - | - | 3.16 | 0.133 | - | - |
| 160 | - | - | 0.355 | 157 | 3.34 | 0.147 | - | - |
| 170 | - | - | 0.120 | 0.106 | - | - | 0.227 | |
| 180 | 3.96 | 0.181 | - | - | 3.89 | 0.268 | - | - |
| 190 | 4.18 | 0.269 | - | - | 4.14 | 0.246 | - | - |
| 200 | 4.44 | 0.197 | - | - | - | - | 9.61 | 1.26 |
| Step Frequency (Steps/min) | ||||||||
|---|---|---|---|---|---|---|---|---|
| 130 | 0.0853 | 0.0225 | - | - | 0.0888 | 0.0189 | - | - |
| 140 | 0.0834 | 0.0236 | - | - | - | - | −36.0 | 10.4 |
| 150 | - | - | −1.55 | 0.0895 | 0.0897 | 0.0149 | - | - |
| 160 | - | - | −1.46 | 0.0537 | - | - | −1.06 | 0.0191 |
| 170 | 0.0760 | 0.0149 | - | - | - | - | −5.20 | 0.560 |
| 180 | 0.0751 | 0.0139 | - | - | 0.0747 | 0.0188 | - | - |
| 190 | 0.0646 | 0.0206 | - | - | 0.0964 | 0.0122 | - | - |
| 200 | 0.0637 | 0.0131 | - | - | - | - | −0.291 | |
| Step Frequency | Experimental (Test) (Hz) | Virtual (Hz) | Error (%) | |||||||
|---|---|---|---|---|---|---|---|---|---|---|
| Steps/min | Hz | |||||||||
| 130 | 2.17 | 2.18 | 4.36 | 6.54 | 2.13 | 4.27 | 6.59 | 2.13 | 2.13 | 0.678 |
| 140 | 2.33 | 2.31 | 4.63 | 6.94 | 2.31 | 4.62 | 6.65 | 0.231 | 0.23 | 4.22 |
| 150 | 2.50 | 2.46 | 4.92 | 7.48 | 2.51 | 4.92 | 7.44 | 2.20 | 0.0709 | 0.600 |
| 160 | 2.67 | 2.67 | 5.34 | 7.92 | 2.67 | 5.28 | 7.95 | 0.238 | 1.13 | 0.363 |
| 170 | 2.83 | 2.85 | 5.75 | 8.59 | 2.79 | 5.53 | 8.32 | 1.93 | 3.80 | 3.18 |
| 180 | 3.00 | 3.00 | 6.06 | 9.06 | 3.00 | 5.93 | 9.06 | <0.01 | 2.15 | <0.01 |
| 190 | 3.17 | 3.19 | 6.38 | 9.57 | 3.18 | 6.37 | 9.55 | 0.159 | 0.159 | 0.159 |
| 200 | 3.33 | 3.34 | 6.76 | 9.55 | 3.35 | 6.70 | 9.81 | 0.239 | 0.940 | 2.745 |
| Step Frequency (Steps/min) | ||||
|---|---|---|---|---|
| 130 | 32 | 84.3 | 219 | 97.8 |
| 140 | 28 | 86.3 | 165 | 98.4 |
| 150 | 24 | 88.2 | 120 | 98.8 |
| 160 | 28 | 86.3 | 165 | 98.4 |
| 170 | 28 | 86.3 | 165 | 98.4 |
| 180 | 22 | 89.2 | 99 | 99.0 |
| 190 | 27 | 86.8 | 153 | 98.5 |
| 200 | 26 | 87.3 | 142 | 98.6 |
Disclaimer/Publisher’s Note: The statements, opinions and data contained in all publications are solely those of the individual author(s) and contributor(s) and not of MDPI and/or the editor(s). MDPI and/or the editor(s) disclaim responsibility for any injury to people or property resulting from any ideas, methods, instructions or products referred to in the content. |
© 2025 by the authors. Licensee MDPI, Basel, Switzerland. This article is an open access article distributed under the terms and conditions of the Creative Commons Attribution (CC BY) license (https://creativecommons.org/licenses/by/4.0/).
Share and Cite
Fernández, G.; García-Terán, J.M.; Iglesias-Pordomingo, Á.; Peláez-Rodríguez, C.; Lorenzana, A.; Magdaleno, A. A Reduced Stochastic Data-Driven Approach to Modelling and Generating Vertical Ground Reaction Forces During Running. Modelling 2025, 6, 144. https://doi.org/10.3390/modelling6040144
Fernández G, García-Terán JM, Iglesias-Pordomingo Á, Peláez-Rodríguez C, Lorenzana A, Magdaleno A. A Reduced Stochastic Data-Driven Approach to Modelling and Generating Vertical Ground Reaction Forces During Running. Modelling. 2025; 6(4):144. https://doi.org/10.3390/modelling6040144
Chicago/Turabian StyleFernández, Guillermo, José María García-Terán, Álvaro Iglesias-Pordomingo, César Peláez-Rodríguez, Antolin Lorenzana, and Alvaro Magdaleno. 2025. "A Reduced Stochastic Data-Driven Approach to Modelling and Generating Vertical Ground Reaction Forces During Running" Modelling 6, no. 4: 144. https://doi.org/10.3390/modelling6040144
APA StyleFernández, G., García-Terán, J. M., Iglesias-Pordomingo, Á., Peláez-Rodríguez, C., Lorenzana, A., & Magdaleno, A. (2025). A Reduced Stochastic Data-Driven Approach to Modelling and Generating Vertical Ground Reaction Forces During Running. Modelling, 6(4), 144. https://doi.org/10.3390/modelling6040144

