Numerical Analysis and Experimental Verification of Radial Shear Rolling of Titanium Alloy
Abstract
1. Introduction
2. Materials and Methods
2.1. Experimental Procedure
2.2. Macrostructure and Microstructure Analysis
2.3. FEM Simulation
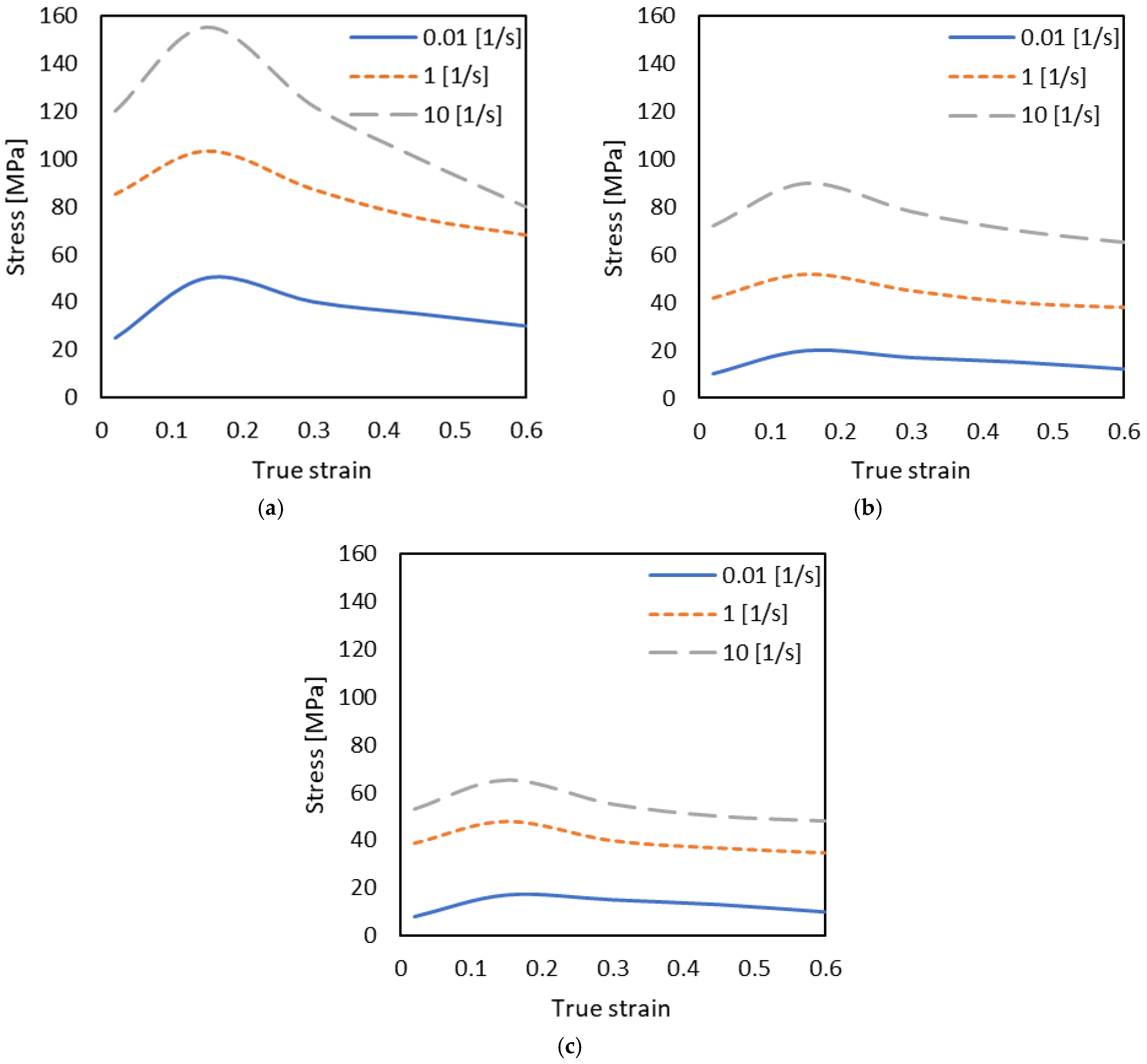
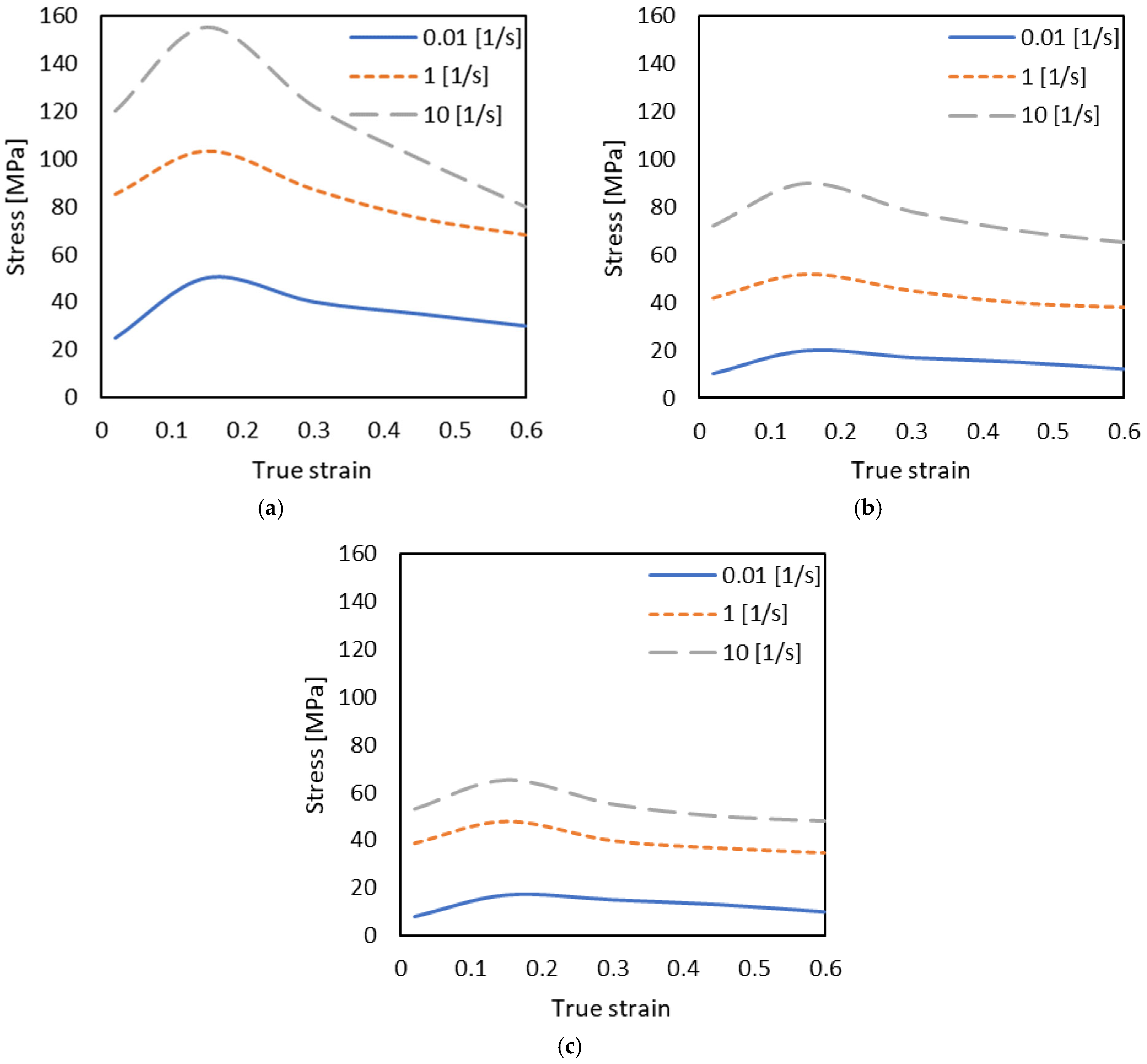
3. Results and Discussion
3.1. Model Verification
3.1.1. Geometry
3.1.2. Time
3.1.3. Temperature
3.2. Influence of RSR Parameters on Formation of Macro- and Microstructure
3.3. Simulation and Experimental Results
4. Conclusions
- 1.
- The model was verified by comparison against the experimental data with respect to the geometry, rolling time, and temperature parameters. The model proved sufficient accuracy of the main parameters (the calculation error is within 5%).
- 2.
- Experimental bars were produced by RSR at three modes with different rolling temperatures and number of passes (reduction per pass). The conditions of macrostructure and microstructure formation in the bars were thoroughly analyzed. The common features of the microstructure for all the RSR-deformed bars are cross-sectional nonuniformity and evolution of the α-phase morphology from the bar surface to the center. Reduction of the RSR temperature to below the β-phase region produces thicker, distorted, and fragmented α-phase plates and leads to a certain increase in the α-phase volume fraction.
- 3.
- New data on the correlation of deformation and thermal conditions of RSR and the structural parameters of the VT3-1 alloy (macrostructure grain size number distribution and α-phase) were obtained. High plastic strains combined with lower temperatures at the bar surfaces favor intense structure refinement. The data suggest that there is a minimum reduction of bar per pass and a total elongation ratio that are required for axial zone structure modification.
- 4.
- The conditions required for the formation of macrostructures with the same GSN can vary significantly depending on the workpiece heating temperature before rolling and the number of rolling passes. RSR mode with average reduction per pass and workpiece heating to within the α + β region is optimal from the viewpoint of achieving a more profound structure modification.
- 5.
- Analysis of the structure and RSR process parameters determined temperature and deformation modes required for the formation of different types of structures. The model can be used for selecting optimal deformation conditions and predicting rolling process results. Also, it can serve as a basis for further development of an intelligent production program for RSR of titanium alloys and process control.
Author Contributions
Funding
Data Availability Statement
Conflicts of Interest
References
- Bratukhin, A.G. Application of weldable titanium alloys in the Russian aviation industry. Weld. Int. 1997, 11, 902–905. [Google Scholar] [CrossRef]
- CheeChulin, B.B.; Ushkov, S.S.; Razuvaeva, I.N.; Goldfain, V.V. Titanium Alloys in Mechanical Engineering; Ermakov, S.S., Ed.; Mashinostroenie: Leningra, Russia, 1977; 248p, Available online: http://libarch.nmu.org.ua/handle/GenofondUA/71213 (accessed on 15 July 2025). (In Russian)
- Lütjering, G.; Williams, J.C. Titanium, 2nd ed.; Springer: Berlin/Heidelberg, Germany, 2007. [Google Scholar] [CrossRef]
- Veiga, C.; Davim, J.P.; Loureiro, A.J.R. Properties and applications of titanium alloys: A brief review. Rev. Adv. Mater. Sci. 2012, 32, 133–148. Available online: https://www.academia.edu/download/110830617/05_23212_veiga.pdf (accessed on 15 July 2025).
- Negodin, D.A.; Galkin, S.P.; Kharitonov, E.A.; Karpov, B.V.; Kharkovsky, D.N.; Dubovitskaya, I.A.; Patrin, P.V. Testing of the Technology of Radial-Shear Rolling and Predesigning Selection of Rolling Minimills for the Adaptable Production of Titanium Rods with Small Cross Sections Under the Conditions of the “CHMP” JSC. Metallurgist 2019, 62, 1133–1143. [Google Scholar] [CrossRef]
- Kin, T.Y.; Gamin, Y.V.; Galkin, S.P.; Skugorev, A.V. Numerical simulation of workpiece temperature field during radial shear rolling of biomedical Co-Cr-Mo alloy. Model. Simul. Mater. Sci. Eng. 2023, 31, 065002. [Google Scholar] [CrossRef]
- Naydenkin, E.V.; Mishin, I.P.; Ratochka, I.V.; Lykova, O.; Manisheva, A.I. Influence of Radial Shear Rolling Regimes on the Homogeneity of Structural-Phase State, Mechanical Properties and Fatigue of near β Titanium Alloy. Mater. Sci. Forum 2021, 1016, 1024–1030. [Google Scholar] [CrossRef]
- Egorova, Y.B.; Davydenko, L.V.; Chibisova, E.V.; Chelpanov, A.V.; Karataeva, E.S. Prediction of mechanical properties of VT6 titanium alloy rods with different structure types. Light Alloy Technol. 2022, 30–40. (In Russian) [Google Scholar] [CrossRef]
- Egorova, Y.B.; Mamonov, I.M.; Davydenko, L.V. The Study of the Complex Mechanical Properties of Rolled Bars of VT6 Alloy as a Function of Chemical Composition and Structure Type. Russ. Internet J. Ind. Eng. 2019, 7, 44–49. [Google Scholar] [CrossRef][Green Version]
- Aleksandrov, V.K.; Anoshkin, N.F.; Belozerov, A.P.; Bochvar, G.A.; Brun, M.Y.; Gelman, A.A.; Danilkin, V.A.; Dyakonov, Y.A.; Evmenov, O.P.; Ermanyuk, M.Z. Semi-Finished Products from Titanium Alloys; VILS: Moscow, Russia, 1996. (In Russian) [Google Scholar]
- Borisova, E.A.; Bochvar, G.A.; Brun, M.Y.; Glazunov, S.G. Metallography of Titanium Alloys; Metallurgy: Moscow, Russia, 1980. (In Russian) [Google Scholar]
- Sieniawski, J.; Ziaja, W.; Kubiak, K.; Motyka, K.K.A.M. Microstructure and Mechanical Properties of High Strength Two-Phase Titanium Alloys. In Titanium Alloys-Advances in Properties Control; BoD—Books on Demand: Norderstedt, Germany, 2013. [Google Scholar] [CrossRef]
- Lezhnev, S.; Naizabekov, A.; Tolkushkin, A.; Panin, E.; Kuis, D.; Arbuz, A.; Tsyba, P.; Shyraeva, E. Choosing the Design of a Radial-Shear Rolling Mill for Obtaining a Screw Profile. Modelling 2024, 5, 1101–1115. [Google Scholar] [CrossRef]
- Koshmin, A.; Zinoviev, A.; Cherkasov, S.; Mahmoud Alhaj Ali, A.; Tsydenov, K.; Churyumov, A. Finite Element Modeling and Experimental Verification of a New Aluminum Al-2%Cu-2%Mn Alloy Hot Cladding by Flat Rolling. Metals 2024, 14, 852. [Google Scholar] [CrossRef]
- Zhang, S.; Shu, X.; Wang, J.; Li, Z.; Xu, H.; Xia, Y.; Pater, Z.; Tomczak, J.; Bulzak, T. The Mechanism of Forming Hollow Shafts with Constant Wall Thickness by Three-Roll Skew Rolling. Metals 2024, 14, 702. [Google Scholar] [CrossRef]
- Lin, J.; Dean, T. Modelling of microstructure evolution in hot forming using unified constitutive equations. J. Mater. Process. Technol. 2005, 167, 354–362. [Google Scholar] [CrossRef]
- Pater, Z. A new approach to numerical modeling of material fracture in cross wedge rolled parts. J. Mater. Res. Technol. 2025, 37, 687–699. [Google Scholar] [CrossRef]
- Xuan, T.D.; Sheremetyev, V.A.; Kudryashova, A.A.; Galkin, S.P.; Andreev, V.A.; Prokoshkin, S.D.; Brailovski, V. Influence of the combined radial shear rolling and rotary forging on the deformation mode of the small-diameter rod billet made of titanium alloys. Russ. J. Non-Ferr. Met. 2020, 61, 271–279. [Google Scholar] [CrossRef]
- Skripalenko, M.M.; Karpov, B.V.; Rogachev, S.O.; Kaputkina, L.M.; Romantsev, B.A.; Skripalenko, M.N.; Huy, T.B.; Fadeev, V.A.; Danilin, A.V.; Gladkov, Y.A. Simulation of the Kinematic Condition of Radial Shear Rolling and Estimation of Its Influence on a Titanium Billet Microstructure. Materials 2022, 15, 7980. [Google Scholar] [CrossRef] [PubMed]
- Skripalenko, M.M.; Galkin, S.P.; Karpov, B.V.; Romantsev, B.A.; Kaputkina, L.M.; Danilin, A.V.; Skripalenko, M.N.; Patrin, P.V. Forming Features and Properties of Titanium Alloy Billets After Radial-Shear Rolling. Materials 2019, 12, 3179. [Google Scholar] [CrossRef] [PubMed]
- Zhang, Y.; Wang, W.; Zhang, H.; Li, H.; Liu, C.; Du, X. Vibration monitoring and analysis of strip rolling mill based on the digital twin model. Int. J. Adv. Manuf. Technol. 2022, 122, 3667–3681. [Google Scholar] [CrossRef]
- Prokhorov, A.; Lysachev, M.; Borovkov, A. Digital Twin. Analysis, Trends, World Experience; OOO AlliancePrint: Moscow, Russia, 2020. (In Russian) [Google Scholar]
- Ozhmegov, K.; Kawalek, A.; Naizabekov, A.; Panin, E.; Lutchenko, N.; Sultanbekov, S.; Magzhanov, M.; Arbuz, A. The Effect of Radial-Shear Rolling Deformation Processing on the Structure and Properties of Zr-2.5Nb Alloy. Materials 2023, 16, 3873. [Google Scholar] [CrossRef] [PubMed]
- Mahmoud Alhaj Ali, A.; Gamin, Y.V.; Khakimova, A.N.; Kin, T.Y.; Galkin, S.P. Influence of temperature of radial-shear rolling on the structure of VT3-1 alloy. Metallurgist 2025, 69, 252–263. [Google Scholar] [CrossRef]
- GOST 26492-85; Titanium and Titanium Alloys Rolled Bars. Specifications. Rosstandart: Moscow, Russia, 1985.
- Saunders, N.; Guo, U.K.Z.; Li, X.; Miodownik, A.P.; Schillé, J.-P. Using JMatPro to model materials properties and behavior. JOM 2003, 55, 60–65. [Google Scholar] [CrossRef]
- Galkin, S.P.; Kin, T.Y.; Gamin, Y.V.; Aleshchenko, A.S.; Karpov, B.V. Review of scientific-applied research and industrial application of radial shear rolling technology. CIS Iron Steel Rev. 2024, 27, 35–47. [Google Scholar] [CrossRef]
















| Parameter | Value |
|---|---|
| Temperature of workpiece, °C | 900; 980; 1060 |
| Tool | |
| Material of working rolls | 40Cr steel |
| Roll diameter in the pinch, mm | 266 |
| Feed angle, degree | 18 |
| Toe angle, degree | 10 |
| Roll rotation velocity, rpm | 18.6 |
| Tool temperature, °C | 25 |
| Environmental parameters | |
| Ambient temperature, °C | 25 |
| Heat transfer coefficient, W/m2·K | 30 |
| Emission degree | 0.6 |
| Finite element mesh parameters | |
| Minimum/maximum adaptation of workpiece mesh | 1.5/15 |
| Minimum/maximum adaptation of tool mesh | 1/20 |
| Calculation step by time | 0.005 |
| Number of workpiece mesh elements | 21,846 |
| Average size of workpiece mesh element, mm | 6.2 |
| Pass Number | LengthExp (mm) | LengthSimul (mm) | Δabs (mm) | Δ (%) |
|---|---|---|---|---|
| №1 (T = 1060 °C, n = 1) | ||||
| 1 | 1105.0 | 1071.7 | 33.4 | 3.1 |
| №2 (T = 980 °C, n = 3) | ||||
| 1 | 592.0 | 614.0 | 22.0 | 3.6 |
| 2 | 731.2 | 764.0 | 32.8 | 4.3 |
| 3 | 1063.0 | 1058.5 | 4.5 | 0.4 |
| №3 (T = 900 °C, n = 5) | ||||
| 1 | 492.8 | 508.0 | 15.2 | 3.0 |
| 2 | 567.9 | 594.0 | 26.1 | 4.4 |
| 3 | 684.8 | 720.0 | 35.2 | 4.9 |
| 4 | 829.5 | 885.0 | 55.5 | 6.3 |
| 5 | 1042.0 | 1090.3 | 48.3 | 4.4 |
| Pass Number | TimeExp (s) | TimeSimul (s) | Δabs (s) | Δ (%) |
|---|---|---|---|---|
| №1 (T = 1060 °C, n = 1) | ||||
| 1 | 17.35 | 17.68 | 0.32 | 1.84 |
| №2 (T = 980 °C, n = 3) | ||||
| 1 | 11.40 | 11.40 | 0.00 | 0.00 |
| 2 | 11.70 | 11.58 | 0.12 | 1.04 |
| 3 | 15.40 | 16.17 | 0.76 | 4.73 |
| №3 (T = 900 °C, n = 5) | ||||
| 1 | 9.30 | 9.34 | 0.04 | 0.43 |
| 2 | 9.80 | 9.86 | 0.05 | 0.56 |
| 3 | 11.30 | 11.59 | 0.29 | 2.46 |
| 4 | 12.80 | 13.11 | 0.31 | 2.36 |
| 5 | 15.60 | 16.01 | 0.40 | 2.53 |
| Mode | Δ max (°C) | Δ max (%) |
|---|---|---|
| №1 (T = 1060 °C, n = 1) | 28.0 | 3 |
| №2 (T = 980 °C, n = 3) | 21.1 | 2 |
| №3 (T = 900 °C, n = 5) | 8.7 | 1 |
Disclaimer/Publisher’s Note: The statements, opinions and data contained in all publications are solely those of the individual author(s) and contributor(s) and not of MDPI and/or the editor(s). MDPI and/or the editor(s) disclaim responsibility for any injury to people or property resulting from any ideas, methods, instructions or products referred to in the content. |
© 2025 by the authors. Licensee MDPI, Basel, Switzerland. This article is an open access article distributed under the terms and conditions of the Creative Commons Attribution (CC BY) license (https://creativecommons.org/licenses/by/4.0/).
Share and Cite
Mahmoud Alhaj Ali, A.; Khakimova, A.; Gamin, Y.; Kin, T.; Letyagin, N.; Demin, D. Numerical Analysis and Experimental Verification of Radial Shear Rolling of Titanium Alloy. Modelling 2025, 6, 93. https://doi.org/10.3390/modelling6030093
Mahmoud Alhaj Ali A, Khakimova A, Gamin Y, Kin T, Letyagin N, Demin D. Numerical Analysis and Experimental Verification of Radial Shear Rolling of Titanium Alloy. Modelling. 2025; 6(3):93. https://doi.org/10.3390/modelling6030093
Chicago/Turabian StyleMahmoud Alhaj Ali, Abdullah, Anna Khakimova, Yury Gamin, Tatiana Kin, Nikolay Letyagin, and Dmitry Demin. 2025. "Numerical Analysis and Experimental Verification of Radial Shear Rolling of Titanium Alloy" Modelling 6, no. 3: 93. https://doi.org/10.3390/modelling6030093
APA StyleMahmoud Alhaj Ali, A., Khakimova, A., Gamin, Y., Kin, T., Letyagin, N., & Demin, D. (2025). Numerical Analysis and Experimental Verification of Radial Shear Rolling of Titanium Alloy. Modelling, 6(3), 93. https://doi.org/10.3390/modelling6030093

