Abstract
There is increasing concern over anthropogenically driven changes in our oceans and seas, from a variety of stressors. Such stressors include the increased risk of storms and precipitation, offshore industries and increased coastal development which can affect the marine environment. For some coastal cetacean species, there is an increased exposure to low salinity waters which have been linked with a range of adverse health effects in bottlenose dolphins. Knowledge gaps persist regarding how different time–salinity exposures affect the health and survival of animals. In such data-poor instances, expert elicitation can be used to convert an expert’s qualitative knowledge into subjective probability distributions. The management implications of this stressor and the subjective nature of expert elicitation requires transparency; we have addressed this here, utilizing the Sheffield Elicitation Framework. The results are a series of time response scenarios to estimate time to death in bottlenose dolphins, for use when data are insufficient to estimate probabilistic summaries. This study improves our understanding of how low salinity exposure effects dolphins, guiding priorities for future research, while its outputs can be used to support coastal management on a global scale.
1. Introduction
Over recent decades, there has been increasing concern over anthropogenically driven changes in our oceans and seas representing both single and multiple stressors for marine species []. These stressors exist across a range of scales, ranging from the pressing concern of climate change [], marine heat waves [,], ocean acidification and deoxygenation [], to increased anthropogenic perturbations from noise [,], overfishing and bycatch []. Additionally, there is an increased risk of storms and precipitation with the changing climate [], resulting in increased freshwater events in the coastal marine environment [,]. This represents a conservation and management issue with respect to the species inhabiting such regions. The Gulf of Mexico, USA, is a region with significant fisheries, oil and gas industry presence and one that experiences a storm season between July and November each year []. In addition, this is the drainage location for the Mississippi River, which is among the highest freshwater runoffs in the world [].
Bottlenose dolphins (Tursiops truncatus) are one of the best-known and well-recognized marine mammal species, found throughout temperate and tropical waters globally []. In the Gulf of Mexico region, multiple stocks inhabit bay, sound and estuary (BSE), coastal and offshore regions [,]. Distinct stocks are delineated for at least 31 BSE areas in the northern Gulf of Mexico, with three additional coastal stocks []. Genetic analyses support that BSE stocks are relatively discrete from one another [,]. BSE animals closest to shore are exposed to yearly freshwater influx from the Mississippi, Rio Grande, Mobile River and other rivers across the gulf. In addition, animals in some BSE stocks are potentially exposed to other stressors, including noise and water pollution [,,,,,] and a number of unusual mortality events (UME) have been documented for some BSE stocks, with possible causes (either alone or in combination) including morbillivirus, biotoxins, cold water temperatures, exposure to oil and agricultural run-off [,]. In addition to a challenging salinity regime, in isolated cases, individuals from some of these stocks have been displaced inshore by storm surges (i.e., moved out-of-habitat), which is cause of concern among managers [].
The salinity in which bottlenose dolphins are typically found ranges from 20–35 parts per thousand (ppt), with a minimum of 20 ppt recommended for dolphins housed in aquaria []. The animals within each stock show fidelity to the estuary or embayment which they occupy, even in spite of perceived environmental challenges, which could negatively impact health [,]. For example, some bottlenose dolphins found in Barataria Bay in the northern Gulf of Mexico have been found to encounter salinities ranging between 1.6–32.0 ppt, spending between 1–12 consecutive days at salinities below 8 ppt [,,]. However, globally, a number of studies have documented epidermal and biochemical changes associated with prolonged low salinity exposure (in both free swimming and stranded dolphins), including skin lesions, electrolyte imbalance, microbial infection and death [,,,,,,], in addition to a disrupted prey environment affecting foraging []. In addition, data exist on behavioral and physiological responses in dolphins when water salinity is varied in a controlled manner or through natural events (i.e., hurricanes, floods, entrapments) [,,] but die-offs have been associated with such instances [,,].
Despite this knowledge base, information gaps exist regarding how different time–salinity exposures affect bottlenose dolphin health and survival. One potential method to fill this gap, while further research is undertaken, is through the use of expert elicitation. Expert elicitation is a formal, structured process in which expert knowledge of an uncertain quantity is captured in the form of a probability distribution []. This technique was first developed in the 1950s and 1960s [,], but more recently has been widely used in a range of scientific fields [,,,,]. Perhaps the most high profile uses in the environmental sector have been in the assessment of risks from climate change [] and predictions of future sea level rise []. In addition, expert elicitation approaches have been used previously to construct dose–response functions [,]. In the field of marine mammals, a number of elicitations have been conducted in recent years involving the authors and seeking to improve the methods for marine mammal issues [,].
The objective of this study is to combine the professional judgements of a range of experts. This method is appropriate to use where there is a relative lack of data but an urgent need for conservation or management decisions [,]. This approach should build upon the best available science []. Expert elicitation can be used to access substantive knowledge on particular topics held by experts [], particularly to translate information obtained from multiple experts into quantitative statements that can be incorporated into a model, minimize bias in the elicited information, and ensure that uncertainty is accurately captured. Well-structured expert elicitations avoid many of the heuristics and biases that arise when experts make qualitative judgements or where such judgements are provided in an unstructured matter [,,].
The objective of this study was to develop and parameterize a quantitative dose–response function that integrates salinity and time as the specified “dose”. The intended outcome was to improve our understanding of how low salinity exposure affects dolphins, time to death (and contributing factors) and to advance the scientific foundation to support coastal management on a global scale. In addition to the results given in the main body of the paper, computer code to generate all figures and results are given in the Supplementary Materials.
2. Materials and Methods
This section has three elements. We summarize the overall elicitation approach undertaken, outline the design of this elicitation process (including the selection and preparation of experts) and describe the execution of the elicitation, the tools applied, and the statistical methods employed to generate dose–response functions.
2.1. Elicitation Approach
We employed an expert elicitation approach to develop response functions for different salinity time combinations, broadly following the Sheffield Elicitation Framework (SHELF) approach [,] (detailed below). This involved use of the SHELF template, carrying out introductory webinars and a formal elicitation workshop, the use of novel elicitation tools, behavioral aggregation to reach consensus via the “rational impartial observer” (RIO) approach. Crucially, this elicitation was facilitated by a trained, experienced facilitator, with support from a statistical specialist—the two authors of this study. The facilitator managed the discussion to ensure each expert engaged appropriately and the conversation was not dominated by any of the experts(s) and that the elicitation was not dominated by the common heuristics and biases that can arise, such as anchoring, availability bias and overconfidence [].
2.2. Designing the Elicitation
The selection of experts for participation in the elicitation was based on criteria that each individual had substantial knowledge to allow provision of reliable judgements on the effects of salinity exposure on bottlenose dolphins [] (see Supplementary Information—Table S1 for expert backgrounds). Best practice for the Sheffield framework suggests that between four and eight experts are involved in an elicitation; when elicitations are larger than this, excessive time is spent in the workshop without a corresponding increase in information being contributed [,]. In selecting experts, we reviewed the available literature and canvassed the research community to identify appropriate expert candidates. The final expert panel selected, comprising seven individuals, ensured a comprehensive coverage of expert judgement could be achieved across bottlenose dolphins and their ecology, and spanning the fields of epidemiology, animal physiology and veterinary science [,]. This coverage is a critical element of a successful elicitation as it avoids the likelihood of redundant information being presented, which may introduce bias [,].
Following the agreement of experts to participate, a webinar was hosted with the invited experts to further introduce the objectives of the elicitation, the formal elicitation process and discuss what should be included in the “evidence dossier”, to best support their decision making Table S2.
Expert elicitation can be a mentally taxing process, even for scientists familiar with probabilities and probability distributions. This is because it is a challenge to express personal judgement as estimates with associated uncertainty. To aid and motivate the experts in advance of the workshop, and to ultimately improve the quality of the elicitation outputs [,], experts were asked to complete an online e-learning training course in advance of attending the in-person workshop (found at http://www.smruconsulting.com/products-tools/pcod/pcod-project-outputs/online-expert-elicitation-course, accessed on 18 November 2019). This trained the experts in subjective probabilities, distributions, making reasoned probabilistic judgements and had a series of practice exercises with bespoke feedback for the experts.
2.3. Performing the Elicitation
2.3.1. Elicitation Structure
The elicitation was conducted as an in-person workshop held at the National Ocean and Atmospheric Administration facilities, Silver Springs, USA, on the 19–21 November 2019 (see Table S2). Experts were provided with a primer on basic probability concepts including plausible limits (sometimes referred to as the 1st and 99th quantiles), median and quartiles. The facilitator used this as an opportunity to highlight and explain some of the biases and/or heuristics that can affect the quality of expert judgements—so that experts were aware of this when providing their personal judgements.
In addition to the participating experts, the elicitation was supported by scientific observers who presented foundational briefings (functioning as an “evidence dossier”) on the published literature on salinity effects, unexplained mortality events (UMEs) [], data from studies on dolphins in the US Navy Marine Mammal Program [], a conceptual model of mechanistic pathways developed (Rowles, pers comm.) and unpublished literature/datasets available (e.g., telemetry data in different salinity regimes, relevant stranding records) to help inform judgements on quantities of interest. These observers did not provide judgements and only provided additional context when called upon.
In conjunction with the experts, the scope of the elicitation (and definitions used) was discussed and clarified. Experts were presented with a series of salinity exposure scenarios and draft questions relating to the quantity of interest. These were iteratively developed to ensure linguistic uncertainty was removed [].
2.3.2. Low Salinity Exposure Scenarios
The elicitation was focused on three scenarios of low salinity exposure. The scenario-setting was preceded by a “scoping exercise” to focus the elicitation on plausible scenarios and pathways to impact. Realistic salinity change scenarios were developed, parameterized using salinity measurements collated from “The US Geological Survey Gulf of Mexico Dashboard” https://gom.usgs.gov/gwd (accessed on 18 November 2019). The following scenarios were considered:
- Scenario 1A: An extended low salinity event. For example, a bay, sound and estuary (BSE) environment (i.e., mean 15–25 ppt) is flooded with fresh or low salinity water until salinity drops (at approx. 0.5 ppt/day—i.e., salinity decreasing over 20–40 days) to below 5 ppt for an extended period. This is an environment in which animals are exposed to other significant stressors (e.g., noise, low quality prey, exposure to contaminants) and are more likely to be in a “compromised health state”.
- Scenario 1B: As in Scenario 1A but in an environment in which there are few other stressors and animals in the population are broadly considered to be “healthy”.
- Scenario 2: “Acute salinity change event”: Bottlenose dolphins experience a change in salinity from typical salinity environment (i.e., mean 15–25 ppt) down to an atypical environment with salinity below 5 ppt for an extended period. This change in salinity occurs within 0–5 days.
Scenario 2 was designed to be applicable for events where animals are displaced by storm surges into atypical environments [].
2.3.3. Expert Judgements
The elicitation was split into two components: the first focused on generating probability distributions of the length of exposure ( in days) that would lead to mortality in bottlenose dolphins under a given salinity scenario, and the second focused on obtaining the parameters ( and ) required to determine the form (i.e., shape) of the dose–response function.
For the first component of the elicitation, a probability distribution on was elicited separately for each scenario. Initially, the experts were asked to provide their individual subjective judgements (in the form of a probability distribution, see below) to the question: “For the scenario defined (above), what is the length (in days) of continuous exposure to salinity below 5 ppt, that the average bottlenose dolphin in the population would need to experience to result in death (within 12 months of the start of the event)?”. Experts discussed the potential for salinity stratification and refugia to exist in the BSE environment but agreed it would be best to elicit on the basis of continuous exposure. In addition, experts agreed to elicit for the “average” animal, to help them provide realistic judgements of what could occur in a typical population (minimizing the risk of implausible values being elicited). It was discussed with experts that this could include averaging over any factors that could cause variation in response, such as health, sex, age, etc. However, such averaging needs to take account of the expert’s belief about the effect of such factors and the proportion of animals in each category (or distribution in each category for continuous variables).
Once the scenario and questions were finalized, experts provided their judgements using variable interval methods [], first selecting their plausible range, and then bisecting this range with median and 25th and 75th quantiles. Experts used a web-based visual interface developed using the R package shiny (https://smruconsulting.shinyapps.io/EE_SingleParam, accessed on 18 November 2019) to anonymously and independently submit their judgements to facilitator for fitting to a probability distribution.
Each individual expert’s judgements were fitted to probability distributions using the expert elicitation software SHELF version 3 (O’Hagan & Oakley, Sheffield, UK) []. This software comprised an add-on package (SHELF 1.7.0) accessed from the statistical software R 3.6.0 []. Within SHELF, the distribution best fitting the elicited quantiles was selected using a least-squares algorithm; the candidate distributions were normal, t, shifted gamma, lognormal, log-t, shifted scaled beta. The set of best-fitting distributions from the experts was presented back to the group and each expert was invited to provide their rationale for their judgements. To reach consensus, the group was asked to consider what a RIO may believe taking into account the individual judgements and supporting rationale. This behavioral aggregation approach helps to capture the views of multiple experts for distributions, to all experts to share and debate their opinions [,,]. These rationales were discussed as a group to reach a consensus of what would be a rational impartial observer of their combined knowledge (see [,] for details).
The second elicitation component was to estimate the form of the relationship between survival and length of exposure to low salinity water (this form was assumed to be the same for all scenarios). To achieve this, the experts were asked to provide judgements in response to the following question: “What form does the relationship between survival and length of exposure to low salinity take?”
To estimate the shape of the relationship between survival and the duration of low salinity exposure, experts were provided with a tool to aid their decision making and provide their judgements. The tool was developed as a web-based Shiny application (https://lenthomas.shinyapps.io/ElicitShape2 (accessed on 2 December 2020)) and allowed elicitation of the location () and shape () parameters described above. Experts also rated their confidence in their elicited values on a scale of 1 (least confident) to 3 (most confident). Unlike the previous question, no uncertainty was elicited from the experts on their judgements to this question. We elicited a separate distribution from each expert, and experts agreed that a rational impartial consensus distribution would be obtained by sampling from their separate distributions.
2.4. Dose–Response Function
The resulting dose–response function is defined as follows. Let be a multiplier that is applied to the baseline annual survival probability of a dolphin population as a result of days of exposure to low salinity. has a value of 1 (i.e., no effect on survival) when and a value of 0 (i.e., no survival) when . We define the following dose–response function
where is a truncated normal cumulative distribution function with lower limit 0, upper limit 100, location parameter and shape parameter , evaluated at (which is the percentage of the maximum days of exposure). For reference,
where is the untruncated normal cumulative distribution function with mean and standard deviation , evaluated at . Defined this way, the dose–response function is guaranteed to be monotonic non-increasing between 0 and days, with considerable flexibility between showing a gradual decrease (when is large) over that range—or part of it—through to showing a step function (when is small) at a particular day. This flexibility is illustrated by the range of elicited shapes shown later in the paper, and the full code to reproduce the dose–response function is available in the Supplemental Materials.
To generate dose–response relationships for each scenario, the probability distributions elicited for the scenarios above were sampled from and combined with the shape function elicited with probability proportional to expert’s confidence.
3. Results
The experts were asked to identify and consider the main pathways by which low salinity exposure could impact upon the health and survival of bottlenose dolphins.
3.1. Probability Distributions
3.1.1. Extended Low Salinity Events
The first two Scenarios 1A,B, considered almost identical scenarios, with the difference between the initial health status of animals in the differing environments Figure 1. The final elicited distributions were similar for both scenarios, but with animals from an environment with few other stressors likely to be more robust to exposure. Median values were 62 days in animals exposed to other significant stressors and 77 days for animals in an environment with few other stressors. A higher concentration of mass around the median in the poorer environment distribution reflects a greater certainty of time to death, being shorter in a multiple stressor environment than in an environment with few other stressors. In both scenarios experts believed there was a small chance that short, continuous exposures (e.g., 11–12 days) could result in death of the average bottlenose dolphin, but that shorter disturbances were highly unlikely to be lethal. Experts also concluded that it was plausible that the average animal could experience much longer continuous exposures and survive, but that the other background stressors in the environment were important factors affecting the time to death (e.g., 99th percentile of up to 160 and 198 days in 1A and 1B, respectively), most clearly seen by examining the tails of the distributions Figure 1.

Figure 1.
Elicited probability distributions for scenarios 1A (extended low salinity event in “poor” environment, 1B (extended low salinity event in “good” environment) and 2 (acute salinity change) showing the length in days of exposure resulting in death of the average bottlenose dolphin.
3.1.2. Acute Salinity Change Events
Experts considered that time to death would be much lower in instances where the change in salinity regime was much more acute, with a median time to death of 22 days of continuous exposure to salinity water below 5 ppt. Experts indicated that it was extremely unlikely that the average bottlenose dolphin would survive such an exposure beyond 49 days. The high concentration of mass around the median (inter-quartile range: 14–30 days) reflects the greater certainty of experts of the outcomes of acute salinity changes.
3.1.3. Expert Rationale
For all scenarios, experts considered the energetic costs associated with reduced energy intake (i.e., prey effects such as changes in density/abundance, schooling, prey type and quality) and increased energetic expenditure (e.g., dolphin buoyancy, cost of transport and reduced foraging efficiency). In addition, experts considered the age structure of populations and how they differ between healthy and unhealthy populations. The experts indicated their judgements were informed from their own research experience and the data presented and discussed in the scoping phase of the workshop.
For acute salinity change scenarios, experts noted that, in addition to the broad energetic challenges and population drivers, animals may struggle to locate prey resources. They also noted that in such instances where animals are relocated (e.g., swept by storm surges), they can be exposed to poor water quality [,] with limited prey availability [], isolated from conspecifics [] and can experience physical trauma during movement—all of which lower the duration of exposure that could be survived.
For all exposures, experts acknowledged there was the potential for animals to suffer delayed lethal effects (e.g., animals might die in subsequent years due to an initial unrecoverable exposure), but this was outside the scope of the elicitation question (which focused on effects within 12 months).
3.2. Dose–Response Function Shape
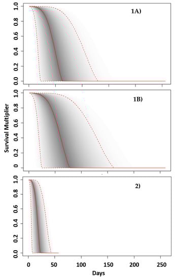
Expert judgements showed broad agreement over the shape by which continuous exposure would affect animal health (ultimately resulting in death), as shown in Figure 2. Experts agreed that animals can tolerate some exposure but that weaker animals, likely a small proportion of the population, could succumb early (e.g., young and very old animals, animals in poor health). Experts considered that the main pathway to mortality is via the skin and this likely takes some time to manifest, with the skin barrier degrading gradually as the exposure duration increases. However, once the skin barrier is compromised, a positive feedback loop exists, such that animals’ condition progressively worsens, leading to increased infections, decompensation of adrenal and renal systems in addition to other chronic illnesses, and subsequent malnutrition. Experts judged that animals in the best condition at the start of low salinity exposure would die last. Figure 3 shows the resulting dose–response function from the combination of scenario-specific distributions with the generalized dose function shape, while Figures S1 and S2 show realizations drawn from these functions.

Figure 2.
Elicited form of the dose–response function from each of the experts (black lines). Thickness of the line is proportional to the certainty the expert attached to their elicited shape. The red line indicates the weighted mean function, while the shaded polygon indicates approximate 50% central weighted quantiles.

Figure 3.
Dose–response functions for Scenarios 1A (extended low salinity event in “poor” environment, 1B (extended low salinity event in “good” environment) and 2 (acute salinity change). Figure shows the quantiles of the distribution generated by 10,000 realizations; the red solid line is the median and the dashed lines are the 5th and 95th quantiles (i.e., forming a 90% interval).
4. Discussion
This study utilizes expert knowledge to address a key management and conservation gap regarding the impacts of a changing environment on a marine mammal species. Specifically, an expert elicitation approach was employed to derive dose–response functions [,] and crucially characterizes the associated uncertainty and likelihood of events via probability. Such dose–response functions have applications in population modelling, quantitative risk assessments, probabilistic decision making, and for use as prior distributions in Bayesian modelling.
The dose–response functions, based on the best available science and knowledge of experts, provide an indication of how low salinity exposure may affect bottlenose dolphins. These results indicate that, in general, animals may ensure some periods of exposure to water below salinities of 5 ppt before health is impacted. This may be due to some tolerance to low salinity exposure, or perhaps more likely due to the timelines over which pathways to mortality to occur. Experts estimated these periods might be 20–30 days in the extended continuous exposure scenarios considered, but are considerably shorter (i.e., 6–8 days) for scenarios with acute changes in salinity. In all scenarios, once the survival probability began to decrease, experts indicated that they believed a relatively rapid decline in survival would occur as low salinity exposure continued. An important contextual factor in these assessments was the quality of the environment which animals inhabit and the presence of other stressors. These could negatively impact the health of individuals before low salinity exposure occurs, which has the potential to exacerbate health conditions.
The probability distributions and dose–response function generated in this study, provide the first quantitative outputs, with potential applications in management and conservation applications. For example, they could be used in an adaptive management framework to monitor and mitigate against adverse impacts. More specifically, they could be used in combination with data from the US Geological Survey (https://gom.usgs.gov/gwd, accessed on 18 November 2019) precipitation and salinity monitoring stations (or from other site-specific data collection initiatives) to predict the risk of adverse impacts on specific bottlenose dolphin stocks. This study helps provide an improved understanding of the tipping points in dolphin health and could inform when stranding monitoring might be increased and when mitigation is required. In instances where river flow into the Gulf of Mexico is regulated, the dose–response functions could be used to inform guidance thresholds for the periods over which prolonged freshwater flow is permitted. Similarly, given the predictable storm season, if dolphins are moved “out-of-habitat” [], the acute salinity change scenario outputs could be used to inform when management action is needed.
Understanding the population level impacts of such exposures is very important. One way to achieve this is through a population simulation study, where simulated population trajectories under baseline scenarios are compared with those under scenarios, where a given proportion of the population are subjected to an altered salinity regime—changes in survival of the proportion exposed would be informed by the results given here. An example of such a study, is that which was conducted on the bottlenose dolphin population in Barataria Bay, Louisiana [], where the impact scenarios were based on estimated changes in survival and fecundity from the Deepwater Horizon oil spill. The same population model could be used, for example, to examine possible future effects of changes in the seasonal management of the Mississippi River outflows into the bay. For this, estimates of the proportion of the population affected would be required. Similar studies could be performed on other populations, if suitable alterations to the baseline demographic parameters could be made.
We note that the results of this elicitation capture the experts’ subjective judgements at the time of the workshop (and utilizing the data available at that time). The results of a duplicate elicitation with different experts or with the same group of experts at another time, could differ from those presented here. However, we do not expect them to differ significantly and they are in line with the limited available data on duration of low salinity exposures [,]. Astfalck et al. [] argue in the absence of a comprehensive dataset to validate an expert elicitation, that the success of the exercise can be assessed by whether the experts are satisfied with the outcome and whether the outputs are useful. We contend that this study meets both criteria. In particular, the range of management applications described are indicative of success relating to the utility of these outputs. By utilizing the SHELF protocol [], reviewing, collating and disseminating the available datasets and through the use of an experienced facilitator, the process of eliciting the elements to construct dose–response functions was straightforward, albeit novel in marine mammal science. The methodology presented here is transferable to the generation of any dose–response functions, provided there are adequate data to support expert judgements.
In expert elicitation it is important that there is a clear scope for experts, to aid and focus their judgements. In all scenarios, a key assumption was that animals cannot leave the low salinity areas, and therefore, the dose–response functions are for continuous exposure scenarios. Experts agreed that energetics (additional costs of inhabiting low salinity waters, whether or not exposed animals had access to suitable prey) and water quality (e.g., presence of biotoxins, pathogens, turbidity and contaminants) were considered when making their judgements. It is important to note that experts agreed not to consider the effects of temperature, stratification, or the effects of other stressors (e.g., the Deepwater Horizon oil spill []). In addition, as continuous exposure was the focus, any potential benefits of access to saline refugia in shallow (e.g., 1–2 m depth) and deeper BSE environments (e.g., 12–14 m depth) were not considered—though experts noted that animals might be able to access such features, but that this was poorly understood [,].
The study provides a means by which to temporarily fill a knowledge gap for a pressing conservation and management issue. However, a number of data gaps remain and are best addressed with additional studies of cetaceans in proximity to BSE environments. Future work is necessary to fully understand the pathways, effects, and thresholds regarding the effects of low salinity on bottlenose dolphins and other cetaceans on a global scale. Primarily, an improved understanding of the effect of aggregate exposures to repeated low salinity events, how multiple exposures within and between years are managed in the short and medium terms (e.g., freshwater pulses, short-term movements or whether there is access to potential saline refugia), and the long-term impacts of single and repeated exposures are all critical gaps. In addition, advancing the knowledge base on the physiological effects of low salinity exposure [] is critical. Key areas include the timescales for development and/or recovery of conditions and pathways to mortality (including degeneration of the skin layer, infections through skin or gastrointestinal tract, the potential for adrenal exhaustion and renal failure). Finally, studies to improve knowledge of the bioenergetic cost of living in a low salinity environment, including how the prey base changes and how dolphin buoyancy, foraging efficiency and the costs of transport are affected. Such advancements will also help improve our understanding of the impacts of this stressor, and represent important elements to be considered along with other environmental stressors and the cumulative effects of multiple stressors (e.g., underwater noise, water temperature) on marine mammal populations [].
Supplementary Materials
The following are available online at https://www.mdpi.com/2673-1924/2/1/11/s1, Table S1: Expert elicitation workshop participants, relevant expertise and roles; Table S2: Expert elicitation programme; Figure S1: Outputs of the dose response functions for scenarios 1A and 1B. Figure shows the first 100 realizations from dose response in Figure 3, demonstrating the range of shapes produced; Figure S2: Outputs of the dose response functions for scenario 2. Figure shows the first 100 realizations from dose response in Figure 3, demonstrating the range of shapes (note x-axis is different from Figure S1); and Extended Results (.pdf & .rmd).
Author Contributions
Conceptualization, C.B. and L.T.; methodology, C.B. and L.T.; software, C.B. and L.T.; formal analysis, C.B. and L.T.; investigation, C.B. and L.T.; writing—original draft preparation, C.B. and L.T.; writing—review and editing, C.B. and L.T.; project administration, C.B.; funding acquisition, C.B. All authors have read and agreed to the published version of the manuscript.
Funding
This research was funded by National Marine Fisheries Service for support via awards: NFFKPR00-19-01552 and NA20NMF0080281.
Informed Consent Statement
Informed consent was obtained from all subjects involved in the study.
Data Availability Statement
Data supporting the results are found in the Supplementary Materials Extended Results (.pdf & .rmd).
Acknowledgments
We would like to acknowledge the participants in the expert elicitation workshop: L.H., M.J., E.J., K.M., D.F., L.S., P.D., D.G., T.R., E.F., L.G., R.T., A.M., C.S., J.D.F., S.W., L.E., B.P., and B.L. We also would like to thank the three reviewers and editor who provided invaluable input to improve this manuscript.
Conflicts of Interest
The authors declare no conflict of interest. Funders had a role in specifying the overarching objective of the study.
References
- National Academies of Sciences Engineering and Medicine. Approaches to Understanding the Cumulative Effects of Stressors on Marine Mammals; The National Academies Press: Washington, DC, USA, 2017. [Google Scholar]
- Poloczanska, E.S.; Burrows, M.T.; Brown, C.J.; García Molinos, J.; Halpern, B.S.; Hoegh-Guldberg, O.; Kappel, C.V.; Moore, P.J.; Richardson, A.J.; Schoeman, D.S. Responses of marine organisms to climate change across oceans. Front. Mar. Sci. 2016, 3, 62. [Google Scholar] [CrossRef]
- Frölicher, T.L.; Laufkötter, C. Emerging risks from marine heat waves. Nat. Commun. 2018, 9, 650. [Google Scholar] [CrossRef] [PubMed]
- Harvell, C.; Montecino-Latorre, D.; Caldwell, J.; Burt, J.; Bosley, K.; Keller, A.; Heron, S.; Salomon, A.; Lee, L.; Pontier, O. Disease epidemic and a marine heat wave are associated with the continental-scale collapse of a pivotal predator (Pycnopodia helianthoides). Sci. Adv. 2019, 5, eaau7042. [Google Scholar] [CrossRef] [PubMed]
- Bijma, J.; Pörtner, H.-O.; Yesson, C.; Rogers, A.D. Climate change and the oceans–What does the future hold? Mar. Pollut. Bull. 2013, 74, 495–505. [Google Scholar] [CrossRef]
- King, S.L.; Schick, R.S.; Donovan, C.; Booth, C.G.; Burgman, M.; Thomas, L.; Harwood, J. An interim framework for assessing the population consequences of disturbance. Methods Ecol. Evol. 2015, 6, 1150–1158. [Google Scholar] [CrossRef]
- Erbe, C.; Marley, S.A.; Schoeman, R.P.; Smith, J.N.; Trigg, L.E.; Embling, C.B. The Effects of Ship Noise on Marine Mammals—A Review. Front. Mar. Sci. 2019, 6. [Google Scholar] [CrossRef]
- Davies, R.; Cripps, S.; Nickson, A.; Porter, G. Defining and estimating global marine fisheries bycatch. Mar. Policy 2009, 33, 661–672. [Google Scholar] [CrossRef]
- Trenberth, K.E. Changes in precipitation with climate change. Clim. Res. 2011, 47, 123–138. [Google Scholar] [CrossRef]
- Huizer, S.; Karaoulis, M.; Oude Essink, G.; Bierkens, M. Monitoring and simulation of salinity changes in response to tide and storm surges in a sandy coastal aquifer system. Water Resour. Res. 2017, 53, 6487–6509. [Google Scholar] [CrossRef]
- Holt, T.; Seibert, S.L.; Greskowiak, J.; Freund, H.; Massmann, G. Impact of storm tides and inundation frequency on water table salinity and vegetation on a juvenile barrier island. J. Hydrol. 2017, 554, 666–679. [Google Scholar] [CrossRef]
- Curtis, S. The Atlantic multidecadal oscillation and extreme daily precipitation over the US and Mexico during the hurricane season. Clim. Dyn. 2008, 30, 343–351. [Google Scholar] [CrossRef]
- Nijssen, B.; O’Donnell, G.M.; Lettenmaier, D.P.; Lohmann, D.; Wood, E.F. Predicting the discharge of global rivers. J. Clim. 2001, 14, 3307–3323. [Google Scholar] [CrossRef]
- Vollmer, N.L.; Rosel, P.E. A review of common bottlenose dolphins (Tursiops truncatus truncatus) in the northern Gulf of Mexico: Population biology, potential threats, and management. Southeast Nat. 2013, 12, 1–43. [Google Scholar]
- Hayes, S.; Josephson, E.; Maze-Foley, K.; Rosel, P. US Atlantic and Gulf of Mexico marine mammal stock assessments–2018. NOAA Tech. Memo. NMFS-NE 2019, 258. [Google Scholar] [CrossRef]
- NOAA Fisheries. Common Bottlenose Dolphin (Tursiops Truncatus Truncatus): Northern Gulf of Mexico Bay, Sound, and Estuary Stocks; NOAA Southeast Fisheries Science Center: Miama, FL, USA, 2019; p. 21.
- Rosel, P.; Wilcox, L.; Sinclair, C.; Speakman, T.; Tumlin, M.; Litz, J.; Zolman, E. Genetic assignment to stock of stranded common bottlenose dolphins in southeastern Louisiana after the Deepwater Horizon oil spill. Endanger. Species Res. 2017, 33, 221–234. [Google Scholar] [CrossRef]
- Balmer, B.C.; Schwacke, L.H.; Wells, R.S.; George, R.C.; Hoguet, J.; Kucklick, J.R.; Lane, S.M.; Martinez, A.; McLellan, W.A.; Rosel, P.E.; et al. Relationship between persistent organic pollutants (POPs) and ranging patterns in common bottlenose dolphins (Tursiops truncatus) from coastal Georgia, USA. Sci. Total Environ. 2011, 409, 2094–2101. [Google Scholar] [CrossRef]
- Rowles, T.K.; Schwacke, L.S.; Wells, R.S.; Saliki, J.T.; Hansen, L.; Hohn, A.; Townsend, F.; Sayre, R.A.; Hall, A.J. Evidence of susceptibility to morbillivirus infection in cetaceans from the United States. Mar. Mammal Sci. 2011, 27, 1–19. [Google Scholar] [CrossRef]
- Schwacke, L.H.; Thomas, L.; Wells, R.S.; McFee, W.E.; Hohn, A.A.; Mullin, K.D.; Zolman, E.S.; Quigley, B.M.; Rowles, T.K.; Schwacke, J.H. Quantifying injury to common bottlenose dolphins from the Deepwater Horizon oil spill using an age-, sexand class-structured population model. Endang. Species Res. 2017, 33, 265–279. [Google Scholar] [CrossRef]
- Takeshita, R.; Sullivan, L.; Smith, C.; Collier, T.; Hall, A.; Brosnan, T.; Rowles, T.; Schwacke, L. The Deepwater Horizon oil spill marine mammal injury assessment. Endang. Species Res. 2017, 33, 95–106. [Google Scholar] [CrossRef]
- Venn-Watson, S.K.; Townsend, F.I.; Daniels, R.L.; Sweeney, J.C.; Mcbain, J.W.; Klatsky, L.J.; Hicks, C.L.; Staggs, L.A.; Rowles, T.K.; Schwacke, L.H.; et al. Hypocitraturia in Common Bottlenose Dolphins (Tursiops truncatus): Assessing a Potential Risk Factor for Urate Nephrolithiasis. Comp. Med. 2010, 60, 149–153. [Google Scholar]
- Mchugh, K.A.; Allen, J.B.; Barleycorn, A.A.; Wells, R.S. Severe Karenia brevis red tides influence juvenile bottlenose dolphin (Tursiops truncatus) behavior in Sarasota Bay, Florida. Mar. Mammal Sci. 2011, 27, 622–643. [Google Scholar] [CrossRef]
- Litz, J.A.; Baran, M.A.; Bowen-Stevens, S.R.; Carmichael, R.H.; Colegrove, K.M.; Garrison, L.P.; Fire, S.E.; Fougeres, E.M.; Hardy, R.; Holmes, S. Review of historical unusual mortality events (UMEs) in the Gulf of Mexico (1990–2009): Providing context for the multi-year northern Gulf of Mexico cetacean UME declared in 2010. Dis. Aquat. Org. 2014, 112, 161–175. [Google Scholar] [CrossRef]
- Carmichael, R.H.; Graham, W.M.; Aven, A.; Worthy, G.; Howden, S. Were Multiple Stressors a ‘Perfect Storm’ for Northern Gulf of Mexico Bottlenose Dolphins (Tursiops truncatus) in 2011? PLoS ONE 2012, 7. [Google Scholar] [CrossRef]
- Rosel, P.E.; Watts, H. Hurricane impacts on bottlenose dolphins in the northern Gulf of Mexico. Gulf Mex. Sci. 2007, 25, 88. [Google Scholar] [CrossRef][Green Version]
- Andersen, S. Treatment of water in dolphinaria. Aquat. Mamm 1973, 1, 1–18. [Google Scholar]
- Wells, R.S.; Rhinehart, H.L.; Hansen, L.J.; Sweeney, J.C.; Townsend, F.I.; Stone, R.; Casper, D.R.; Scott, M.D.; Hohn, A.A.; Rowles, T.K. Bottlenose dolphins as marine ecosystem sentinels: Developing a health monitoring system. EcoHealth 2004, 1, 246–254. [Google Scholar] [CrossRef]
- Hart, L.B.; Rotstein, D.S.; Wells, R.S.; Allen, J.; Barleycorn, A.; Balmer, B.C.; Lane, S.M.; Speakman, T.; Zolman, E.S.; Stolen, M. Skin lesions on common bottlenose dolphins (Tursiops truncatus) from three sites in the Northwest Atlantic, USA. PLoS ONE 2012, 7, e33081. [Google Scholar] [CrossRef]
- McDonald, T.L.; Hornsby, F.E.; Speakman, T.R.; Zolman, E.S.; Mullin, K.D.; Sinclair, C.; Rosel, P.E.; Thomas, L.; Schwacke, L.H. Survival, density, and abundance of common bottlenose dolphins in Barataria Bay (USA) following the Deepwater Horizon oil spill. Endanger. Species Res. 2017, 33, 193–209. [Google Scholar] [CrossRef]
- Hornsby, F.E.; McDonald, T.L.; Balmer, B.C.; Speakman, T.R.; Mullin, K.D.; Rosel, P.E.; Wells, R.S.; Telander, A.C.; Marcy, P.W.; Klaphake, K.C. Using salinity to identify common bottlenose dolphin habitat in Barataria Bay, Louisiana, USA. Endanger. Species Res. 2017, 33, 181–192. [Google Scholar] [CrossRef]
- McClain, A.M.; Daniels, R.; Gomez, F.M.; Ridgway, S.H.; Takeshita, R.; Jensen, E.D.; Smith, C.R. Physiological Effects of Low Salinity Exposure on Bottlenose Dolphins (Tursiops truncatus). J. Zool. Bot. Gard. 2020, 1, 61–75. [Google Scholar] [CrossRef]
- Colbert, A.A.; Scott, G.; Fulton, M.; Wirth, E.; Daugomah, J.; Key, P.; Strozier, E.; Galloway, S. Investigation of Unusual Mortalities of Bottlenose Dolphins Along the Mid-Texas Coastal Bay Ecosystem During 1992; US Department of Commerce: Washington, DC, USA, 1999.
- Mullin, K.; Barry, K.P.; Sinclair, C.; Litz, J.A.; Maze-Foley, K.; Fougères, E.M.; Ewing, R.; Gorgone, A.M.; Adams, J.; Tumlin, M. Common Bottlenose Dolphins (Tursiops Truncatus) in Lake Pontchartrain, Louisiana, 2007 to Mid-2014; NOAA Southeast Fisheries Science Center: Miama, FL, USA, 2015.
- Barry, K.P.; Gorgone, A.M.; Mase, B. Lake Pontchartrain, Louisiana Bottlenose Dolphin Survey Summary 28 April 2008–10 May 2008. In Southeast Fisheries Science Center, National Marine Fisheries Service, NOAA Protected Resources and Biodiversity Division, PRBD Contribution: PRBD-08/09-01; NOAA Southeast Fisheries Science Center: Miama, FL, USA, 2008. [Google Scholar]
- Holyoake, C.; Finn, H.; Stephens, N.; Duignan, P.; Salgado, C.; Smith, H.; Bejder, L.; Linke, T.; Daniel, C.; Lo, H. Technical Report on the Bottlenose Dolphin (Tursiops Aduncus) Unusual Mortality Event within the Swan Canning Riverpark, June–October 2009; Murdoch University: Perth, Australia, 2010. [Google Scholar]
- Rowe, L.E.; Currey, R.J.; Dawson, S.M.; Johnson, D. Assessment of epidermal condition and calf size of Fiordland bottlenose dolphin Tursiops truncatus populations using dorsal fin photographs and photogrammetry. Endanger. Species Res. 2010, 11, 83–89. [Google Scholar] [CrossRef]
- Duignan, P.J.; Stephens, N.S.; Robb, K. Fresh water skin disease in dolphins: A case definition based on pathology and environmental factors in Australia. Sci. Rep. 2020, 10, 1–17. [Google Scholar] [CrossRef] [PubMed]
- Smith, C.E.; Hurley, B.J.; Toms, C.N.; Mackey, A.D.; Solangi, M.; Kuczaj, S.A. Hurricane impacts on the foraging patterns of bottlenose dolphins Tursiops truncatus in Mississippi Sound. Mar. Ecol. Prog. Ser. 2013, 487, 231–244. [Google Scholar] [CrossRef]
- Fandel, A.D.; Garrod, A.; Hoover, A.; Wingfield, J.; Lyubchich, V.; Secor, D.; Hodge, K.; Rice, A.; Bailey, H. Effects of intense storm events on dolphin occurrence and foraging behavior. Sci. Rep. 2020, 10, 1–9. [Google Scholar] [CrossRef]
- O’Hagan, A. Expert knowledge elicitation: Subjective but scientific. Am. Stat. 2019, 73, 69–81. [Google Scholar] [CrossRef]
- Brown, B.B. Delphi Process: A Methodology Used for the Elicitation of Opinions of Experts; Rand Corp.: Santa Monica, CA, USA, 1968. [Google Scholar]
- O’Hagan, A.; Buck, C.E.; Daneshkhah, A.; Eiser, J.R.; Garthwaite, P.H.; Jenkinson, D.J.; Oakley, J.E.; Rakow, T. Uncertain Judgements: Eliciting Experts’ Probabilities; John Wiley & Sons: Hoboken, NJ, USA, 2006. [Google Scholar]
- European Food Safety Authority. Guidance on Expert Knowledge Elicitation in Food and Feed Safety Risk Assessment; European Food Safety Authority (EFSA): Parma, Italy, 2014.
- Knol, A.B.; Slottje, P.; van der Sluijs, J.P.; Lebret, E. The use of expert elicitation in environmental health impact assessment: A seven step procedure. Environ. Health 2010, 9, 19. [Google Scholar] [CrossRef]
- MacMillan, D.C.; Marshall, K. The Delphi process–an expert-based approach to ecological modelling in data-poor environments. Anim. Conserv. 2006, 9, 11–19. [Google Scholar] [CrossRef]
- Sivle, L.D.; Kvadsheim, P.H.; Curé, C.; Isojunno, S.; Wensveen, P.J.; Lam, F.-P.A.; Visser, F.; Kleivane, L.; Tyack, P.L.; Harris, C.M. Severity of expert-identified behavioural responses of humpback whale, minke whale, and northern bottlenose whale to naval sonar. Aquat. Mamm. 2015, 41, 469. [Google Scholar] [CrossRef]
- Aspinall, W. A route to more tractable expert advice. Nature 2010, 463, 294. [Google Scholar] [CrossRef] [PubMed]
- Lenton, T.M.; Held, H.; Kriegler, E.; Hall, J.W.; Lucht, W.; Rahmstorf, S.; Schellnhuber, H.J. Tipping elements in the Earth’s climate system. Proc. Natl. Acad. Sci. USA 2008, 105, 1786–1793. [Google Scholar] [CrossRef]
- Bamber, J.L.; Aspinall, W. An expert judgement assessment of future sea level rise from the ice sheets. Nat. Clim. Chang. 2013, 3, 424. [Google Scholar] [CrossRef]
- Albert, I.; Donnet, S.; Guihenneuc-Jouyaux, C.; Low-Choy, S.; Mengersen, K.; Rousseau, J. Combining expert opinions in prior elicitation. Bayesian Anal. 2012, 7, 503–532. [Google Scholar] [CrossRef]
- Boobis, A.; Flari, V.; Gosling, J.P.; Hart, A.; Craig, P.; Rushton, L.; Idahosa-Taylor, E. Interpretation of the margin of exposure for genotoxic carcinogens–Elicitation of expert knowledge about the form of the dose response curve at human relevant exposures. Food Chem. Toxicol. 2013, 57, 106–118. [Google Scholar] [CrossRef]
- Booth, C.; Burgman, M.; Donovan, C.; Harwood, J.; Thomas, L.; Schick, R.; Wood, J. PCoD Lite-Using an Interim PCoD Protocol to Assess the Effects of Disturbance Associated with US Navy Exercises on Marine Mammal Populations; DTIC Document: St Andrews, UK, 2014. [Google Scholar]
- Tollit, D.; Harwood, J.; Booth, C.; Thomas, L.; New, L.F.; Wood, J. Cook Inlet Beluga Whale PCoD Expert Elicitation Workshop Report. Prepared by SMRU Consulting North America for NOAA Fisheries; SMRU Consulting: Friday Harbor, WA, USA, 2016. [Google Scholar]
- Martin, T.G.; Burgman, M.A.; Fidler, F.; Kuhnert, P.M.; Low-Choy, S.; McBride, M.; Mengersen, K. Eliciting expert knowledge in conservation science. Conserv. Biol. 2012, 26, 29–38. [Google Scholar] [CrossRef]
- Runge, M.C.; Converse, S.J.; Lyons, J.E. Which uncertainty? Using expert elicitation and expected value of information to design an adaptive program. Biol. Conserv. 2011, 144, 1214–1223. [Google Scholar] [CrossRef]
- Morgan, M.G. Use (and abuse) of expert elicitation in support of decision making for public policy. Proc. Natl. Acad. Sci. USA 2014, 111, 7176–7184. [Google Scholar] [CrossRef] [PubMed]
- Kynn, M. The ‘heuristics and biases’ bias in expert elicitation. J. R. Stat. Soc. Ser. Stat. Soc. 2008, 171, 239–264. [Google Scholar] [CrossRef]
- Kahneman, D. Thinking, Fast and Slow; Macmillan: London, UK, 2011. [Google Scholar]
- Gosling, J.P. SHELF: The Sheffield elicitation framework. In Elicitation; Springer: Berlin/Heidelberg, Germany, 2018; pp. 61–93. [Google Scholar]
- Astfalck, L.; Cripps, E.; Gosling, J.; Hodkiewicz, M.; Milne, I. Expert elicitation of directional metocean parameters. Ocean. Eng. 2018, 161, 268–276. [Google Scholar] [CrossRef]
- Pasanisi, A.; Keller, M.; Parent, E. Estimation of a quantity of interest in uncertainty analysis: Some help from Bayesian decision theory. Reliab. Eng. Syst. Saf. 2012, 100, 93–101. [Google Scholar] [CrossRef]
- Hart, A.; Gosling, J.P.; Quigley, J.; Revie, M.; Thulke, H.H.; Brock, T.; O’Hagan, T.; Charlton, C. Training courses on “Steering an Expert Knowledge Elicitation” and “Use of the Expert Knowledge Elicitation Guidance in Risk Assessments for EFSA Management” and “Conduct of the Sheffield protocol for an Expert Knowledge Elicitation”. EFSA Supporting Publ. 2018, 15, 1450E. [Google Scholar] [CrossRef]
- Renooij, S. Probability elicitation for belief networks: Issues to consider. Knowl. Eng. Rev. 2001, 16, 255. [Google Scholar] [CrossRef]
- Carey, J.M.; Burgman, M.A. Linguistic uncertainty in qualitative risk analysis and how to minimize it. Ann. N. Y. Acad. Sci. 2008, 1128, 13–17. [Google Scholar] [CrossRef]
- Hora, S.C. Acquisition of expert judgment: Examples from risk assessment. J. Energy Eng. 1992, 118, 136–148. [Google Scholar] [CrossRef]
- R Core Team R: A Language and Environment for Statistical Computing; R Foundation for Statistical Computing: Vienna, Austria, 2016.
- Fazioli, K.L.; Hofmann, S.; Wells, R.S. Use of Gulf of Mexico coastal waters by distinct assemblages of bottlenose dolphins (Tursiops truncatus). Aquat. Mamm. 2006, 32, 212. [Google Scholar] [CrossRef]
- Fury, C.A.; Harrison, P.L. Impact of flood events on dolphin occupancy patterns. Mar. Mammal Sci. 2011, 27, E185–E205. [Google Scholar] [CrossRef]
- Hoffland, T.; Yeater, D.B.; Kuczaj II, S.A.; Solangi, M. Importance of social relationships in a group of Bottlenose dolphins (Tursiops truncatus) during a natural disaster. Aquat. Mamm. 2017, 43, 391. [Google Scholar] [CrossRef]
- Hickey, B.; MacCready, P.; Elliott, E.; Kachel, N. Dense saline plumes in Exuma sound, Bahamas. J. Geophys. Res. Ocean. 2000, 105, 11471–11488. [Google Scholar] [CrossRef]
- Manzello, D.P.; Enochs, I.C.; Melo, N.; Gledhill, D.K.; Johns, E.M. Ocean acidification refugia of the Florida Reef Tract. PLoS ONE 2012, 7, e41715. [Google Scholar]
Publisher’s Note: MDPI stays neutral with regard to jurisdictional claims in published maps and institutional affiliations. |
© 2021 by the authors. Licensee MDPI, Basel, Switzerland. This article is an open access article distributed under the terms and conditions of the Creative Commons Attribution (CC BY) license (http://creativecommons.org/licenses/by/4.0/).