Baseline Survey on the Accumulation of Microdebris in the Intertidal Sediments of a Reference Estuarine System (Mira Estuary, Portugal)
Abstract
1. Introduction
2. Materials and Methods
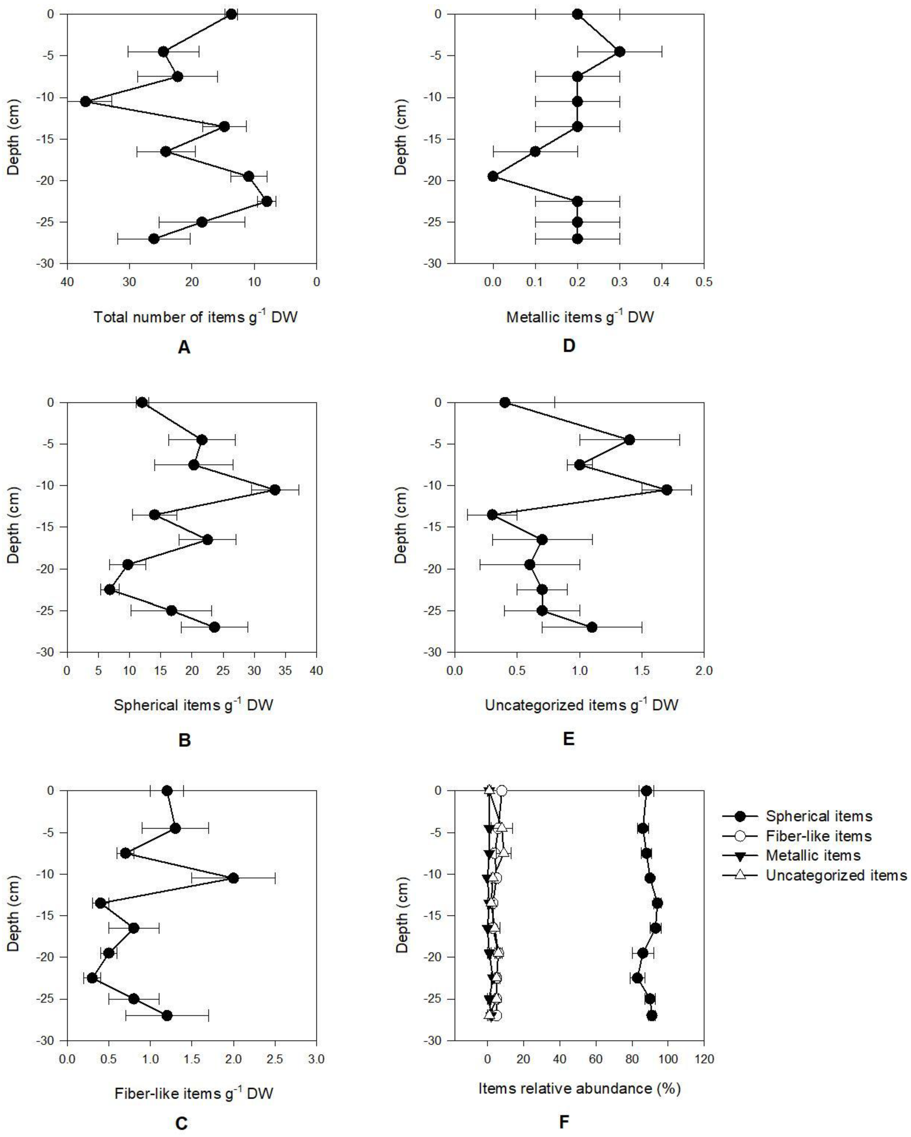
3. Results and Discussion
4. Conclusions
Author Contributions
Funding
Conflicts of Interest
References
- Barnes, D.K.A.; Galgani, F.; Thompson, R.C.; Barlaz, M. Accumulation and fragmentation of plastic debris in global environments. Philos. Trans. R. Soc. B Biol. Sci. 2009, 364, 1985–1998. [Google Scholar] [CrossRef] [PubMed]
- Frias, J.P.G.L.; Sobral, P.; Ferreira, A.M. Organic pollutants in microplastics from two beaches of the Portuguese coast. Mar. Pollut. Bull. 2010, 60, 1988–1992. [Google Scholar] [CrossRef] [PubMed]
- Frias, J.P.G.L.; Gago, J.; Otero, V.; Sobral, P. Microplastics in coastal sediments from Southern Portuguese shelf waters. Mar. Environ. Res. 2016, 114, 24–30. [Google Scholar] [CrossRef]
- GESAMP Sources. Fate and effects of MP in the marine environment. J. Ser. GESAMP Rep. Stud. 2015, 90, 98. [Google Scholar]
- Kanhai, L.D.K.; Officer, R.; Lyashevska, O.; Thompson, R.C.; O’Connor, I. Microplastic abundance, distribution and composition along a latitudinal gradient in the Atlantic Ocean. Mar. Pollut. Bull. 2017, 115, 307–314. [Google Scholar] [CrossRef] [PubMed]
- Naidoo, T.; Glassom, D.; Smit, A.J. Plastic pollution in five urban estuaries of KwaZulu-Natal, South Africa. Mar. Pollut. Bull. 2015, 101, 473–480. [Google Scholar] [CrossRef]
- Rodrigues, M.O.; Abrantes, N.; Gonçalves, F.J.M.; Nogueira, H.; Marques, J.C.; Gonçalves, A.M.M. Spatial and temporal distribution of microplastics in water and sediments of a freshwater system (Antuã River, Portugal). Sci. Total Environ. 2018, 633, 1549–1559. [Google Scholar] [CrossRef]
- European Commission. Plastic Waste: Ecological and Human Health Impacts. Sci. Environ. Policy 2011, 1–37. [Google Scholar]
- Fendall, L.S.; Sewell, M.A. Contributing to marine pollution by washing your face: Microplastics in facial cleansers. Mar. Pollut. Bull. 2009, 58, 1225–1228. [Google Scholar] [CrossRef]
- Bonhomme, S.; Cuer, A.; Delort, A.M.; Lemaire, J.; Sancelme, M.; Scott, G. Environmental biodegradation of polyethylene. Polym. Degrad. Stab. 2003, 81, 441–452. [Google Scholar] [CrossRef]
- Moore, C.J. Synthetic polymers in the marine environment: A rapidly increasing, long-term threat. Environ. Res. 2008, 108, 131–139. [Google Scholar] [CrossRef] [PubMed]
- Brennecke, D.; Duarte, B.; Paiva, F.; Caçador, I.; Canning-Clode, J. Microplastics as vector for heavy metal contamination from the marine environment. Estuar. Coast. Shelf Sci. 2016, 178, 189–195. [Google Scholar] [CrossRef]
- Zettler, E.R.; Mincer, T.J.; Amaral-Zettler, L.A. Life in the “plastisphere”: Microbial communities on plastic marine debris. Environ. Sci. Technol. 2013, 47, 7137–7146. [Google Scholar] [CrossRef] [PubMed]
- Holmes, L.A.; Turner, A.; Thompson, R.C. Interactions between trace metals and plastic production pellets under estuarine conditions. Mar. Chem. 2014, 167, 25–32. [Google Scholar] [CrossRef]
- Koelmans, A.A.; Besseling, E.; Foekema, E.M. Leaching of plastic additives to marine organisms. Environ. Pollut. 2014, 187, 49–54. [Google Scholar] [CrossRef]
- Sharma, S.; Chatterjee, S. Microplastic pollution, a threat to marine ecosystem and human health: A short review. Environ. Sci. Pollut. Res. 2017, 24, 21530–21547. [Google Scholar] [CrossRef]
- Van Cauwenberghe, L.; Janssen, C.R. Microplastics in bivalves cultured for human consumption. Environ. Pollut. 2014, 193, 65–70. [Google Scholar] [CrossRef]
- Claessens, M.; De Meester, S.; Van Landuyt, L.; De Clerck, K.; Janssen, C.R. Occurrence and distribution of microplastics in marine sediments along the Belgian coast. Mar. Pollut. Bull. 2011, 62, 2199–2204. [Google Scholar] [CrossRef]
- Willis, K.A.; Eriksen, R.; Wilcox, C.; Hardesty, B.D. Microplastic distribution at different sediment depths in an urban estuary. Front. Mar. Sci. 2017, 4, 1–8. [Google Scholar] [CrossRef]
- Duarte, B.; Neto, J.M.; Marques, J.C.; Adams, J.B.; Caçador, I. Marine angiosperm indices used to assess ecological status within the Water Framework Directive and South African National Water Act: Learning from differences and common issues. Ecol. Indic. 2017, 83, 192–200. [Google Scholar] [CrossRef]
- Duarte, B.; Caçador, I. Particulate metal distribution in Tagus estuary (Portugal) during a flood episode. Mar. Pollut. Bull. 2012, 64, 2109–2116. [Google Scholar] [CrossRef] [PubMed]
- Bessa, F.; Barría, P.; Neto, J.M.; Frias, J.P.G.L.; Otero, V.; Sobral, P.; Marques, J.C. Occurrence of microplastics in commercial fish from a natural estuarine environment. Mar. Pollut. Bull. 2018, 128, 575–584. [Google Scholar] [CrossRef] [PubMed]
- Lourenço, P.M.; Serra-Gonçalves, C.; Ferreira, J.L.; Catry, T.; Granadeiro, J.P. Plastic and other microfibers in sediments, macroinvertebrates and shorebirds from three intertidal wetlands of southern Europe and west Africa. Environ. Pollut. 2017, 231, 123–133. [Google Scholar] [CrossRef] [PubMed]
- Martins, J.; Sobral, P. Plastic marine debris on the Portuguese coastline: A matter of size? Mar. Pollut. Bull. 2011, 62, 2649–2653. [Google Scholar] [CrossRef] [PubMed]
- Duarte, B.; Caetano, M.; Almeida, P.R.; Vale, C.; Caçador, I. Accumulation and biological cycling of heavy metal in four salt marsh species, from Tagus estuary (Portugal). Environ. Pollut. 2010, 158, 1661–1668. [Google Scholar] [CrossRef]
- Duarte, B.; Caçador, I.; Marques, J.C.; Croudace, I.W. Tagus estuary salt marshes feedback to sea level rise over a 40-year period: Insights from the application of geochemical indices. Ecol. Indic. 2013, 34, 268–276. [Google Scholar] [CrossRef]
- Castro, P.; Valiela, I.; Freitas, H. Eutrophication in Portuguese estuaries evidenced by δ15N of macrophytes. Mar. Ecol. Prog. Ser. 2007, 351, 43–51. [Google Scholar] [CrossRef][Green Version]
- Duarte, B.; Pedro, S.; Marques, J.C.; Adão, H.; Caçador, I. Zostera noltii development probing using chlorophyll a transient analysis (JIP-test) under field conditions: Integrating physiological insights into a photochemical stress index. Ecol. Indic. 2017, 76, 219–229. [Google Scholar] [CrossRef]
- Caçador, I.; Neto, J.M.; Duarte, B.; Barroso, D.V.; Pinto, M.; Marques, J.C. Development of an Angiosperm Quality Assessment Index (AQuA-Index) for ecological quality evaluation of Portuguese water bodies—A multi-metric approach. Ecol. Indic. 2013, 25, 141–148. [Google Scholar] [CrossRef]
- Vasconcelos, R.P.; Reis-Santos, P.; Tanner, S.; Fonseca, V.; Latkoczy, C.; Günther, D.; Costa, M.J.; Cabral, H. Discriminating estuarine nurseries for five fish species through otolith elemental fingerprints. Mar. Ecol. Prog. Ser. 2007, 350, 117–126. [Google Scholar] [CrossRef]
- Blanton, J.O.; Ferreira, M.A.; Andrade, F.A. Effect of a broad shallow sill on tidal circulation and salt transport in the entrance to a coastal plain estuary (Mira—Vila Nova de Milfontes, Portugal). Estuaries 2000, 23, 293–304. [Google Scholar] [CrossRef]
- Amaral, V.; Paula, J. Carcinus maenas (Crustacea: Brachyura): Influence of artificial substrate type and patchiness on estimation of megalopae settlement. J. Exp. Mar. Bio. Ecol. 2007, 346, 21–27. [Google Scholar] [CrossRef]
- Costa, M.J.; Catarino, F.; Bettencourt, A. The role of salt marshes in the mira estuary (portugal). Wetl. Ecol. Manag. 2001, 9, 121–134. [Google Scholar] [CrossRef]
- Frias, J.; Pagter, E.; Nash, R.; O’Connor, I.; Carretero, O.; Filgueiras, A.; Viñas, L.; Gago, J.; Antunes, J.; Bessa, F.; et al. Standardised protocol for monitoring microplastics in sediments. JPI Ocean. BASEMAN Proj. 2018, 33. [Google Scholar]
- CORINE Land Cover 2017–2018. Available online: https://land.copernicus.eu/pan-european/corine-land-cover (accessed on 25 March 2020).
- Vasconcelos, R.P.; Reis-Santos, P.; Fonseca, V.; Maia, A.; Ruano, M.; França, S.; Vinagre, C.; Costa, M.J.; Cabral, H. Assessing anthropogenic pressures on estuarine fish nurseries along the Portuguese coast: A multi-metric index and conceptual approach. Sci. Total Environ. 2007, 374, 199–215. [Google Scholar] [CrossRef]
- Gusmão, F.; Di Domenico, M.; Amaral, A.C.Z.; Martínez, A.; Gonzalez, B.C.; Worsaae, K.; Ivar do Sul, J.A.; Cunha Lana, P. In situ ingestion of microfibres by meiofauna from sandy beaches. Environ. Pollut. 2016, 216, 584–590. [Google Scholar] [CrossRef]
- Lei, K.; Qiao, F.; Liu, Q.; Wei, Z.; Qi, H.; Cui, S.; Yue, X.; Deng, Y.; An, L. Microplastics releasing from personal care and cosmetic products in China. Mar. Pollut. Bull. 2017, 123, 122–126. [Google Scholar] [CrossRef]
- Viehman, S.; Vander Pluym, J.L.; Schellinger, J. Characterization of marine debris in North Carolina salt marshes. Mar. Pollut. Bull. 2011, 62, 2771–2779. [Google Scholar] [CrossRef]
- Thompson, R.C.; Olson, Y.; Mitchell, R.P.; Davis, A.; Rowland, S.J.; John, A.W.G.; McGonigle, D.; Russell, A.E. Lost at Sea: Where Is All the Plastic? Science 2004, 304, 838. [Google Scholar] [CrossRef]
- Imhof, H.K.; Ivleva, N.P.; Schmid, J.; Niessner, R.; Laforsch, C. Contamination of beach sediments of a subalpine lake with microplastic particles. Curr. Biol. 2013, 23, R867–R868. [Google Scholar] [CrossRef]
- Zbyszewski, M.; Corcoran, P.L. Distribution and degradation of fresh water plastic particles along the beaches of Lake Huron, Canada. Water. Air. Soil Pollut. 2011, 220, 365–372. [Google Scholar] [CrossRef]
- Fok, L.; Cheung, P.K. Hong Kong at the Pearl River Estuary: A hotspot of microplastic pollution. Mar. Pollut. Bull. 2015, 99, 112–118. [Google Scholar] [CrossRef] [PubMed]
- Zhang, K.; Su, J.; Xiong, X.; Wu, X.; Wu, C.; Liu, J. Microplastic pollution of lakeshore sediments from remote lakes in Tibet plateau, China. Environ. Pollut. 2016, 219, 450–455. [Google Scholar] [CrossRef] [PubMed]
- Wessel, C.C.; Lockridge, G.R.; Battiste, D.; Cebrian, J. Abundance and characteristics of microplastics in beach sediments: Insights into microplastic accumulation in northern Gulf of Mexico estuaries. Mar. Pollut. Bull. 2016, 109, 178–183. [Google Scholar] [CrossRef] [PubMed]
- Antunes, J.C.; Frias, J.G.L.; Micaelo, A.C.; Sobral, P. Resin pellets from beaches of the Portuguese coast and adsorbed persistent organic pollutants. Estuar. Coast. Shelf Sci. 2013, 130, 62–69. [Google Scholar] [CrossRef]
- Sruthy, S.; Ramasamy, E.V. Microplastic pollution in Vembanad Lake, Kerala, India: The first report of microplastics in lake and estuarine sediments in India. Environ. Pollut. 2017, 222, 315–322. [Google Scholar] [CrossRef]
- Carbery, M.; O’Connor, W.; Palanisami, T. Trophic transfer of microplastics and mixed contaminants in the marine food web and implications for human health. Environ. Int. 2018, 115, 400–409. [Google Scholar] [CrossRef]
- Almeida, C.M.R.; Manjate, E.; Ramos, S. Adsorption of Cd and Cu to different types of microplastics in estuarine salt marsh medium. Mar. Pollut. Bull. 2020, 151, 110797. [Google Scholar] [CrossRef]
- Bettencourt, A.M.M.; Neves, R.J.J.; Lanca, M.J.; Batista, P.J.; Alves, M.J. Uncertainties in import/export studies and the outwelling theory. An analysis with the support of hydrodynamic modelling. Oceanogr. Lit. Rev. 1995, 42, 734–735. [Google Scholar]



| References | Location | Microdebris Abundance |
|---|---|---|
| Thompson et al.,2004 [40] | Plymouth coast, UK | 0.031 items g−1 DW |
| Imhof et al., 2013 [41] | Lake Garda, Italy | 1.108 items m−2 |
| Zbyszewski and Corcoran, 2011 [42] | Lake Huron, Canada | 37.8 items m−2 |
| Fok and Cheung, 2015 [43] | Pearl River Estuary, Hong Kong | 5.595 items m−2 |
| Zhang et al., 2016 [44] | Remote lakes in Tibet plateau, China | 563 items m−2 |
| Wessel et al., 2016 [45] | Gulf of Mexico estuary, USA | 117 items m−2 |
| Claessens et al., 2011 [18] | Belgian coast, Belgium | 0.093 items g−1 DW |
| Antunes et al., 2013 [46] | Beaches from Portuguese coast, Portugal | 2.397 items m−2 |
| Sruthy and Ramasamy, 2017 [47] | Vembanad Lake, India | 252.8 items m−2 |
| Rodrigues et al., 2018 [7] | Antuã River, Portugal | 0.63 items g−1 DW |
| This study | Mira Estuary, Portugal | 16.819–78.404 items m−2 |
| 37.1–8.0 items g−1 DW |
© 2020 by the authors. Licensee MDPI, Basel, Switzerland. This article is an open access article distributed under the terms and conditions of the Creative Commons Attribution (CC BY) license (http://creativecommons.org/licenses/by/4.0/).
Share and Cite
Duarte, B.; Manjate, E.; Caçador, I. Baseline Survey on the Accumulation of Microdebris in the Intertidal Sediments of a Reference Estuarine System (Mira Estuary, Portugal). Oceans 2020, 1, 47-55. https://doi.org/10.3390/oceans1020005
Duarte B, Manjate E, Caçador I. Baseline Survey on the Accumulation of Microdebris in the Intertidal Sediments of a Reference Estuarine System (Mira Estuary, Portugal). Oceans. 2020; 1(2):47-55. https://doi.org/10.3390/oceans1020005
Chicago/Turabian StyleDuarte, Bernardo, Edite Manjate, and Isabel Caçador. 2020. "Baseline Survey on the Accumulation of Microdebris in the Intertidal Sediments of a Reference Estuarine System (Mira Estuary, Portugal)" Oceans 1, no. 2: 47-55. https://doi.org/10.3390/oceans1020005
APA StyleDuarte, B., Manjate, E., & Caçador, I. (2020). Baseline Survey on the Accumulation of Microdebris in the Intertidal Sediments of a Reference Estuarine System (Mira Estuary, Portugal). Oceans, 1(2), 47-55. https://doi.org/10.3390/oceans1020005

