Real-Time Hardware-in-the-Loop Emulation of Path Tracking in Low-Cost Agricultural Robots
Abstract
1. Introduction
2. Theoretical Background and System Modelling
2.1. Kinematic Analysis
2.2. DC Motors Modelling and Angular Speed Control
2.3. Path Tracking Strategy
2.4. Localization of the Agribot
3. Real-Time Emulation of Agribot
3.1. System Description and Characterisation
3.2. Implementation of Motors’ Speed Control
3.3. Implementation of Path Tracking Strategy
4. Experimental Results
4.1. Real-Time Emulation and Experiments of Angular Speed Control
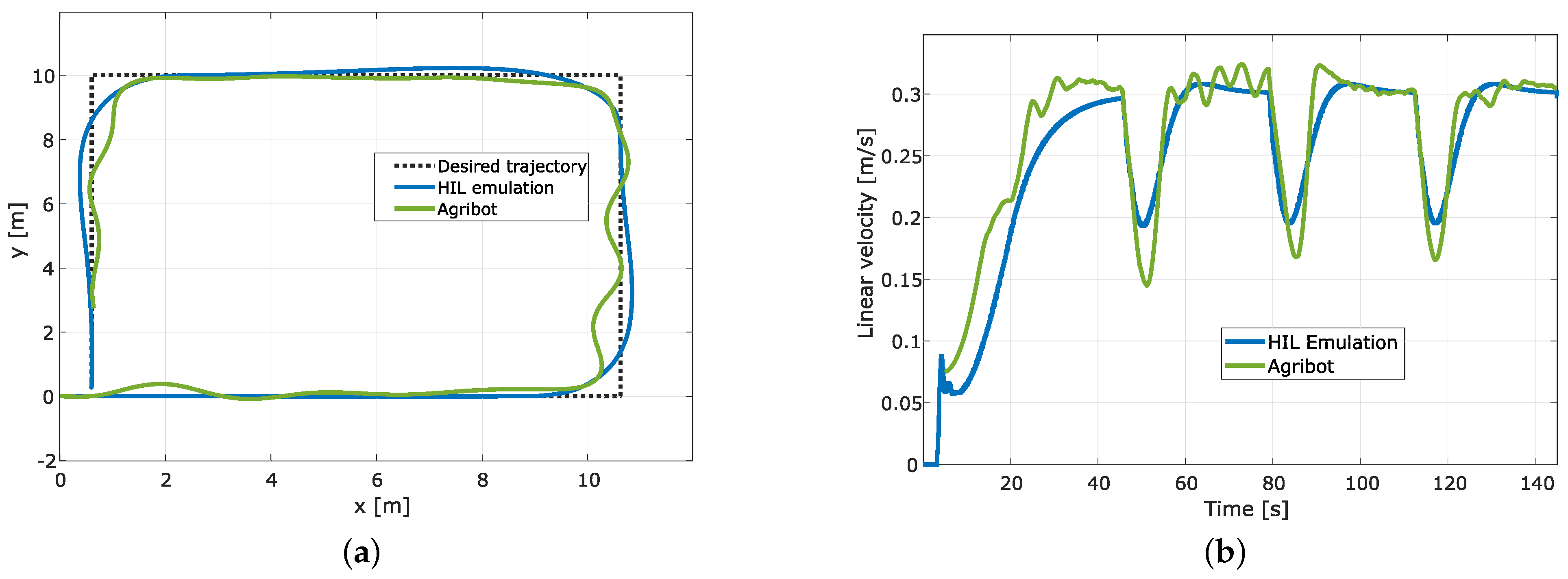
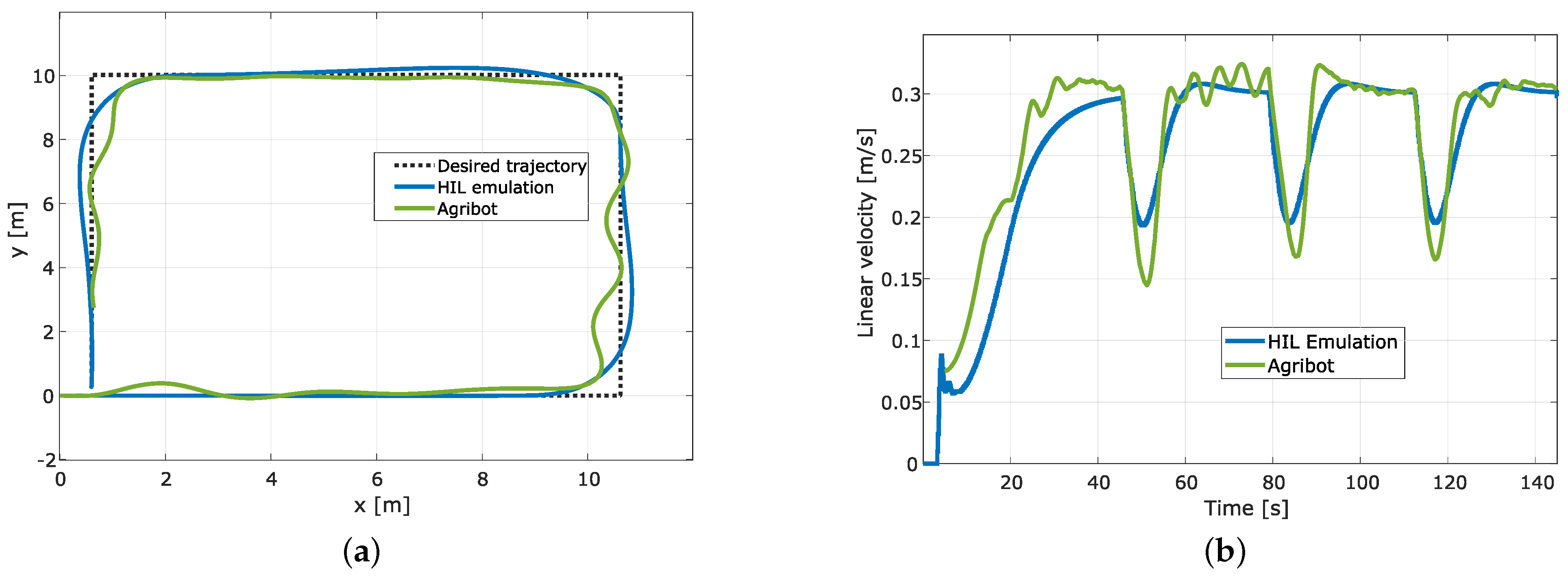
4.2. Real-Time Emulation of Path Tracking
4.3. Experiments of Path Tracking with the Agribot
5. Discussion
6. Conclusions
Author Contributions
Funding
Data Availability Statement
Acknowledgments
Conflicts of Interest
References
- United Nations Department of Economic and Social Affairs. The Sustainable Development Goals Report 2022; United Nations: New York, NY, USA, 2022. [Google Scholar]
- Ghobadpour, A.; Monsalve, G.; Cardenas, A.; Mousazadeh, H. Off-Road Electric Vehicles and Autonomous Robots in Agricultural Sector: Trends, Challenges, and Opportunities. Vehicles 2022, 4, 843–864. [Google Scholar] [CrossRef]
- Skrucany, T.; Harantova, V.; Kendra, M.; Barta, D. Reducing Energy Consumption by Passenger Car with Using of Non-Electrical Hybrid Drive Technology. Adv. Sci. Technol. Res. J. 2017, 11, 166–172. [Google Scholar] [CrossRef]
- Alegre, Y.C.; Podewils, T.A.; Peñaloza, E.A.G.; de Lima, S.; Leston, L.A. Characterization of Physical Parameters of an Agricultural Electric Vehicle based on the Dynamic Analysis in a Simulated Environment. In Proceedings of the 2021 IEEE 15th International Conference on Semantic Computing (ICSC), Laguna Hills, CA, USA, 27–29 January 2021; pp. 380–385. [Google Scholar] [CrossRef]
- Caban, J.; Vrabel, J.; Sarkan, B.; Zarajczyk, J.; Marczuk, A. Analysis of the market of electric tractors in agricultural production. MATEC Web Conf. 2018, 244, 03005. [Google Scholar] [CrossRef]
- Kang, C.M.; Lee, S.H.; Chung, C.C. Multirate Lane-Keeping System with Kinematic Vehicle Model. IEEE Trans. Veh. Technol. 2018, 67, 9211–9222. [Google Scholar] [CrossRef]
- Klepikov, V.; Semikov, O. Modeling The Dynamic Processes of The Electric Drive of Electric Vehicle While Wheels are Slipping. In Proceedings of the 2020 IEEE Problems of Automated Electrodrive, Theory and Practice (PAEP), Kremenchuk, Ukraine, 21–25 September 2020; pp. 1–6. [Google Scholar] [CrossRef]
- Filipescu, A.; Minzu, V.; Dumitrascu, B.; Filipescu, A.; Minca, E. Trajectory-tracking and discrete-time sliding-mode control of wheeled mobile robots. In Proceedings of the 2011 IEEE International Conference on Information and Automation, Shenzhen, China, 6–8 June 2011; pp. 27–32. [Google Scholar] [CrossRef]
- Wang, X.; Sun, W. Trajectory Tracking of Autonomous Vehicle: A Differential Flatness Approach with Disturbance-Observer-Based Control. IEEE Trans. Intell. Veh. 2023, 8, 1368–1379. [Google Scholar] [CrossRef]
- Caban, J.; Nieoczym, A.; Dudziak, A.; Krajka, T.; Stopková, M. The Planning Process of Transport Tasks for Autonomous Vans—Case Study. Appl. Sci. 2022, 12, 2993. [Google Scholar] [CrossRef]
- Misztal, W. The Impact of Perturbation Mechanisms on the Operation of the Swap Heuristic. Arch. Automot. Eng. Arch. Motoryz. 2019, 86, 27–39. [Google Scholar] [CrossRef]
- Wu, H.M.; Zaman, M.Q. LiDAR Based Trajectory-Tracking of an Autonomous Differential Drive Mobile Robot Using Fuzzy Sliding Mode Controller. IEEE Access 2022, 10, 33713–33722. [Google Scholar] [CrossRef]
- Huang, J.; Junginger, S.; Liu, H.; Thurow, K. Indoor Positioning Systems of Mobile Robots: A Review. Robotics 2023, 12, 47. [Google Scholar] [CrossRef]
- Yi, J.; Wang, H.; Zhang, J.; Song, D.; Jayasuriya, S.; Liu, J. Kinematic Modeling and Analysis of Skid-Steered Mobile Robots with Applications to Low-Cost Inertial-Measurement-Unit-Based Motion Estimation. IEEE Trans. Robot. 2009, 25, 1087–1097. [Google Scholar] [CrossRef]
- Ge, Z.; Man, Z.; Wang, Z.; Bai, X.; Wang, X.; Xiong, F.; Li, D. Robust adaptive sliding mode control for path tracking of unmanned agricultural vehicles. Comput. Electr. Eng. 2023, 108, 108693. [Google Scholar] [CrossRef]
- Liu, Q.; Cong, Q. Kinematic and dynamic control model of wheeled mobile robot under internet of things and neural network. J. Supercomput. 2022, 78, 8678–8707. [Google Scholar] [CrossRef] [PubMed]
- Chen, R.; Yang, C.; Ma, Y.; Wang, W.; Wang, M.; Du, X. Online learning predictive power coordinated control strategy for off-road hybrid electric vehicles considering the dynamic response of engine generator set. Appl. Energy 2022, 323, 119592. [Google Scholar] [CrossRef]
- Ghobadpour, A.; Cardenas, A.; Monsalve, G.; Mousazadeh, H. Optimal Design of Energy Sources for a Photovoltaic/Fuel Cell Extended-Range Agricultural Mobile Robot. Robotics 2023, 12, 13. [Google Scholar] [CrossRef]
- Małek, A.; Caban, J.; Dudziak, A.; Marciniak, A.; Ignaciuk, P. A Method of Assessing the Selection of Carport Power for an Electric Vehicle Using the Metalog Probability Distribution Family. Energies 2023, 16, 5077. [Google Scholar] [CrossRef]
- Yan, C.; Shao, K.; Wang, X.; Zheng, J.; Liang, B. Reference Governor-Based Control for Active Rollover Avoidance of Mobile Robots. In Proceedings of the 2021 IEEE International Conference on Systems, Man, and Cybernetics (SMC), Melbourne, Australia, 17–20 October 2021; pp. 429–435. [Google Scholar] [CrossRef]
- Taghia, J.; Stanley Lam, X.W.; Katupitiya, J. A sliding mode controller with a nonlinear disturbance observer for a farm vehicle operating in the presence of wheel slip. Auton. Robot. 2017, 41, 71–88. [Google Scholar] [CrossRef]
- Martins, F.N.; Celeste, W.C.; Carelli, R.; Sarcinelli-Filho, M.; Bastos-Filho, T.F. An adaptive dynamic controller for autonomous mobile robot trajectory tracking. Control Eng. Pract. 2008, 16, 1354–1363. [Google Scholar] [CrossRef]
- Sebastian, B.; Ben-Tzvi, P. Active Disturbance Rejection Control for Handling Slip in Tracked Vehicle Locomotion. J. Mech. Robot. 2019, 11, 021003. [Google Scholar] [CrossRef]
- Kayacan, E.; Kayacan, E.; Ramon, H.; Kaynak, O.; Saeys, W. Towards Agrobots: Trajectory Control of an Autonomous Tractor Using Type-2 Fuzzy Logic Controllers. IEEE/ASME Trans. Mechatron. 2015, 20, 287–298. [Google Scholar] [CrossRef]
- Begnini, M.; Bertol, D.W.; Martins, N.A. A robust adaptive fuzzy variable structure tracking control for the wheeled mobile robot: Simulation and experimental results. Control Eng. Pract. 2017, 64, 27–43. [Google Scholar] [CrossRef]
- Hwang, C.L.; Yang, C.C.; Hung, J.Y. Path Tracking of an Autonomous Ground Vehicle with Different Payloads by Hierarchical Improved Fuzzy Dynamic Sliding-Mode Control. IEEE Trans. Fuzzy Syst. 2018, 26, 899–914. [Google Scholar] [CrossRef]
- Campion, G.; Bastin, G.; Dandrea-Novel, B. Structural properties and classification of kinematic and dynamic models of wheeled mobile robots. IEEE Trans. Robot. Autom. 1996, 12, 47–62. [Google Scholar] [CrossRef]
- Siegwart, R.; Nourbakhsh, I.; Scaramuzza, D. Introduction to Autonomous Mobile Robots, 2nd ed.; Intelligent Robotics and Autonomous Agents Series; MIT Press: Cambridge, MA, USA, 2011. [Google Scholar]
- Stefek, A.; Pham, T.V.; Krivanek, V.; Pham, K.L. Energy Comparison of Controllers Used for a Differential Drive Wheeled Mobile Robot. IEEE Access 2020, 8, 170915–170927. [Google Scholar] [CrossRef]
- Kumar, P.; Bensekrane, I.; Merzouki, R. Power Consumption Modeling of Wheeled Mobile Robots with Multiple Driving Modes. IEEE Trans. Ind. Electron. 2023, 70, 10282–10291. [Google Scholar] [CrossRef]
- Monsalve, G.; Cardenas, A.; Acevedo-Bueno, D.; Martinez, W. Assessing the Limits of Equivalent Circuit Models and Kalman Filters for Estimating the State of Charge: Case of Agricultural Robots. Energies 2023, 16, 3133. [Google Scholar] [CrossRef]
- Vantsevich, V.V.; Gorsich, D.J.; Paldan, J.R.; Ghasemi, M.; Moradi, L.; Letherwood, M. Terrain mobility performance optimization: Fundamentals for autonomous vehicle applications Part II. Computational simulation, implementation for mobility design, and validation. J. Terramech. 2022, 104, 59–85. [Google Scholar] [CrossRef]
- Aoki, N.; Ishigami, G. Hardware-in-the-loop Simulation for Real-time Autonomous Tracking and Landing of an Unmanned Aerial Vehicle. In Proceedings of the 2023 IEEE/SICE International Symposium on System Integration (SII), Atlanta, GA, USA, 17–20 January 2023; pp. 1–6. [Google Scholar] [CrossRef]
- Stączek, P.; Pizoń, J.; Danilczuk, W.; Gola, A. A Digital Twin Approach for the Improvement of an Autonomous Mobile Robots (AMR’s) Operating Environment—A Case Study. Sensors 2021, 21, 7830. [Google Scholar] [CrossRef] [PubMed]
- Ziegler, J.G.; Nichols, N.B. Optimum Settings for Automatic Controllers. J. Fluids Eng. 1942, 64, 759–765. [Google Scholar] [CrossRef]
- Cohen, G.H.; Coon, G.A. Theoretical Consideration of Retarded Control. Trans. Am. Soc. Mech. Eng. 2022, 75, 827–834. [Google Scholar] [CrossRef]
- Cornejo, J.; Magallanes, J.; Denegri, E.; Canahuire, R. Trajectory Tracking Control of a Differential Wheeled Mobile Robot: A Polar Coordinates Control and LQR Comparison. In Proceedings of the 2018 IEEE XXV International Conference on Electronics, Electrical Engineering and Computing (INTERCON), Lima, Peru, 8–10 August 2018; pp. 1–4. [Google Scholar] [CrossRef]
- Panigrahi, P.K.; Bisoy, S.K. Localization strategies for autonomous mobile robots: A review. J. King Saud Univ. Comput. Inf. Sci. 2022, 34, 6019–6039. [Google Scholar] [CrossRef]
- Monsalve, G.; Belhadj Ltaief, N.; Amoriya, V.; Cardenas, A. Kinematic Navigation Control of Differential Drive Agricultural Robot. In Proceedings of the 2022 IEEE International Conference on Electrical Sciences and Technologies in Maghreb (CISTEM), Tunis, Tunisia, 26–28 October 2022; Volume 4, pp. 1–6. [Google Scholar] [CrossRef]
- Paliwal, K.; Agarwal, A.; Sinha, S. A modification over Sakoe and Chiba’s dynamic time warping algorithm for isolated word recognition. In Proceedings of the ICASSP ’82. IEEE International Conference on Acoustics, Speech, and Signal Processing, Paris, France, 3–5 May 1982; Volume 7, pp. 1259–1261. [Google Scholar] [CrossRef]
- Berndt, D.J.; Clifford, J. Using Dynamic Time Warping to Find Patterns in Time Series. In Proceedings of the 3rd International Conference on Knowledge Discovery and Data Mining, Seattle, WA, USA, 31 July 1994; AAAIWS’94. AAAI Press: Washington, DC, USA, 1994; pp. 359–370. [Google Scholar]
















| Element | Description |
|---|---|
| Wheel radius | 0.1524 m (6 in) |
| Gearbox ratio (R) | 16 |
| Axle track () | 0.8128 m (32 in) |
| Total mass (m) | 42 kg |
| Inertial measurement unit (IMU) | WTGAHRS2 MPU9250 |
| Wheel encoders | US Digital E3-500-375-NE-E-D-3 |
| Main microprocessor | ARM Cortex-A72 processor |
| Main microcontroller | Atmega 328p |
| Motor controller | AF160 |
| Motors | Ampflow E30-150-12-G16 |
| Battery | 12 V 20 Ah SLA |
| Auxiliary solar PV source | RNG-KIT-STCS-100D-VOY20 |
| 100 W, 12 V | |
| Current sensor | LEM CAS 25-NP |
| Control Method | Trajectory Type | Vehicle Width [m] | Maximum Path Offset | Relative Path Offset | Outdoor Tests |
|---|---|---|---|---|---|
| Adaptive dynamic controller with parameters updating [22] | Circular | 0.381 | 0.17 | 0.446 | No |
| Eight-shaped | 0.05 | 0.131 | No | ||
| Active disturbance rejection with extended Kalman filter [23] | Rectangular | 0.305 | 0.40 | 1.31 | Yes |
| Takagi–Sugeno–Kang (TSK) type-2 fuzzy neural network (T2FNN) with sliding mode control (SMC) [24] | Eight-shaped | 1.16 | 1.1 | 0.784 | Yes |
| Robust adaptive fuzzy variable structure controller [25] | Eight-shaped | 0.66 | 0.21 | 0.318 | No |
| Fuzzy dynamic sliding mode controller [26] | Rectangular | 0.42 | 0.26 | 0.619 | No |
| Circular | 0.20 | 0.476 | No | ||
| Kinematic-based controller (implemented in this work) | Rectangular | 0.81 | 0.16 | 0.196 | Yes |
| Circular | 0.15 | 0.184 | Yes | ||
| Eight-shaped | 0.42 | 0.516 | Yes |
Disclaimer/Publisher’s Note: The statements, opinions and data contained in all publications are solely those of the individual author(s) and contributor(s) and not of MDPI and/or the editor(s). MDPI and/or the editor(s) disclaim responsibility for any injury to people or property resulting from any ideas, methods, instructions or products referred to in the content. |
© 2023 by the authors. Licensee MDPI, Basel, Switzerland. This article is an open access article distributed under the terms and conditions of the Creative Commons Attribution (CC BY) license (https://creativecommons.org/licenses/by/4.0/).
Share and Cite
Moreno, I.J.; Ouardani, D.; Chaparro-Arce, D.; Cardenas, A. Real-Time Hardware-in-the-Loop Emulation of Path Tracking in Low-Cost Agricultural Robots. Vehicles 2023, 5, 894-913. https://doi.org/10.3390/vehicles5030049
Moreno IJ, Ouardani D, Chaparro-Arce D, Cardenas A. Real-Time Hardware-in-the-Loop Emulation of Path Tracking in Low-Cost Agricultural Robots. Vehicles. 2023; 5(3):894-913. https://doi.org/10.3390/vehicles5030049
Chicago/Turabian StyleMoreno, Ingrid J., Dina Ouardani, Daniel Chaparro-Arce, and Alben Cardenas. 2023. "Real-Time Hardware-in-the-Loop Emulation of Path Tracking in Low-Cost Agricultural Robots" Vehicles 5, no. 3: 894-913. https://doi.org/10.3390/vehicles5030049
APA StyleMoreno, I. J., Ouardani, D., Chaparro-Arce, D., & Cardenas, A. (2023). Real-Time Hardware-in-the-Loop Emulation of Path Tracking in Low-Cost Agricultural Robots. Vehicles, 5(3), 894-913. https://doi.org/10.3390/vehicles5030049

