Effect of Post-Ruminal Casein Infusion on Milk Yield, Milk Composition, and Efficiency of Nitrogen Use in Dairy Cows †
Abstract
1. Introduction
2. Materials and Methods
2.1. Animals and Experimental Design
2.2. Data and Sample Collection and Analysis
2.3. Statistical Analyses
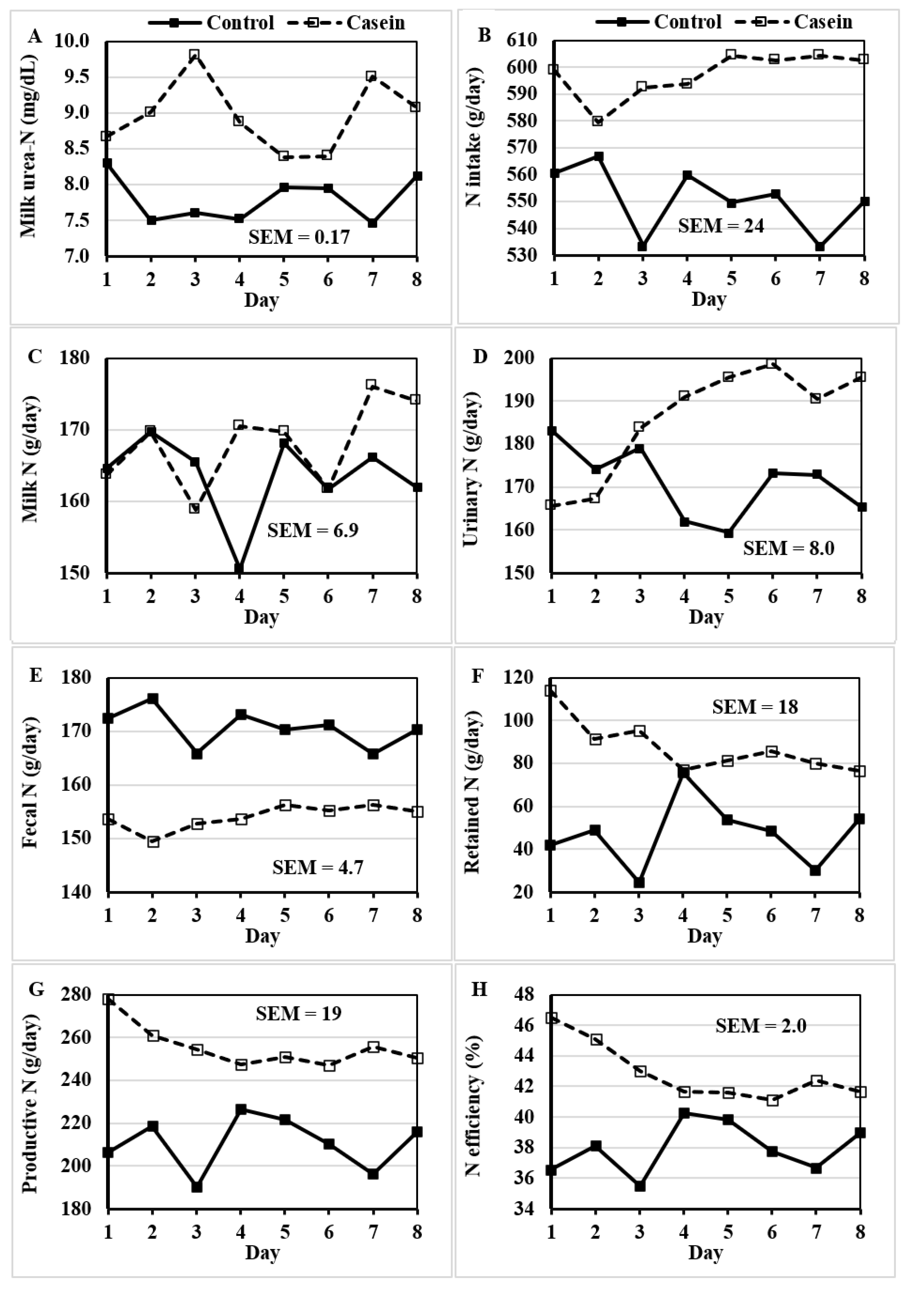
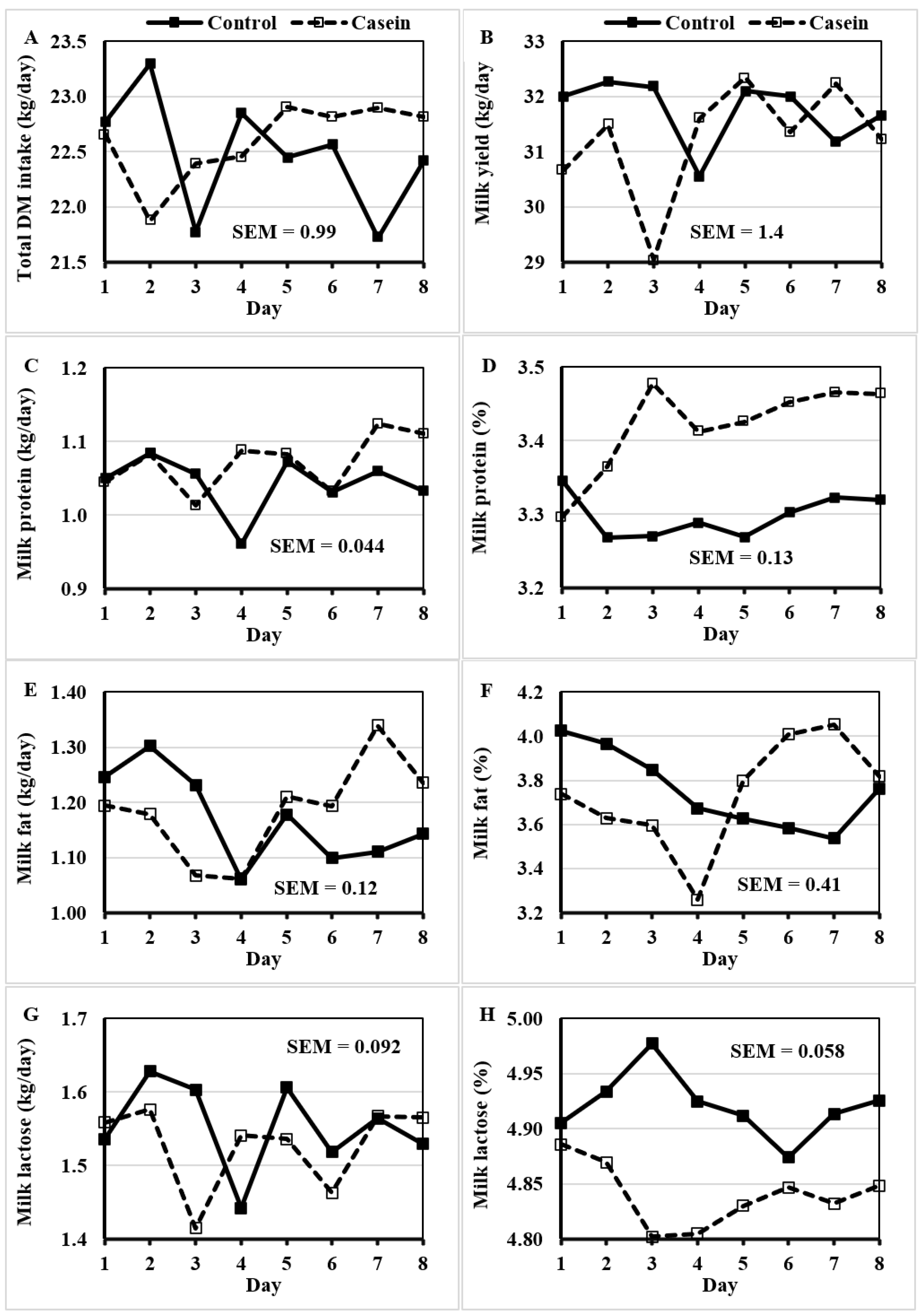
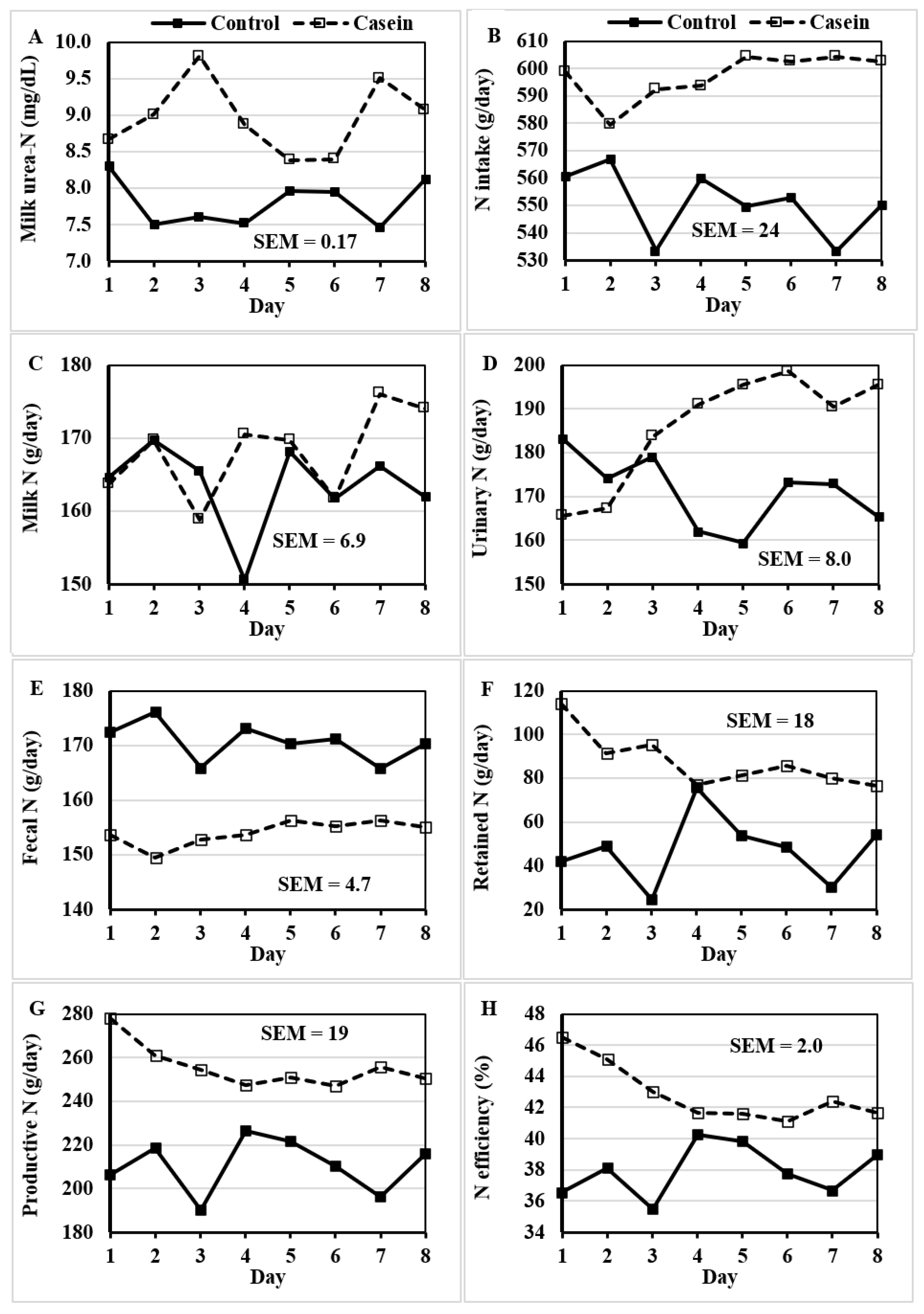
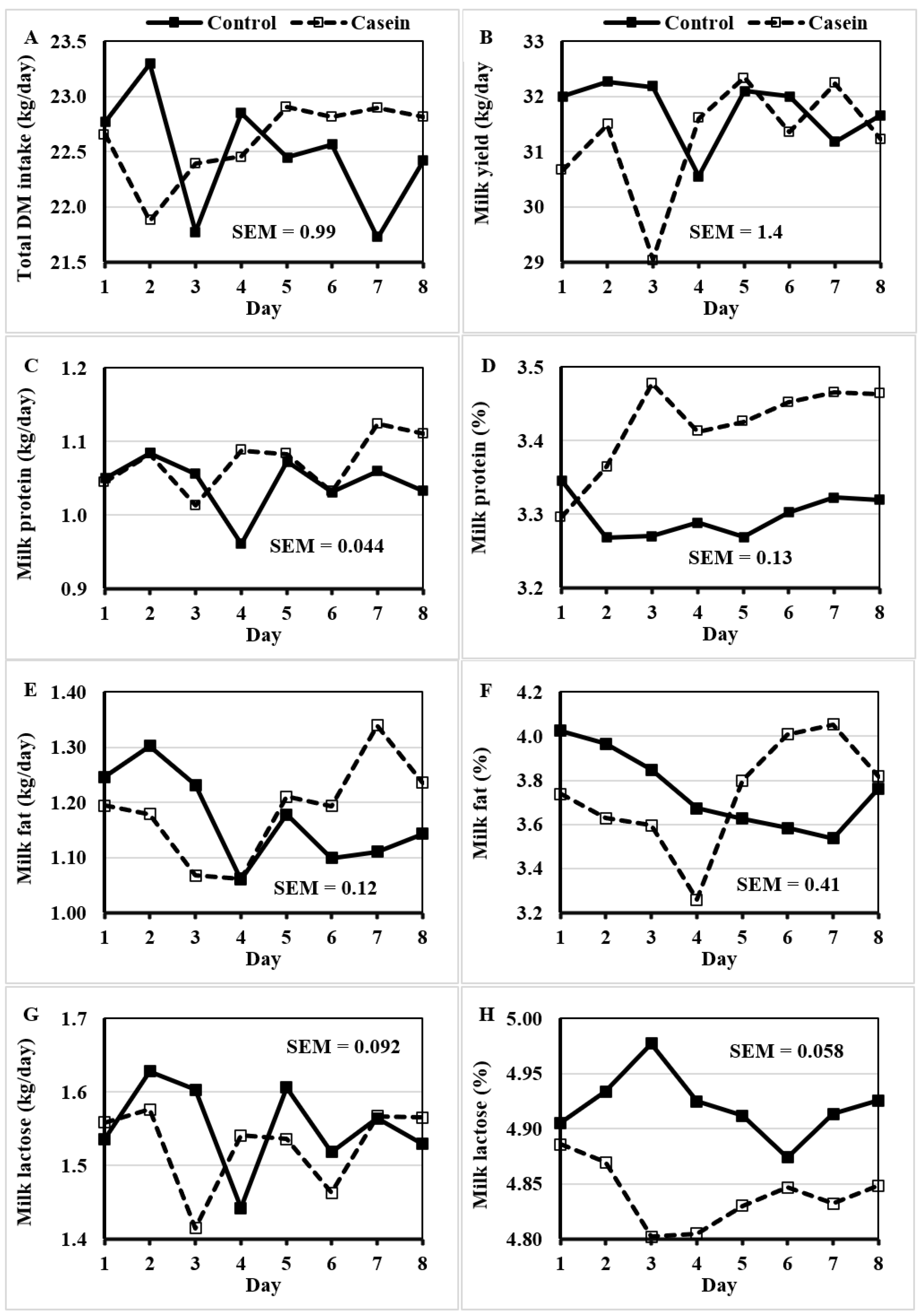
3. Results and Discussion
3.1. Adaptation Time
3.2. Dry Matter Intake and Lactation Responses
3.3. Nitrogen Retention
4. Conclusions
Author Contributions
Funding
Institutional Review Board Statement
Informed Consent Statement
Data Availability Statement
Conflicts of Interest
References
- Patton, R. Effect of rumen-protected methionine on feed intake, milk production, true milk protein concentration, and true milk protein yield, and the factors that influence these effects: A meta-analysis. J. Dairy Sci. 2010, 93, 2105–2118. [Google Scholar] [CrossRef] [PubMed]
- Vyas, D.; Erdman, R. Meta-analysis of milk protein yield responses to lysine and methionine supplementation. J. Dairy Sci. 2009, 92, 5011–5018. [Google Scholar] [CrossRef] [PubMed]
- Rulquin, H.; Pisulewski, P.M. Effects of graded levels of duodenal infusions of leucine on mammary uptake and output in lactating dairy cows. J. Dairy Res. 2006, 73, 328–339. [Google Scholar] [CrossRef] [PubMed]
- Räisänen, S.; Lage, C.; Fetter, M.; Melgar, A.; Pelaez, A.; Stefenoni, H.; Wasson, D.; Cueva, S.; Zhu, X.; Miura, M.; et al. Histidine dose-response effects on lactational performance and plasma amino acid concentrations in lactating dairy cows: 2. Metabolizable protein-deficient diet. J. Dairy Sci. 2021, 104, 9917–9930. [Google Scholar] [CrossRef]
- Martineau, R.; Ouellet, D.; Kebreab, E.; White, R.; Lapierre, H. Relationships between postruminal casein infusion and milk production, and concentrations of plasma amino acids and blood urea in dairy cows: A multilevel mixed-effects meta-analysis. J. Dairy Sci. 2017, 100, 8053–8071. [Google Scholar] [CrossRef]
- Choung, J.-J.; Chamberlain, D.G. Protein nutrition of dairy cows receiving grass silage diets. Effects on silage intake and milk production of postruminal supplements of casein or soya-protein isolate and the effects of intravenous infusions of a mixture of methionine, phenylalanine and tryptophan. J. Sci. Food Agric. 1992, 58, 307–314. [Google Scholar] [CrossRef]
- Vanhatalo, A.; Varvikko, T.; Huhtanen, P. Effects of Various Glucogenic Sources on Production and Metabolic Responses of Dairy Cows Fed Grass Silage-Based Diets. J. Dairy Sci. 2003, 86, 3249–3259. [Google Scholar] [CrossRef]
- Vanhatalo, A.; Varvikko, T.; Huhtanen, P. Effects of Casein and Glucose on Responses of Cows Fed Diets Based on Restrictively Fermented Grass Silage. J. Dairy Sci. 2003, 86, 3260–3270. [Google Scholar] [CrossRef]
- Huhtanen, P.J.; Miettinen, H.O.; Toivonen, V.F. Effects of silage fermentation and post-ruminal casein supplementation in lactation dairy cows: 1—Diet digestion and milk production. J. Sci. Food Agric. 1997, 74, 450–458. [Google Scholar] [CrossRef]
- Choung, J.-J.; Chamberlain, D.G. The effects of abomasal infusions of casein or soya-bean-protein isolate on the milk production of dairy cows in mid-lactation. Br. J. Nutr. 1993, 69, 103–115. [Google Scholar] [CrossRef][Green Version]
- Whitelaw, F.G.; Milne, J.S.; Ørskov, E.R.; Smith, J.S. The nitrogen and energy metabolism of lactating cows given abomasal infusions of casein. Br. J. Nutr. 1986, 55, 537–556. [Google Scholar] [CrossRef] [PubMed]
- NRC. Nutrient Requirements of Dairy Cattle, 7th ed.; National Academy Press: Washington, DC, USA, 2001. [Google Scholar] [CrossRef]
- Brake, D.W.; Titgemeyer, E.C.; Jones, M.L.; Anderson, D.E. Effect of nitrogen supplementation on urea kinetics and microbial use of recycled urea in steers consuming corn-based diets1. J. Anim. Sci. 2010, 88, 2729–2740. [Google Scholar] [CrossRef] [PubMed][Green Version]
- Valadares, R.; Broderick, G.; Filho, S.V.; Clayton, M. Effect of Replacing Alfalfa Silage with High Moisture Corn on Ruminal Protein Synthesis Estimated from Excretion of Total Purine Derivatives. J. Dairy Sci. 1999, 82, 2686–2696. [Google Scholar] [CrossRef]
- Van Soest, P.J.; Robertson, J.B.; Lewis, B.A. Methods for Dietary Fiber, Neutral Detergent Fiber, and Nonstarch Polysaccharides in Relation to Animal Nutrition. J. Dairy Sci. 1991, 74, 3583–3597. [Google Scholar] [CrossRef]
- Schroeder, G.F.; Titgemeyer, E.C.; Awawdeh, M.S.; Smith, J.S.; Gnad, D.P. Effects of energy source on methionine utilization by growing steers1. J. Anim. Sci. 2006, 84, 1505–1511. [Google Scholar] [CrossRef]
- Moloney, A.P.; Beermann, D.H.; Gerrard, D.; Robinson, T.F.; Finnerty, K.D. Temporal change in skeletal muscle IGF-I mRNA abundance and nitrogen metabolism responses to abomasal casein infusion in steers. J. Anim. Sci. 1998, 76, 1380–1388. [Google Scholar] [CrossRef][Green Version]
- Martineau, R.; Ouellet, D.; Kebreab, E.; Lapierre, H. Casein infusion rate influences feed intake differently depending on metabolizable protein balance in dairy cows: A multilevel meta-analysis. J. Dairy Sci. 2016, 99, 2748–2761. [Google Scholar] [CrossRef]
- Hanigan, M.; Reynolds, C.; Humphries, D.; Lupoli, B.; Sutton, J. A Model of Net Amino Acid Absorption and Utilization by the Portal-Drained Viscera of the Lactating Dairy Cow. J. Dairy Sci. 2004, 87, 4247–4268. [Google Scholar] [CrossRef]
- Cohick, W.; Vicini, J.; Staples, C.; Clark, J.; McCutcheon, S.; Bauman, D. Effects of Intake and Postruminal Casein Infusion on Performance and Concentrations of Hormones in Plasma of Lactating Cows. J. Dairy Sci. 1986, 69, 3022–3031. [Google Scholar] [CrossRef]
- Broderick, G.; Kowalczyk, T.; Satter, L. Milk Production Response to Supplementation with Encapsulated Methionine per Os or Casein per Abomasum. J. Dairy Sci. 1970, 53, 1714–1721. [Google Scholar] [CrossRef]
- Guinard, J.; Rulquin, H.; Vérité, R. Effect of Graded Levels of Duodenal Infusions of Casein on Mammary Uptake in Lactating Cows. 1. Major Nutrients. J. Dairy Sci. 1994, 77, 2221–2231. [Google Scholar] [CrossRef]
- Hurtaud, C.; Rulquin, H.; Vérité, R. Effect of Infused Volatile Fatty Acids and Caseinate on Milk Composition and Coagulation in Dairy Cows. J. Dairy Sci. 1993, 76, 3011–3020. [Google Scholar] [CrossRef]
- Griinari, J.; Mcguire, M.; Dwyer, D.; Bauman, D.; Barbano, D.; House, W. The Role of Insulin in the Regulation of Milk Protein Synthesis in Dairy Cows. J. Dairy Sci. 1997, 80, 2361–2371. [Google Scholar] [CrossRef]
- Clark, J.H. Lactational Responses to Postruminal Administration of Proteins and Amino Acids. J. Dairy Sci. 1975, 58, 1178–1197. [Google Scholar] [CrossRef]
- Miettinen, H.O.; Huhtanen, P.J. Effects of Silage Fermentation and Post-ruminal Casein Supplementation in Lactating Dairy Cows: 2—Energy Metabolites and Plasma Amino Acids. J. Sci. Food Agric. 1997, 74, 459–468. [Google Scholar] [CrossRef]
- Spires, H.R.; Clark, J.H.; Derrig, R.G.; Davis, C.L. Milk Production and Nitrogen Utilization in Response to Postruminal Infusion of Sodium Caseinate in Lactating Cows. J. Nutr. 1975, 105, 1111–1121. [Google Scholar] [CrossRef]
- Rooke, J.A.; Lee, N.H.; Armstrong, D.G. The effects of intraruminal infusions of urea, casein, glucose syrup and a mixture of casein and glucose syrup on nitrogen digestion in the rumen of cattle receiving grass-silage diets. Br. J. Nutr. 1987, 57, 89–98. [Google Scholar] [CrossRef]
- Aguilar, M.; Hanigan, M.; Tucker, H.; Jones, B.; Garbade, S.; McGilliard, M.; Stallings, C.; Knowlton, K.; James, R. Cow and herd variation in milk urea nitrogen concentrations in lactating dairy cattle. J. Dairy Sci. 2012, 95, 7261–7268. [Google Scholar] [CrossRef]
- Blom, E.J.; Anderson, D.; Brake, D.W. Increases in duodenal glutamic acid supply linearly increase small intestinal starch digestion but not nitrogen balance in cattle1. J. Anim. Sci. 2016, 94, 5332–5340. [Google Scholar] [CrossRef]
- Vik-Mo, L.; Huber, J.; Bergen, W.; Lichtenwalner, R.; Emery, R. Blood Metabolites in Cows Abomasally Infused with Casein or Glucose. J. Dairy Sci. 1974, 57, 1024–1030. [Google Scholar] [CrossRef]
- Trotta, R.J.; Sitorski, L.G.; Acharya, S.; Brake, D.W.; Swanson, K.C. Duodenal Infusions of Starch with Casein or Glutamic Acid Influence Pancreatic and Small Intestinal Carbohydrase Activities in Cattle. J. Nutr. 2020, 150, 784–791. [Google Scholar] [CrossRef] [PubMed]
- Bruckental, I.; Huntington, G.B.; Baer, C.K.; Erdman, R.A. The effect of abomasal infusion of casein and recombinant somatotropin hormone injection on nitrogen balance and amino acid fluxes in portal-drained viscera and net hepatic and total splanchnic blood in Holstein steers. J. Anim. Sci. 1997, 75, 1119–1129. [Google Scholar] [CrossRef] [PubMed][Green Version]
- Titgemeyer, E.C.; Merchen, N.R. The effect of abomasal methionine supplementation on nitrogen retention of growing steers postruminally infused with casein or nonsulfur-containing amino acids. J. Anim. Sci. 1990, 68, 750–757. [Google Scholar] [CrossRef] [PubMed]
- Houseknecht, K.L.; Bauman, D.E.; Fox, D.G.; Smith, D.F. Abomasal Infusion of Casein Enhances Nitrogen Retention in Somatotropin-Treated Steers. J. Nutr. 1992, 122, 1717–1725. [Google Scholar] [CrossRef] [PubMed]


| Item | % of Dry Matter |
|---|---|
| Ingredient | |
| Corn silage | 19.9 |
| Alfalfa hay | 21.8 |
| Wet corn gluten feed | 24.4 |
| Whole cotton seed | 5.0 |
| Grain mix | 28.9 |
| Nutrient | |
| Organic matter | 92.5 |
| Crude protein | 14.7 |
| Rumen-degradable protein | 10.3 |
| Neutral detergent fiber | 31.7 |
| Acid detergent fiber | 21.4 |
| Treatment | p-Value | ||||
|---|---|---|---|---|---|
| Item | Control | Casein | SEM | Treatment | Treatment × Day |
| Total N intake, g/day | 548.3 | 601.5 | 20.8 | 0.008 | 0.82 |
| Dietary N intake, g/day | 548.3 | 543.6 | 20.8 | 0.78 | 0.82 |
| Casein N infused, g/day | 0.0 | 57.9 | - | - | - |
| Milk N, g/day | 164.5 | 170.4 | 5.1 | 0.42 | 0.93 |
| Fecal N, g/day | 169.3 | 155.7 | 2.5 | 0.002 | 0.79 |
| Urinary N, g/day | 167.0 | 195.7 | 4.8 | <0.001 | 0.84 |
| Retained N, g/day | 48.4 | 78.9 | 13.3 | 0.03 | 0.83 |
| Productive N, g/day | 215.0 | 247.2 | 16.6 | 0.17 | 0.66 |
| N efficiency, % | 38.7 | 41.3 | 1.7 | 0.28 | 0.76 |
| Dry matter digestibility, % | 63.1 | 63.1 | 2.6 | 0.96 | - |
| Organic matter digestibility, % | 64.7 | 65.4 | 2.6 | 0.55 | - |
| Treatment | p-Value | ||||
|---|---|---|---|---|---|
| Item | Control | Casein | SEM | Treatment | Treatment × Day |
| Total DMI, kg/day | 22.4 | 22.8 | 0.86 | 0.64 | 0.81 |
| Dietary DMI, kg/day | 22.1 | 22.1 | 0.86 | 1.00 | 0.81 |
| Glucose DMI, kg/day | 0.291 | 0.291 | - | - | - |
| Casein DMI, kg/day | 0 | 0.385 | - | - | - |
| Milk yield, kg/day | 31.5 | 32.0 | 0.97 | 0.67 | 0.93 |
| Milk protein yield, kg/day | 1.05 | 1.09 | 0.03 | 0.42 | 0.93 |
| Milk protein, % | 3.31 | 3.44 | 0.11 | 0.01 | 0.90 |
| Milk fat yield, kg/day | 1.13 | 1.24 | 0.10 | 0.45 | 0.83 |
| Milk fat, % | 3.63 | 3.92 | 0.42 | 0.63 | 0.85 |
| Milk lactose yield, kg/day | 1.54 | 1.55 | 0.07 | 0.94 | 0.96 |
| Milk lactose, % | 4.90 | 4.85 | 0.05 | 0.28 | 0.81 |
| Milk solids-not-fat yield, kg/day | 2.86 | 2.92 | 0.10 | 0.68 | 0.95 |
| Milk solids-not-fat, % | 9.11 | 9.15 | 0.07 | 0.68 | 0.69 |
| Milk urea-N, mg/dL | 7.82 | 8.89 | 0.25 | 0.002 | 0.26 |
| Milk somatic cell count, per µL | 12.9 | 25.9 | 4.70 | 0.02 | 0.74 |
Publisher’s Note: MDPI stays neutral with regard to jurisdictional claims in published maps and institutional affiliations. |
© 2022 by the authors. Licensee MDPI, Basel, Switzerland. This article is an open access article distributed under the terms and conditions of the Creative Commons Attribution (CC BY) license (https://creativecommons.org/licenses/by/4.0/).
Share and Cite
Ardalan, M.; Hussein, A.H.; Titgemeyer, E.C. Effect of Post-Ruminal Casein Infusion on Milk Yield, Milk Composition, and Efficiency of Nitrogen Use in Dairy Cows. Dairy 2022, 3, 163-173. https://doi.org/10.3390/dairy3010013
Ardalan M, Hussein AH, Titgemeyer EC. Effect of Post-Ruminal Casein Infusion on Milk Yield, Milk Composition, and Efficiency of Nitrogen Use in Dairy Cows. Dairy. 2022; 3(1):163-173. https://doi.org/10.3390/dairy3010013
Chicago/Turabian StyleArdalan, Mehrnaz, Ali H. Hussein, and Evan C. Titgemeyer. 2022. "Effect of Post-Ruminal Casein Infusion on Milk Yield, Milk Composition, and Efficiency of Nitrogen Use in Dairy Cows" Dairy 3, no. 1: 163-173. https://doi.org/10.3390/dairy3010013
APA StyleArdalan, M., Hussein, A. H., & Titgemeyer, E. C. (2022). Effect of Post-Ruminal Casein Infusion on Milk Yield, Milk Composition, and Efficiency of Nitrogen Use in Dairy Cows. Dairy, 3(1), 163-173. https://doi.org/10.3390/dairy3010013

