Chemical Transformation of Biomass-Derived Furan Compounds into Polyols
Abstract
1. Introduction
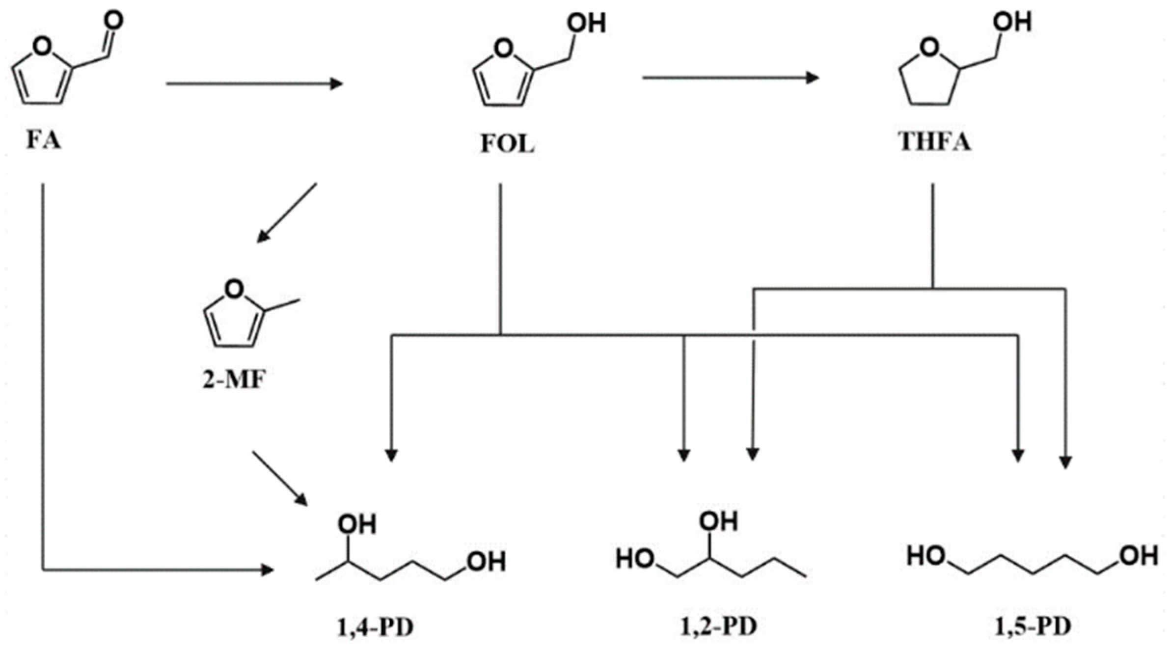
2. The Ring Opening of Furfural and Its Furan Derivatives
2.1. The Production of 1,2-PD
2.1.1. The Noble-Metal Catalyst
2.1.2. Non-Noble-Metal Catalyst
| Entry | Catalyst | Reactant | Solvent | H2 (MPa) | T (°C) | Time (h) | Conv. (%) | Sel. to 1,2-PD (%) | Sel. to 1,5-PD (%) | Ref. |
|---|---|---|---|---|---|---|---|---|---|---|
| 1 | Pt-Fe/MT | FA | H2O | 0.1 | 140 | 10 | >99 | 81 | 15 | [5] |
| 2 | Pt/CeO2 | FA | IPA | 2 | 165 | 2 | >99 | 59.9 | 3.1 | [39] |
| 3 | Pt/HT | FA | IPA | 3 | 150 | 8 | >99 | 73 | 8 | [42] |
| 4 | Pt/Al2O3 | FA | Water/IPA | 2 | 240 | 5 | >99 | 17.3 | - | [52] |
| 5 | Ru-Sn/ZnO | FA | IPA | 3.6 | 140 | 6 | >99 | 84.5 | 9.1 | [27] |
| 6 | Ru/PVP + HDA | FA | 1-propanol | 2 | 125 | 48 | >99 | 36 | - | [53] |
| 7 | Rh/OMS-2 | FA | methanol | 3 | 160 | 8 | >99 | 87 | - | [41] |
| 8 | Pd/MMT-K10 | FA | IPA | 3.4 | 220 | 5 | >99 | 66 | - | [38] |
| 9 | Cu-Mg-Al | FA | ethanol | 6 | 150 | 6 | 84.1 | 55.2 | 28.5 | [47] |
| 10 | Al(OH)3/Cu | FA | IPA | 4.5 | 170 | 6 | >99 | 34.1 | - | [50] |
| 11 | Ru/MnOx | FOL | H2O | 1.5 | 150 | 4 | >99 | 42.1 | - | [37] |
| 12 | Ru/Al2O3 | FOL | H2O | 10 | 200 | 1 | >99 | 32 | - | [54] |
| 13 | Ru-Mn/CNTs | FOL | H2O | 1.5 | 150 | 4 | 81.8 | 16.5 | - | [55] |
| 14 | Ru/MgO | FOL | H2O | 3 | 190 | 1 | >99 | 42 | 2.9 | [56] |
| 15 | Pt/CeO2 | FOL | ethanol | 2 | 165 | 24 | >99 | 77 | 7 | [40] |
| 16 | Pt/Mg(Al)O@Al2O3 | FOL | ethanol | 3 | 200 | - | >99 | 86 | 5 | [44] |
| 17 | Pt/Mg7AlO | FOL | ethanol | 2 | 160 | 2 | >99 | 64.9 | - | [46] |
| 18 | Pt/MgO | FOL | H2O | 1 | 160 | 10 | >99 | 59.4 | 16.2 | [57] |
| 19 | Pt/CeO2 | FOL | H2O | 1 | 170 | 1.5 | >99 | 65 | 8 | [58] |
| 20 | CoWO4 | FOL | IPA | - | 160 | 7 | 91 | 67 | - | [36] |
| 21 | Cu-Mg3AlO4.5 | FOL | ethanol | 6 | 140 | 24 | >99 | 51.2 | 28.8 | [49] |
| 22 | Cu-Al2O3 | FOL | ethanol | 8 | 140 | 8 | 85.8 | 48.1 | 22.2 | [50] |
| 23 | Cu/MgO-La2O3 | FOL | IPA | 6 | 140 | 8 | 94.9 | 67.1 | 17.8 | [51] |
2.2. The Production of 1,4-PD
| Entry | Catalyst | Reactant | Solvent | H2 (MPa) | T (°C) | Time (h) | Conv. (%) | Sel. to 1,4-PD (%) | Ref. |
|---|---|---|---|---|---|---|---|---|---|
| 1 | Ru/CMK-3 | FA | H2O | 1 | 80 | 20 | >99 | 90 | [62] |
| 2 | Ru-6.3FeOx/AC + Amberlyst-15 | FA | H2O | 0.2 | 80 | 20 | >99 | 86 | [64] |
| 3 | Ru/SC-SBA-15 | FA | H2O | 1.5 | 140 | 4 | >99 | 87 | [66] |
| 4 | Cu/SiO2 | FA | ethanol/H2O | 4 | 180 | 8 | >99 | 86.2 | [60] |
| 5 | Ni-Sn | FA | ethanol/H2O | 3 | 160 | 12 | >99 | 92 | [65] |
| 6 | Ni3Sn2 | FA | ethanol/H2O | 3 | 160 | 10 | >99 | 87 | [68] |
| 7 | Ni–Sn(x)/AlOH | FA | ethanol/H2O | 3 | 160 | 12 | >99 | 78 | [69] |
| 8 | Ni-Sn | FOL | ethanol/H2O | 3 | 180 | 12 | >99 | 71 | [65] |
| 9 | Ni-Sn | 2-MF | ethanol/H2O | 3 | 160 | 12 | >99 | 48 | [65] |
| 10 | Pt-Ni | 2-MF | ethanol/H2O | 2 | 120 | 3 | >99 | 69 | [67] |
2.3. The Production of 1,5-PD
2.3.1. Furan Ring Cracking and Hydrogenation
2.3.2. Hydrogenation and Ring Cracking
| Entry | Catalyst | Reactant | Solvent | H2 (MPa) | T (°C) | Time (h) | Conv. (%) | Sel. to 1,2-PD (%) | Sel. of 1,5-PD (%) | Ref. |
|---|---|---|---|---|---|---|---|---|---|---|
| 1 | Pt/Co2AlO4 | FA | ethanol | 1.5 | 140 | 24 | >99 | 16.2 | 34.9 | [70] |
| 2 | Pt@Al2O3 | FA | H2O | NaBH4 | 45 | 8 | >99 | - | 75.4 | [83] |
| 3 | Pd-Ir-ReOx/SiO2 | FA | H2O | 6 | 40/100 | 8/72 | >99 | 1.4 | 71.4 | [80] |
| 4 | Rh-Ir-ReOx/SiO2 | FA | H2O | 6 | 40/100 | 8/32 | >99 | 1.2 | 78.2 | [82] |
| 5 | Co-Al | FA | IPA | 3 | 150 | 8 | >99 | - | 30 | [72] |
| 6 | Ni-Co-Al | FA | H2O | 3 | 160 | 6 | >99 | 19.2 | 47.5 | [73] |
| 7 | ZnCo | FA | ethanol | 4 | 160 | 4 | >99 | 8.1 | 46.9 | [75] |
| 8 | Cu-Co/CeO2 | FA | ethanol | 3 | 150 | 4 | >99 | 12.8 | 53.4 | [76] |
| 9 | Ni-Y/HT | FA | IPA | 2 | 150 | 72 | >99 | 1.9 | 46.0 | [84] |
| 10 | Ni-La/HT | FA | IPA | 2 | 150 | 72 | >99 | 2.8 | 55.8 | [84] |
| 11 | Pt/Co-La | FOL | IPA | 3 | 160 | 10 | >99 | 11.1 | 40.3 | [77] |
| 12 | Ni-Co-Al | FOL | IPA | 4 | 150 | 4 | >99 | 12.2 | 42.5 | [74] |
| 13 | Cu/MFI * | FOL | ethanol | 2.5 | 160 | -- | >99 | 16.0 | 69.2 | [78] |
| 14 | Cu/MFI-AEM * | FOL | - | 2.5 | 180 | -- | >99 | 14.3 | 76.4 | [79] |
| 15 | Cu-LaCoO3 | FOL | ethanol | 6 | 140 | 2 | >99 | 15.2 | 40.3 | [85] |
| 16 | Cu-Co-Al | FOL | ethanol | 4 | 160 | 2 | 97.8 | 18.9 | 44.7 | [86] |
2.4. The Production of 1,2,5-Pentanetriol
3. The Ring Opening of 5-Hydroxymethylfurfural and Its Furanic Derivatives
4. The Effect of Reaction Conditions on the Transformation of Furan Compounds
4.1. Solvent
- (1)
- Participating in the reaction directly. Gong’s group found that water directly participates in the ring-opening process of FA [58]. Generally, C2-O cracking leads to the production of 1,5-PD, while 1,2-PD is produced via C5-O cracking. This means that all the oxygen atoms in the products originated from FA. Interestingly, a H218O isotopic tracing experiment revealed the presence of 18O at 2°-OH. Combined with DFT calculations, they concluded that 1,2-PD was produced by C2-O cracking rather than C5-O cracking. Because the additional reaction happened between H218O and C2=C3, 18O was detected at 2°-OH. Additionally, the dehydration reaction occurs at 5°-OH with hydrogen transfer. Wang et al. found that when ethanol is used as the solvent, the produced ether species protect the hydroxyl group of FA from undesired polymerization [60]. Meanwhile, it also facilitates the conversion of the intermediate from an alcohol to an ester. The solvent can also act as the hydrogen source in catalytic systems. For instance, in the CoWO4 catalytic system [36], 2-propanol (IPA) serves as both the solvent and hydrogen source, participating directly in the transfer of hydrogenation to transform FOL to 1,2-PD. The transfer mechanism was not elaborated in depth. Compared with ethanol, IPA exhibited a low dissociation energy barrier by producing the hydrogen route.
- (2)
- Changing the surface states of catalysts. Wang et al. found that alkaline sites of Mn-OH groups were formed through the rehydration of Mn species in a water environment, while the high-oxidation-state Mn3O4 species was generated in a n-propanol environment [55]. Jones’s group found that the addition of H2O led to a decrease in selectivity towards PDs. They proposed two plausible hypotheses to explain this phenomenon. One hypothesis is that H2O may act as an oxidant, causing the oxidation of the active metal site on the catalyst surface. Another hypothesis is that the presence of H2O may promote the reversion of the catalyst structure towards layered double hydroxides (LDHs) [86]. The change in catalyst structure may lead to a reduction in the surface area or the formation of hydroxyl species [101]. The presence of water and ReOx has been reported to facilitate the generation of hydroxyl species, which enhances the number of acidic sites on the catalyst surface [94,95]. In addition, the use of non-protonic solvents, such as THF in the ReOx/SiO2 catalytic system, has been shown to promote stronger adsorption of alcohols compared to water [96]. Also, too many acidic sites and too strong an absorption ability result in the generation of byproducts. A suitable ratio of H2O and THF improves the yield of the target product dramatically.
- (3)
- Influence of the solubility of hydrogen and the speed of hydrogen spillover. Bretzler’s group selected THF and IPA as solvents in the Ni-WxC/SiO2 catalytic system, respectively [102]. The dehydration reaction acts favorably in aprotic solvents such as THF. The use of IPA as a solvent resulted in a faster reaction rate and the stabilization of the intermediate to produce 1,2-PD [5].
- (4)
- Inducing substrate polarization and/or stabilizing intermediates. In the Ru/OMS-2 catalytic system, methanol achieved the best yield with the highest dielectric constant [41].
4.2. Temperature, Hydrogen Pressure and Other Parameters
4.3. Catalytic Stability
5. Conclusions and Outlook
Author Contributions
Funding
Conflicts of Interest
Abbreviations
| HMF | 5-hydroxymethylfurfural |
| FA | furfural |
| FOL | furfuryl alcohol |
| 1,2-PD | 1,2-pentadiol |
| 1,4-PD | 1,4-pentadiol |
| 1,5-PD | 1,5-pentadiol |
| 1,2-HD | 1,2-hexanediol |
| 1,6-HD | 1,6-hexanediol |
| 1,2,6-HT | 1,2,6-hexanetriol |
| 3--AP | 3-carbon-but-1-ol |
| BHMF | 2,5-dihydroxymethylfuran |
| BHMTHF | 2,5-bishydroxymethyltetrahydrofuran |
| HMMTHF | 5-methyl tetrahydrofurfuryl alcohol |
| HMMF | 5-methylfurfuryl alcohol |
| THFA | tetrahydrofurfuryl alcohol |
| 2-MF | 2-methylfuran |
References
- Li, X.; Jia, P.; Wang, T. Furfural: A Promising Platform Compound for Sustainable Production of C4 and C5 Chemicals. ACS Catal. 2016, 6, 7621–7640. [Google Scholar] [CrossRef]
- Jing, Y.; Guo, Y.; Xia, Q.; Liu, X.; Wang, Y. Catalytic Production of Value-Added Chemicals and Liquid Fuels from Lignocellulosic Biomass. Chem 2019, 5, 2520–2546. [Google Scholar] [CrossRef]
- Peng, L.; Yu, Y.; Gao, S.; Wang, M.; Zhang, J.; Zhang, R.; Jia, W.; Sun, Y.; Liu, H. Coupling Cu+ Species and Zr Single Atoms for Synergetic Catalytic Transfer Hydrodeoxygenation of 5-Hydroxymethylfurfural. ACS Catal. 2024, 14, 6623–6632. [Google Scholar] [CrossRef]
- Pomeroy, B.; Grilc, M.; Gyergyek, S.; Likozar, B. Kinetics and mechanistic insights into the acidic-basic active sites for water-containing catalytic hydrogenation of hydroxymethylfurfural over ceria-doped Ni/Al2O3. Appl. Catal. B Environ. 2023, 334, 122868. [Google Scholar] [CrossRef]
- Cao, C.; Guan, W.; Liu, Q.; Li, L.; Su, Y.; Liu, F.; Wang, A.; Zhang, T. Selective hydrogenolysis of furfural to 1,2-pentanediol over a Pt–Fe/MT catalyst under mild conditions. Green Chem. 2024, 26, 6511–6519. [Google Scholar] [CrossRef]
- Zhang, M.; Liu, Y.; Liu, B.; Chen, Z.; Xu, H.; Yan, K. Trimetallic NiCoFe-Layered Double Hydroxides Nanosheets Efficient for Oxygen Evolution and Highly Selective Oxidation of Biomass-Derived 5-Hydroxymethylfurfural. ACS Catal. 2020, 10, 5179–5189. [Google Scholar] [CrossRef]
- Hameed, S.; Liu, W.; Yu, Z.; Pang, J.; Luo, W.; Wang, A. Base-free aerobic oxidation of 5-hydroxymethylfurfural to 2,5-furandicarboxylic acid over a Fe single-atom catalyst. Green Chem. 2024, 26, 7806–7817. [Google Scholar] [CrossRef]
- Hu, K.; Zhang, M.; Liu, B.; Yang, Z.; Li, R.; Yan, K. Efficient electrochemical oxidation of 5-hydroxymethylfurfural to 2,5-furandicarboxylic acid using the facilely synthesized 3D porous WO3/Ni electrode. Mol. Catal. 2021, 504, 111459. [Google Scholar] [CrossRef]
- Shen, X.; Zheng, J.; Hu, L.; Gu, Q.; Li, J.; Chen, K.; Jiang, Y.; Wang, X.; Wu, Z.; Song, J. Highly effective synthesis of biomass-derived furanic diethers over a sulfonated zirconium–carbon coordination catalyst in alcohol systems. Green Chem. 2023, 25, 4090–4103. [Google Scholar] [CrossRef]
- Sun, Z.; Chen, M.; Wang, K.; Chen, C.; Fei, J.; Guo, W.; Zhu, C.; He, H.; Liu, Y.; Cao, Y. Towards scalable reductive etherification of 5-hydroxymethyl-furfural through iridium-zeolite-based bifunctional catalysis. Green Chem. 2023, 25, 10381–10386. [Google Scholar] [CrossRef]
- Díaz-Maizkurrena, P.; Requies, J.M.; Iriondo, A.; Arias, P.L.; Mariscal, R. 5-Methoxymethyl furfural production by acid heterogeneous catalytic etherification of 5-hydroxymethyl furfural. Catal. Today 2024, 426, 114374. [Google Scholar] [CrossRef]
- van Slagmaat, C.A.M.R.; Noordijk, J.; Monsegue, L.G.; Mogensen, S.; Hadavi, D.; Han, P.; Quaedflieg, P.J.L.M.; Verzijl, G.K.M.; Alsters, P.L.; De Wildeman, S.M.A. Bio-based synthesis of cyclopentane-1,3-diamine and its application in bifunctional monomers for poly-condensation. Green Chem. 2021, 23, 7100–7114. [Google Scholar] [CrossRef]
- Kirchhecker, S.; Dell’Acqua, A.; Angenvoort, A.; Spannenberg, A.; Ito, K.; Tin, S.; Taden, A.; de Vries, J.G. HMF–glycerol acetals as additives for the debonding of polyurethane adhesives. Green Chem. 2021, 23, 957–965. [Google Scholar] [CrossRef]
- Warlin, N.; Nilsson, E.; Guo, Z.; Mankar, S.V.; Valsange, N.G.; Rehnberg, N.; Lundmark, S.; Jannasch, P.; Zhang, B. Synthesis and melt-spinning of partly bio-based thermoplastic poly(cycloacetal-urethane)s toward sustainable textiles. Polym. Chem. 2021, 12, 4942–4953. [Google Scholar] [CrossRef]
- Wu, Y.; Xu, D.; Xu, Y.; Tian, X.; Ding, M. Ru clusters anchored on N-doped porous carbon-alumina matrix as efficient catalyst toward primary amines via reductive amination. Appl. Catal. B Environ. 2024, 343, 123462. [Google Scholar] [CrossRef]
- Blöndal, K.; Sargsyan, K.; Bross, D.H.; Ruscic, B.; Goldsmith, C.F. Configuration Space Integration for Adsorbate Partition Functions: The Effect of Anharmonicity on the Thermophysical Properties of CO–Pt(111) and CH3OH–Cu(111). ACS Catal. 2023, 13, 19–32. [Google Scholar] [CrossRef]
- Qi, H.; Li, Y.; Zhou, Z.; Cao, Y.; Liu, F.; Guan, W.; Zhang, L.; Liu, X.; Li, L.; Su, Y.; et al. Synthesis of piperidines and pyridine from furfural over a surface single-atom alloy Ru1CoNP catalyst. Nat. Commun. 2023, 14, 6329. [Google Scholar] [CrossRef]
- Wu, D.; Zhang, S.; Hernández, W.Y.; Baaziz, W.; Ersen, O.; Marinova, M.; Khodakov, A.Y.; Ordomsky, V.V. Dual Metal–Acid Pd-Br Catalyst for Selective Hydrodeoxygenation of 5-Hydroxymethylfurfural (HMF) to 2,5-Dimethylfuran at Ambient Temperature. ACS Catal. 2020, 11, 19–30. [Google Scholar] [CrossRef]
- Ramos, R.; Grigoropoulos, A.; Griffiths, B.L.; Katsoulidis, A.P.; Zanella, M.; Manning, T.D.; Blanc, F.; Claridge, J.B.; Rosseinsky, M.J. Selective conversion of 5-hydroxymethylfurfural to diketone derivatives over Beta zeolite-supported Pd catalysts in water. J. Catal. 2019, 375, 224–233. [Google Scholar] [CrossRef]
- Zhu, M.-M.; Du, X.-L.; Zhao, Y.; Mei, B.-B.; Zhang, Q.; Sun, F.-F.; Jiang, Z.; Liu, Y.-M.; He, H.-Y.; Cao, Y. Ring-Opening Transformation of 5-Hydroxymethylfurfural Using a Golden Single-Atomic-Site Palladium Catalyst. ACS Catal. 2019, 9, 6212–6222. [Google Scholar] [CrossRef]
- Zhao, Z.; Yang, C.; Sun, P.; Gao, G.; Liu, Q.; Huang, Z.; Li, F. Synergistic Catalysis for Promoting Ring-Opening Hydrogenation of Biomass-Derived Cyclic Oxygenates. ACS Catal. 2023, 13, 5170–5193. [Google Scholar] [CrossRef]
- Di Bucchianico, D.D.; Wang, Y.J.; Buvat, J.-C.; Pan, Y.; Moreno, V.C.; Leveneur, S. Production of levulinic acid and alkyl levulinates: A process insight. Green Chem. 2022, 24, 614–646. [Google Scholar] [CrossRef]
- Latifi, E.; Marchese, A.D.; Hulls, M.C.W.; Soldatov, D.V.; Schlaf, M. [Ru(triphos)(CH3CN)3](OTf)2 as a homogeneous catalyst for the hydrogenation of biomass derived 2,5-hexanedione and 2,5-dimethyl-furan in aqueous acidic medium. Green Chem. 2017, 19, 4666–4679. [Google Scholar] [CrossRef]
- Chung, E.M.-J.B.; Stones, M.K.; Latifi, E.; Moore, C.; Sutton, A.D.; Umphrey, G.; Soldatov, D.; Schlaf, M. Ruthenium triphos complexes [Ru(X(CH2PPh2)3-κ3-P)(NCCH3)3](OTf)2; X = H3C-C, N) as catalysts for the conversion of furfuryl acetate to 1,4-pentanediol and cyclopentanol in aqueous medium. Can. J. Chem. 2021, 99, 113–126. [Google Scholar] [CrossRef]
- Stones, M.K.; Banz Chung, E.M.J.; da Cunha, I.T.; Sullivan, R.J.; Soltanipanah, P.; Magee, M.; Umphrey, G.J.; Moore, C.M.; Sutton, A.D.; Schlaf, M. Conversion of Furfural Derivatives to 1,4-Pentanediol and Cyclopentanol in Aqueous Medium Catalyzed by trans-[(2,9-Dipyridyl-1,10-phenanthroline)(CH3CN)2Ru](OTf)2. ACS Catal. 2020, 10, 2667–2683. [Google Scholar] [CrossRef]
- Sullivan, R.J.; Latifi, E.; Chung, B.K.M.; Soldatov, D.V.; Schlaf, M. Hydrodeoxygenation of 2,5-Hexanedione and 2,5-Dimethylfuran by Water-, Air-, and Acid-Stable Homogeneous Ruthenium and Iridium Catalysts. ACS Catal. 2014, 4, 4116–4128. [Google Scholar] [CrossRef]
- Upare, P.P.; Kim, Y.; Oh, K.-R.; Han, S.J.; Kim, S.K.; Hong, D.-Y.; Lee, M.; Manjunathan, P.; Hwang, D.W.; Hwang, Y.K. A Bimetallic Ru3Sn7 Nanoalloy on ZnO Catalyst for Selective Conversion of Biomass-Derived Furfural into 1,2-Pentanediol. ACS Sustain. Chem. Eng. 2021, 9, 17242–17253. [Google Scholar] [CrossRef]
- Lee, J.; Burt, S.P.; Carrero, C.A.; Alba-Rubio, A.C.; Ro, I.; O’Neill, B.J.; Kim, H.J.; Jackson, D.H.K.; Kuech, T.F.; Hermans, I.; et al. Stabilizing cobalt catalysts for aqueous-phase reactions by strong metal-support interaction. J. Catal. 2015, 330, 19–27. [Google Scholar] [CrossRef]
- Nakagawa, Y.; Tamura, M.; Tomishige, K. Catalytic Reduction of Biomass-Derived Furanic Compounds with Hydrogen. ACS Catal. 2013, 3, 2655–2668. [Google Scholar] [CrossRef]
- Jiang, Z.; Zeng, Y.; Hu, D.; Guo, R.; Yan, K.; Luque, R. Chemical transformations of 5-hydroxymethylfurfural into highly added value products: Present and future. Green Chem. 2023, 25, 871–892. [Google Scholar] [CrossRef]
- Cai, Y.; Wu, B.; Tian, Y.; Sun, B.; Yang, J.; Wu, X. Preparation Method for Propiconazole Serving as Bactericide. CN113444077–A, 28 September 2021. [Google Scholar]
- Wu, Y. Method for Producing 1,2-pentanediol from 1-pentene. CN106397112–A, 15 February 2017. [Google Scholar]
- Zhu, S.; Lv, Z.; Wang, J.; Jia, X.; Li, X.; Dong, M.; Wang, J.; Fan, W. Catalytic production of 1,4-pentanediol from lignocellulosic biomass. Green Chem. 2024, 26, 8052–8067. [Google Scholar] [CrossRef]
- Ning, C.; Zhang, C.; Zhang, M.; Zhao, X.; Ma, J. Method for Preparing 1,5-pentadiol by Hydrogenation of 1,5-glutaraldehyde. CN101225022–, 13 February 2008. [Google Scholar]
- Lin, P.; Li, M.; Ding, Y. Catalyst and Method for Preparing 1, 5-pentanediol by Hydrogenating Dimethyl 1, 5-glutarate. CN1565728–A, 18 June 2003. [Google Scholar]
- Qurbayni, S.H.; Wijaya, H.W.; Fahruddin Arrozi, U.S.; Permana, Y. Single-Step Hydrogenolysis of Furfuryl Alcohol to 1,2-Pentanediol by CoWO4 Catalyst. Chem. Inorg. Mater. 2024, 2, 100036. [Google Scholar] [CrossRef]
- Zhang, B.; Zhu, Y.; Ding, G.; Zheng, H.; Li, Y. Selective conversion of furfuryl alcohol to 1,2-pentanediol over a Ru/MnOx catalyst in aqueous phase. Green Chem. 2012, 14, 3402. [Google Scholar] [CrossRef]
- Date, N.S.; Chikate, R.C.; Roh, H.-S.; Rode, C.V. Bifunctional role of Pd/MMT-K 10 catalyst in direct transformation of furfural to 1,2-pentanediol. Catal. Today 2018, 309, 195–201. [Google Scholar] [CrossRef]
- Tong, T.; Xia, Q.; Liu, X.; Wang, Y. Direct hydrogenolysis of biomass-derived furans over Pt/CeO2 catalyst with high activity and stability. Catal. Commun. 2017, 101, 129–133. [Google Scholar] [CrossRef]
- Tong, T.; Liu, X.; Guo, Y.; Norouzi Banis, M.; Hu, Y.; Wang, Y. The critical role of CeO2 crystal-plane in controlling Pt chemical states on the hydrogenolysis of furfuryl alcohol to 1,2-pentanediol. J. Catal. 2018, 365, 420–428. [Google Scholar] [CrossRef]
- Pisal, D.S.; Yadav, G.D. Single-Step Hydrogenolysis of Furfural to 1,2-Pentanediol Using a Bifunctional Rh/OMS-2 Catalyst. ACS Omega 2019, 4, 1201–1214. [Google Scholar] [CrossRef]
- Mizugaki, T.; Yamakawa, T.; Nagatsu, Y.; Maeno, Z.; Mitsudome, T.; Jitsukawa, K.; Kaneda, K. Direct Transformation of Furfural to 1,2-Pentanediol Using a Hydrotalcite-Supported Platinum Nanoparticle Catalyst. ACS Sustain. Chem. Eng. 2014, 2, 2243–2247. [Google Scholar] [CrossRef]
- Zhu, Y.; An, Z.; He, J. Single-atom and small-cluster Pt induced by Sn (IV) sites confined in an LDH lattice for catalytic reforming. J. Catal. 2016, 341, 44–54. [Google Scholar] [CrossRef]
- Zhu, Y.; Zhao, W.; Zhang, J.; An, Z.; Ma, X.; Zhang, Z.; Jiang, Y.; Zheng, L.; Shu, X.; Song, H.; et al. Selective Activation of C–OH, C–O–C, or C═C in Furfuryl Alcohol by Engineered Pt Sites Supported on Layered Double Oxides. ACS Catal. 2020, 10, 8032–8041. [Google Scholar] [CrossRef]
- Meng, X.; Yang, Y.; Chen, L.; Xu, M.; Zhang, X.; Wei, M. A Control over Hydrogenation Selectivity of Furfural via Tuning Exposed Facet of Ni Catalysts. ACS Catal. 2019, 9, 4226–4235. [Google Scholar] [CrossRef]
- Wang, J.; Zhu, S.; He, Y.; Fan, G.; Li, X.; Jia, X.; Dong, M.; Fan, W. Pt/Mg AlO bifunctional catalysts with various Mg/Al ratios for selective hydrogenation of furfural alcohol to 1,2-pentanediol. Catal. Today 2024, 433, 114647. [Google Scholar] [CrossRef]
- Fu, X.; Ren, X.; Shen, J.; Jiang, Y.; Wang, Y.; Orooji, Y.; Xu, W.; Liang, J. Synergistic catalytic hydrogenation of furfural to 1,2-pentanediol and 1,5-pentanediol with LDO derived from CuMgAl hydrotalcite. Mol. Catal. 2021, 499, 111298. [Google Scholar] [CrossRef]
- Li, H.; Nie, X.; Du, H.; Zhao, Y.; Mu, J.; Zhang, Z.C. Understanding the Role of Base Species on Reversed Cu Catalyst in Ring Opening of Furan Compounds to 1, 2-Pentanediol. ChemSusChem 2024, 17, e202300880. [Google Scholar] [CrossRef] [PubMed]
- Liu, H.; Huang, Z.; Zhao, F.; Cui, F.; Li, X.; Xia, C.; Chen, J. Efficient hydrogenolysis of biomass-derived furfuryl alcohol to 1,2- and 1,5-pentanediols over a non-precious Cu–Mg3AlO4.5 bifunctional catalyst. Catal. Sci. Technol. 2016, 6, 668–671. [Google Scholar] [CrossRef]
- Liu, H.; Huang, Z.; Kang, H.; Xia, C.; Chen, J. Selective hydrogenolysis of biomass-derived furfuryl alcohol into 1,2- and 1,5-pentanediol over highly dispersed Cu-Al2O3 catalysts. Chin. J. Catal. 2016, 37, 700–710. [Google Scholar] [CrossRef]
- Zhu, Y.; Li, B.; Zhao, C. Cu nanoparticles supported on core–shell MgO-La2O3 catalyzed hydrogenolysis of furfuryl alcohol to pentanediol. J. Catal. 2022, 410, 42–53. [Google Scholar] [CrossRef]
- Bhogeswararao, S.; Srinivas, D. Catalytic conversion of furfural to industrial chemicals over supported Pt and Pd catalysts. J. Catal. 2015, 327, 65–77. [Google Scholar] [CrossRef]
- Bruna, L.; Cardona-Farreny, M.; Colliere, V.; Philippot, K.; Axet, M.R. In Situ Ruthenium Catalyst Modification for the Conversion of Furfural to 1,2-Pentanediol. Nanomaterials 2022, 12, 328. [Google Scholar] [CrossRef]
- Götz, D.; Lucas, M.; Claus, P. C–O bond hydrogenolysis vs. C=C group hydrogenation of furfuryl alcohol: Towards sustainable synthesis of 1,2-pentanediol. React. Chem. Eng. 2016, 1, 161–164. [Google Scholar] [CrossRef]
- Wang, X.; Weng, Y.; Zhao, X.; Xue, X.; Meng, S.; Wang, Z.; Zhang, W.; Duan, P.; Sun, Q.; Zhang, Y. Selective Hydrogenolysis and Hydrogenation of Furfuryl Alcohol in the Aqueous Phase Using Ru–Mn-Based Catalysts. Ind. Eng. Chem. Res. 2020, 59, 17210–17217. [Google Scholar] [CrossRef]
- Yamaguchi, A.; Murakami, Y.; Imura, T.; Wakita, K. Hydrogenolysis of Furfuryl Alcohol to 1,2-Pentanediol Over Supported Ruthenium Catalysts. ChemistryOpen 2021, 10, 731–736. [Google Scholar] [CrossRef] [PubMed]
- Yang, Y.; Liu, Q.; Liu, Z. Selective Hydrogenolysis of Furfuryl Alcohol to Pentanediol over Pt Supported on MgO. Catalysts 2024, 14, 223. [Google Scholar] [CrossRef]
- Ma, R.; Wu, X.-P.; Tong, T.; Shao, Z.-J.; Wang, Y.; Liu, X.; Xia, Q.; Gong, X.-Q. The Critical Role of Water in the Ring Opening of Furfural Alcohol to 1,2-Pentanediol. ACS Catal. 2016, 7, 333–337. [Google Scholar] [CrossRef]
- Xu, G.; Wang, A.; Pang, J.; Zhao, X.; Xu, J.; Lei, N.; Wang, J.; Zheng, M.; Yin, J.; Zhang, T. Chemocatalytic Conversion of Cellulosic Biomass to Methyl Glycolate, Ethylene Glycol, and Ethanol. ChemSusChem 2017, 10, 1390–1394. [Google Scholar] [CrossRef]
- Zheng, Y.; Zang, J.; Zhang, Q.; Wu, X.; Qiu, S.; Meng, Q.; Wang, T. Ethanol-induced transformation of furfural into 1,4-pentanediol over a Cu/SiO2 catalyst with enhanced metal–acid sites by copper phyllosilicate. Green Chem. 2023, 25, 1128–1136. [Google Scholar] [CrossRef]
- Schniepp, L.E.; Geller, H.H.; Korff, R.W.V. The Preparation of Acetopropyl Alcohol and 1,4-Pentanediol from Methylfuran2. J. Am. Chem. Soc. 1947, 69, 672–674. [Google Scholar] [CrossRef]
- Liu, F.; Liu, Q.; Xu, J.; Li, L.; Cui, Y.-T.; Lang, R.; Li, L.; Su, Y.; Miao, S.; Sun, H.; et al. Catalytic cascade conversion of furfural to 1,4-pentanediol in a single reactor. Green Chem. 2018, 20, 1770–1776. [Google Scholar] [CrossRef]
- Piancatelli, G.; Scettri, A.; Barbadoro, S. A useful preparation of 4-substituted 5-hydroxy-3-oxocyclopentene. Tetrahedron Lett. 1976, 17, 3555–3558. [Google Scholar] [CrossRef]
- Liu, Q.; Qiao, B.; Liu, F.; Zhang, L.; Su, Y.; Wang, A.; Zhang, T. Catalytic production of 1,4-pentanediol from furfural in a fixed-bed system under mild conditions. Green Chem. 2020, 22, 3532–3538. [Google Scholar] [CrossRef]
- Rodiansono, R.; Dewi Astuti, M.; Hara, T.; Ichikuni, N.; Shimazu, S. One-pot selective conversion of C5-furan into 1,4-pentanediol over bulk Ni–Sn alloy catalysts in an ethanol/H2O solvent mixture. Green Chem. 2019, 21, 2307–2315. [Google Scholar] [CrossRef]
- Cui, K.; Qian, W.; Shao, Z.; Zhao, X.; Gong, H.; Wei, X.; Wang, J.; Chen, M.; Cao, X.; Hou, Z. Ru Nanoparticles on a Sulfonated Carbon Layer Coated SBA-15 for Catalytic Hydrogenation of Furfural into 1, 4-pentanediol. Catal. Lett. 2021, 151, 2513–2526. [Google Scholar] [CrossRef]
- Wu, M.; Wang, T.; Li, W.; Zhang, Q.; Zhang, B.; Chen, K.; Peng, S.; Li, G.; Huang, J.; Wang, Q.; et al. Water-favored reaction mechanism for selective catalytic conversion of 2-methylfuran to 1,4-pentanediol. Chem. Eng. J. 2023, 461, 141944. [Google Scholar] [CrossRef]
- Rodiansono; Azzahra, A.S.; Ansyah, P.R.; Husain, S.; Shimazu, S. Rational design for the fabrication of bulk Ni3Sn2 alloy catalysts for the synthesis of 1,4-pentanediol from biomass-derived furfural without acidic co-catalysts. RSC Adv. 2023, 13, 21171–21181. [Google Scholar] [CrossRef] [PubMed]
- Rodiansono; Astuti, M.D.; Mustikasari, K.; Husain, S.; Ansyah, F.R.; Hara, T.; Shimazu, S. Unravelling the one-pot conversion of biomass-derived furfural and levulinic acid to 1,4-pentanediol catalysed by supported RANEY® Ni–Sn alloy catalysts. RSC Adv. 2022, 12, 241–250. [Google Scholar] [CrossRef]
- Xu, W.; Wang, H.; Liu, X.; Ren, J.; Wang, Y.; Lu, G. Direct catalytic conversion of furfural to 1,5-pentanediol by hydrogenolysis of the furan ring under mild conditions over Pt/Co2AlO4 catalyst. Chem. Commun. 2011, 47, 3924–3926. [Google Scholar] [CrossRef]
- Ma, C.Y.; Mu, Z.; Li, J.J.; Jin, Y.G.; Cheng, J.; Lu, G.Q.; Hao, Z.P.; Qiao, S.Z. Mesoporous Co3O4 and Au/Co3O4 Catalysts for Low-Temperature Oxidation of Trace Ethylene. J. Am. Chem. Soc. 2010, 132, 2608–2613. [Google Scholar] [CrossRef]
- Gavilà, L.; Lähde, A.; Jokiniemi, J.; Constanti, M.; Medina, F.; del Río, E.; Tichit, D.; Álvarez, M.G. Insights on the One-Pot Formation of 1,5-Pentanediol from Furfural with Co-Al Spinel-based Nanoparticles as an Alternative to Noble Metal Catalysts. ChemCatChem 2019, 11, 4944–4953. [Google Scholar] [CrossRef]
- Kurniawan, R.G.; Karanwal, N.; Park, J.; Verma, D.; Kwak, S.K.; Kim, S.K.; Kim, J. Direct conversion of furfural to 1,5-pentanediol over a nickel–cobalt oxide–alumina trimetallic catalyst. Appl. Catal. B Environ. 2023, 320, 121971. [Google Scholar] [CrossRef]
- Peng, J.; Zhang, D.; Wu, Y.; Wang, H.; Tian, X.; Ding, M. Selectivity control of furfuryl alcohol upgrading to 1,5-pentanediol over hydrotalcite-derived Ni-Co-Al catalyst. Fuel 2023, 332, 126261. [Google Scholar] [CrossRef]
- Tian, Y.; Xie, W.; Yang, Z.; Yu, Z.; Huang, R.; Luo, L.; Zuo, M.; Li, Z.; Lin, L.; Zeng, X. Efficient and selective upgrading of biomass-derived furfural into 1,5 pentanediol by Co2+ etched ZIF-8 derived ZnCo layered double hydroxides nanoflake. Chem. Eng. J. 2024, 493, 152669. [Google Scholar] [CrossRef]
- Wang, F.; Zhao, K.; Xu, Q.; Yin, D.; Liu, X. Efficient one-pot transformation of furfural to pentanediol over Cu-modified cobalt-based catalysts. Bioresour. Technol. 2024, 403, 130858. [Google Scholar] [CrossRef] [PubMed]
- Liu, D.; Fu, J.; Wang, J.; Zhu, X.; Xu, J.; Zhao, Y.; Huang, J. Interfacial synergy within bimetallic oxide promotes selective hydrogenolysis of furfuryl alcohol to 1,5-pentanediol. Appl. Surf. Sci. 2024, 642, 158571. [Google Scholar] [CrossRef]
- Dai, D.; Feng, C.; Wang, M.; Du, Q.; Liu, D.; Pan, Y.; Liu, Y. Ring-opening of furfuryl alcohol to pentanediol with extremely high selectivity over Cu/MFI catalysts with balanced Cu0–Cu+ and Brønsted acid sites. Catal. Sci. Technol. 2022, 12, 5879–5890. [Google Scholar] [CrossRef]
- Dai, D.; Shi, Y.; Feng, C.; Liu, D.; Liu, Y. Ring-opening of furfuryl alcohol to pentanediol with hierarchically structured Cu-MFI catalysts. Micropor. Mesopor. Mater. 2023, 351, 112484. [Google Scholar] [CrossRef]
- Liu, S.; Amada, Y.; Tamura, M.; Nakagawa, Y.; Tomishige, K. One-pot selective conversion of furfural into 1,5-pentanediol over a Pd-added Ir–ReOx/SiO2 bifunctional catalyst. Green Chem. 2014, 16, 617–626. [Google Scholar] [CrossRef]
- Chen, K.; Mori, K.; Watanabe, H.; Nakagawa, Y.; Tomishige, K. C–O bond hydrogenolysis of cyclic ethers with OH groups over rhenium-modified supported iridium catalysts. J. Catal. 2012, 294, 171–183. [Google Scholar] [CrossRef]
- Liu, S.; Amada, Y.; Tamura, M.; Nakagawa, Y.; Tomishige, K. Performance and characterization of rhenium-modified Rh–Ir alloy catalyst for one-pot conversion of furfural into 1,5-pentanediol. Catal. Sci. Technol. 2014, 4, 2535–2549. [Google Scholar] [CrossRef]
- Yeh, J.-Y.; Matsagar, B.M.; Chen, S.; Sung, H.-L.; Tsang, D.C.W.; Li, Y.-P.; Wu, K.C.W. Synergistic effects of Pt-embedded, MIL-53-derived catalysts (Pt@Al2O3) and NaBH4 for water-mediated hydrogenolysis of biomass-derived furfural to 1,5-pentanediol at near-ambient temperature. J. Catal. 2020, 390, 46–56. [Google Scholar] [CrossRef]
- Wijaya, H.W.; Sato, T.; Tange, H.; Hara, T.; Ichikuni, N.; Shimazu, S. Hydrogenolysis of Furfural into 1,5-Pentanediol by Employing Ni-M (M = Y or La) Composite Catalysts. Chem. Lett. 2017, 46, 744–746. [Google Scholar] [CrossRef]
- Gao, F.; Liu, H.; Hu, X.; Chen, J.; Huang, Z.; Xia, C. Selective hydrogenolysis of furfuryl alcohol to 1,5- and 1,2-pentanediol over Cu-LaCoO3 catalysts with balanced Cu0-CoO sites. Chin. J. Catal. 2018, 39, 1711–1723. [Google Scholar] [CrossRef]
- Sulmonetti, T.P.; Hu, B.; Lee, S.; Agrawal, P.K.; Jones, C.W. Reduced Cu–Co–Al Mixed Metal Oxides for the Ring-Opening of Furfuryl Alcohol to Produce Renewable Diols. ACS Sustain. Chem. Eng. 2017, 5, 8959–8969. [Google Scholar] [CrossRef]
- Tong, Z.; Li, X.; Dong, J.; Gao, R.; Deng, Q.; Wang, J.; Zeng, Z.; Zou, J.-J.; Deng, S. Adsorption Configuration-Determined Selective Hydrogenative Ring Opening and Ring Rearrangement of Furfural over Metal Phosphate. ACS Catal. 2021, 11, 6406–6415. [Google Scholar] [CrossRef]
- Kataoka, H.; Kosuge, D.; Ogura, K.; Ohyama, J.; Satsuma, A. Reductive conversion of 5-hydroxymethylfurfural to 1,2,6-hexanetriol in water solvent using supported Pt catalysts. Catal. Today 2020, 352, 60–65. [Google Scholar] [CrossRef]
- He, J.; Burt, S.P.; Ball, M.R.; Hermans, I.; Dumesic, J.A.; Huber, G.W. Catalytic C-O bond hydrogenolysis of tetrahydrofuran-dimethanol over metal supported WOx/TiO2 catalysts. Appl. Catal. B Environ. 2019, 258, 117945. [Google Scholar] [CrossRef]
- Xiao, B.; Zheng, M.; Li, X.; Pang, J.; Sun, R.; Wang, H.; Pang, X.; Wang, A.; Wang, X.; Zhang, T. Synthesis of 1,6-hexanediol from HMF over double-layered catalysts of Pd/SiO2 + Ir–ReOx/SiO2 in a fixed-bed reactor. Green Chem. 2016, 18, 2175–2184. [Google Scholar] [CrossRef]
- Tuteja, J.; Choudhary, H.; Nishimura, S.; Ebitani, K. Direct Synthesis of 1,6-Hexanediol from HMF over a Heterogeneous Pd/ZrP Catalyst using Formic Acid as Hydrogen Source. ChemSusChem 2013, 7, 96–100. [Google Scholar] [CrossRef] [PubMed]
- Shao, Y.; Wang, J.; Sun, K.; Gao, G.; Fan, M.; Li, C.; Ming, C.; Zhang, L.; Zhang, S.; Hu, X. Cu-Based Nanoparticles as Catalysts for Selective Hydrogenation of Biomass-Derived 5-Hydroxymethylfurfural to 1,2-Hexanediol. ACS Appl. Nano Mater. 2022, 5, 5882–5894. [Google Scholar] [CrossRef]
- Koso, S.; Nakagawa, Y.; Tomishige, K. Mechanism of the hydrogenolysis of ethers over silica-supported rhodium catalyst modified with rhenium oxide. J. Catal. 2011, 280, 221–229. [Google Scholar] [CrossRef]
- Chia, M.; Pagan-Torres, Y.J.; Hibbitts, D.; Tan, Q.; Pham, H.N.; Datye, A.K.; Neurock, M.; Davis, R.J.; Dumesic, J.A. Selective hydrogenolysis of polyols and cyclic ethers over bifunctional surface sites on rhodium-rhenium catalysts. J. Am. Chem. Soc. 2011, 133, 12675–12689. [Google Scholar] [CrossRef]
- Amada, Y.; Shinmi, Y.; Koso, S.; Kubota, T.; Nakagawa, Y.; Tomishige, K. Reaction mechanism of the glycerol hydrogenolysis to 1,3-propanediol over Ir–ReOx/SiO2 catalyst. Appl. Catal. B Environ. 2011, 105, 117–127. [Google Scholar] [CrossRef]
- Nakagawa, Y.; Mori, K.; Chen, K.; Amada, Y.; Tamura, M.; Tomishige, K. Hydrogenolysis of CO bond over Re-modified Ir catalyst in alkane solvent. Appl. Catal. A Gen. 2013, 468, 418–425. [Google Scholar] [CrossRef]
- Yao, S.; Wang, X.; Jiang, Y.; Wu, F.; Chen, X.; Mu, X. One-Step Conversion of Biomass-Derived 5-Hydroxymethylfurfural to 1,2,6-Hexanetriol Over Ni–Co–Al Mixed Oxide Catalysts Under Mild Conditions. ACS Sustain. Chem. Eng. 2013, 2, 173–180. [Google Scholar] [CrossRef]
- Matsagar, B.M.; Sung, H.-L.; Yeh, J.-Y.; Chen, C.-T.; Wu, K.C.W. One--step hydrogenolysis of 5--hydroxymethylfurfural to 1,2,6--hexanetriol using a Pt@MIL-53-derived Pt@Al2O3 catalyst and NaBH4 in aqueous media. Sustain. Energ. Fuels. 2021, 5, 4087–4094. [Google Scholar] [CrossRef]
- Pomeroy, B.; Grilc, M.; Likozar, B. Process condition-based tuneable selective catalysis of hydroxymethylfurfural (HMF) hydrogenation reactions to aromatic, saturated cyclic and linear poly-functional alcohols over Ni–Ce/Al2O3. Green Chem. 2021, 23, 7996–8002. [Google Scholar] [CrossRef]
- Alamillo, R.; Tucker, M.; Chia, M.; Pagán-Torres, Y.; Dumesic, J. The selective hydrogenation of biomass-derived 5-hydroxymethylfurfural using heterogeneous catalysts. Green Chem. 2012, 14, 1413. [Google Scholar] [CrossRef]
- Cavani, F.; Trifirò, F.; Vaccari, A. Hydrotalcite-type anionic clays: Preparation, properties and applications. Catal. Today 1991, 11, 173–301. [Google Scholar] [CrossRef]
- Bretzler, P.; Huber, M.; Nickl, S.; Köhler, K. Hydrogenation of furfural by noble metal-free nickel modified tungsten carbide catalysts. RSC Adv. 2020, 10, 27323–27330. [Google Scholar] [CrossRef] [PubMed]
- Xue, J.; Mao, W.; Zhao, D.; Li, F. Thermodynamic analysis of hydrogenation of furfuryl alcohol to 1,2-pentanediol. Petrochem. Technol. 2019, 48, 18–22. [Google Scholar]
- Martín, A.J.; Mitchell, S.; Mondelli, C.; Jaydev, S.; Pérez-Ramírez, J. Unifying views on catalyst deactivation. Nat. Catal. 2022, 5, 854–866. [Google Scholar] [CrossRef]



Disclaimer/Publisher’s Note: The statements, opinions and data contained in all publications are solely those of the individual author(s) and contributor(s) and not of MDPI and/or the editor(s). MDPI and/or the editor(s) disclaim responsibility for any injury to people or property resulting from any ideas, methods, instructions or products referred to in the content. |
© 2024 by the authors. Licensee MDPI, Basel, Switzerland. This article is an open access article distributed under the terms and conditions of the Creative Commons Attribution (CC BY) license (https://creativecommons.org/licenses/by/4.0/).
Share and Cite
Gong, Q.; Luo, P.; Li, J.; Su, X.; Cheng, H. Chemical Transformation of Biomass-Derived Furan Compounds into Polyols. Chemistry 2024, 6, 941-961. https://doi.org/10.3390/chemistry6050055
Gong Q, Luo P, Li J, Su X, Cheng H. Chemical Transformation of Biomass-Derived Furan Compounds into Polyols. Chemistry. 2024; 6(5):941-961. https://doi.org/10.3390/chemistry6050055
Chicago/Turabian StyleGong, Qihang, Peikai Luo, Jian Li, Xinluona Su, and Haiyang Cheng. 2024. "Chemical Transformation of Biomass-Derived Furan Compounds into Polyols" Chemistry 6, no. 5: 941-961. https://doi.org/10.3390/chemistry6050055
APA StyleGong, Q., Luo, P., Li, J., Su, X., & Cheng, H. (2024). Chemical Transformation of Biomass-Derived Furan Compounds into Polyols. Chemistry, 6(5), 941-961. https://doi.org/10.3390/chemistry6050055

