Porous Natural Diamond with Embedded Metal (Pt0.50–Co0.50)
Abstract
1. Introduction
2. Materials and Methods
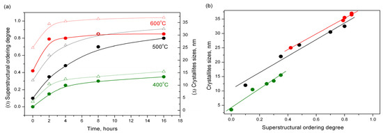
3. Results
4. Discussion
5. Conclusions
Author Contributions
Funding
Data Availability Statement
Conflicts of Interest
References
- Ferrando, R.; Jellinek, J.; Johnston, R.L. Nanoalloys: From theory to applications of alloy clusters and nanoparticles. Chem. Rev. 2008, 108, 845–910. [Google Scholar] [CrossRef] [PubMed]
- Cai, R.; Ellis, P.R.; Yin, J.; Liu, J.; Brown, C.M.; Griffin, R.; Chang, G.; Yang, D.; Ren, J.; Cooke, K.; et al. Performance of Preformed Au/Cu Nanoclusters Deposited on MgO Powders in the Catalytic Reduction of 4-Nitrophenol in Solution. Small 2018, 14, 1703734. [Google Scholar] [CrossRef] [PubMed]
- Zaytsev, S.Y.; Plyusnin, P.E.; Slavinskaya, E.M.; Shubin, Y.V. Synthesis of bimetallic nanocompositions AuxPd1−x/γ-Al2O3 for catalytic CO oxidation. J. Nanopart. Res. 2019, 19, 367. [Google Scholar] [CrossRef]
- Piccolo, L.; Li, Z.Y.; Demiroglu, I.; Moyon, F.; Konuspayeva, Z.; Berhault, G.; Afanasiev, P.; Lefebvre, W.; Yuan, J.; Johnston, R.L. Understanding and controlling the structure and segregation behaviour of AuRh nanocatalysts. Sci. Rep. 2016, 6, 35226. [Google Scholar] [CrossRef] [PubMed]
- Savk, A.; Özdil, B.; Demirkan, B.; Nas, M.S.; Calimli, M.H.; Alma, M.H.; Inamuddin Asiri, A.M.; Şen, F. Multiwalled carbon nanotube-based nanosensor for ultrasensitive detection of uric acid, dopamine, and ascorbic acid. Mater. Sci. Eng. C 2019, 99, 248–254. [Google Scholar] [CrossRef] [PubMed]
- Zhu, X.; Guo, Q.; Sun, Y.; Chen, S.; Wang, J.-Q.; Wu, M.; Fu, W.; Tang, Y.; Duan, X.; Chen, D.; et al. Optimising surface d charge of AuPd nanoalloy catalysts for enhanced catalytic activity. Nat. Commun. 2019, 10, 1428. [Google Scholar] [CrossRef]
- Filatov, E.Y.; Semushina, Y.P.; Gosteva, A.N. Obtaining and catalytic properties investigation of the products of double complex salts [Cr(ur)6][M(L)6] thermal oxidation (M=Co, Fe; L=CN−, 1/2C2O42−). J. Therm. Anal. Calorim. 2018, 134, 355–361. [Google Scholar] [CrossRef]
- Zadesenets, A.V.; Garkul, I.A.; Filatov, E.Y.; Plyusnin, P.E.; Filippov, T.N.; Asanova, T.I.; Korolkov, I.V.; Baidina, I.A.; Asanov, I.P.; Korenev, S.V. Oxalato complexes of Pd(II) with Co(II) and Ni(II) as single-source precursors for bimetallic nanoalloys. J. Therm. Anal. Calorim. 2019, 138, 111–121. [Google Scholar] [CrossRef]
- Potemkin, D.I.; Filatov, E.Y.; Zadesenets, A.V.; Snytnikov, P.V.; Shubin, Y.V.; Sobyanin, V.A. Preferential CO oxidation over bimetallic Pt–Co catalysts prepared via double complex salt decomposition. Chem. Eng. J. 2012, 207–208, 683–689. [Google Scholar] [CrossRef]
- Potemkin, D.I.; Filatov, E.Y.; Zadesenets, A.V.; Sobyanin, V.A. CO preferential oxidation on Pt0.5Co0.5 and Pt-CoOx model catalysts: Catalytic performance and operando XRD studies. Catal. Commun. 2017, 100, 232–236. [Google Scholar] [CrossRef]
- Potemkin, D.I.; Filatov, E.Y.; Zadesenets, A.V.; Rogozhnikov, V.N.; Gerasimov, E.Y.; Snytnikov, P.V.; Korenev, S.V.; Sobyanin, V.A. Bimetallic Pt-Co/η-Al2O3/FeCrAl wire mesh composite catalyst prepared via double complex salt [Pt(NH3)4][Co(C2O4)2(H2O)2]·2H2O decomposition. Mater. Lett. 2019, 236, 109–111. [Google Scholar] [CrossRef]
- Potemkin, D.I.; Konishcheva, M.V.; Zadesenets, A.V.; Snytnikov, P.V.; Filatov, E.Y.; Korenev, S.V.; Sobyanin, V.A. Bimetallic Pt0.5Co0.5/SiO2 Catalyst: Preparation, Structure, and Properties in Preferential Oxidation of Carbon Monoxide. Kinet. Catal. 2019, 59, 514–520. [Google Scholar] [CrossRef]
- Churakova, E.M.; Badmaev, S.D.; Snytnikov, P.V.; Gubanov, A.I.; Filatov, E.Y.; Plyusnin, P.E.; Belyaev, V.D.; Korenev, S.V.; Sobyanin, V.A. Bimetallic Rh–Co/ZrO2 Catalysts for Ethanol Steam Conversion into Hydrogen-Containing Gas. Kinet. Catal. 2010, 51, 893–897. [Google Scholar] [CrossRef]
- Artini, C.; Muolo, M.L.; Passerone, A. Diamond-metal interfaces in cutting tools: A review. J. Mater. Sci. 2012, 47, 3252–3264. [Google Scholar] [CrossRef]
- Field, E.J. (Ed.) The Properties of Natural and Synthetic Diamond; Academic Press: London, UK, 1992; p. 710. [Google Scholar] [CrossRef]
- Hyde, M.E.; Jacobs, R.; Compton, R.G. In Situ AFM Studies of Metal Deposition. J. Phys. Chem. B 2002, 106, 11075–11080. [Google Scholar] [CrossRef]
- Fujishima, A.; Einaga, Y.; Rao, T.N.; Tryk, D.A. Diamond Electrochemistry; Elsevier Amsterdam-BKC: Tokyo, Japan, 2005; p. 586. [Google Scholar]
- Salazar-Banda, G.R.; Suffredini, H.B.; Avaca, L.A. Improved Stability of PtOx Sol-Gel-Modified Diamond Electrodes Covered with a Nafion® Film. J. Bras. Chem. Soc. 2005, 16, 903–906. [Google Scholar] [CrossRef]
- Welch, C.M.; Hyde, M.E.; Banks, C.E.; Compton, R.G. The Detection of Nitrate Using In-Situ Copper Nanoparticle Deposition at a Boron Doped Diamond Electrode. Anal. Sci. 2005, 21, 1421–1430. [Google Scholar] [CrossRef]
- Simm, A.O.; Ji, X.; Banks, C.E.; Hyde, M.E.; Compton, R.G. AFM studies of metal deposition: Instantaneous nucleation and the growth of cobalt nanoparticles on boron-doped diamond electrodes. ChemPhysChem 2006, 7, 704–709. [Google Scholar] [CrossRef]
- Siné, G.; Duo, I.; El Roustom, B.; Fóti, G.; Comninellis, C. Deposition of clusters and nanoparticles onto boron-doped diamond electrodes for electrocatalysis. J. Appl. Electrochem. 2006, 36, 847–862. [Google Scholar] [CrossRef]
- Siné, G.; Fóti, G.; Comninellis, C. Boron-doped diamond (BDD)-supported Pt/Sn nanoparticles synthesized in microemulsion systems as electrocatalysts of ethanol oxidation. J. Electroanal. Chem. 2006, 595, 115–124. [Google Scholar] [CrossRef]
- La-Torre-Riveros, L.; Abel-Tatis, E.; Méndez-Torres, A.E.; Tryk, D.A.; Prelas, M.; Cabrera, C.R. Synthesis of platinum and platinum–ruthenium-modified diamond nanoparticles. J. Nanopart. Res. 2011, 13, 2997–3009. [Google Scholar] [CrossRef]
- Masuda, H.; Watanabe, M.; Yasui, K.; Tryk, D.A.; Rao, T.N.; Fujishima, A. Fabrication of a nanostructured diamond honeycomb film. Adv. Mater. 2000, 12, 444–447. [Google Scholar] [CrossRef]
- Honda, K.; Rao, T.N.; Tryk, D.A.; Fujishima, A.; Watanabe, M.; Yasui, K.; Masuda, H. Fabrication of through-hole diamond membranes by plasma etching using anodic porous alumina mask. Electrochem. Solid State 2001, 4, 101–103. [Google Scholar] [CrossRef]
- Li, C.Y.; Hatta, A. Electronic and structural properties on nanowhiskers fabricated on iron coated diamond films by radio frequency O2 plasma etching. J. New Mater. Electrochem. Syst. 2007, 10, 221–224. [Google Scholar]
- Kuroshima, H.; Makino, T.; Yamasaki, S.; Matsumoto, T.; Inokuma, T.; Tokuda, N. Mechanism of anisotropic etching on diamond (111) surfaces by a hydrogen plasma treatment. Appl. Surf. Sci. 2017, 422, 452–455. [Google Scholar] [CrossRef]
- Ralchenko, V.G.; Kononenko, T.V.; Pimenov, S.M.; Chernenko, N.V.; Loubnin, E.N.; Armeyev, V.Y.; Zlobin, A.Y. Catalytic interaction of Fe, Ni and Pt with diamond films: Patterning applications. Diam. Relat. Mater. 1993, 2, 904–909. [Google Scholar] [CrossRef]
- Sonin, V.M.; Chepurov, A.I.; Fedorov, I.I. The action of iron particles at catalyzed hydrogenation of {100} and {110} faces of synthetic diamond. Diam. Relat. Mater. 2003, 12, 1559–1562. [Google Scholar] [CrossRef]
- Ohashi, T.; Sugimoto, W.; Takasu, Y. Catalytic etching of {100}-oriented diamond coating with Fe, Co, Ni, and Pt nanoparticles under hydrogen. Diam. Relat. Mater. 2011, 20, 1165–1170. [Google Scholar] [CrossRef]
- Chepurov, A.; Sonin, V.; Shcheglov, D.; Latyshev, A.; Filatov, E.; Yelisseyev, A. A highly porous surface of synthetic monocrystalline diamond: Effect of etching by Fe nanoparticles in hydrogen atmosphere. Int. J. Refract. Met. Hard Mater. 2018, 76, 12–15. [Google Scholar] [CrossRef]
- Chepurov, A.I.; Sonin, V.M.; Dereppe, J.-M. The channeling action of iron particles in the catalyzed hydrogenation of synthetic diamond. Diam. Relat. Mater. 2000, 9, 1435–1438. [Google Scholar] [CrossRef]
- Chepurov, A.I.; Sonin, V.M.; Shamaev, P.P. Using catalytic hydrogenolysis for brazing diamond tools. Weld. Int. 2002, 16, 978–980. [Google Scholar] [CrossRef]
- Chepurov, A.I.; Sonin, V.M.; Shamaev, P.P.; Yelisseyev, A.P.; Fedorov, I.I. The action of iron particles at catalyzed hydrogenation of natural diamond. Diam. Relat. Mater. 2002, 11, 1592–1596. [Google Scholar] [CrossRef]
- Chepurov, A.; Sonin, V.; Shcheglov, D.; Zhimulev, E.; Sitnikov, S.; Yelisseyev, A.; Chepurov, A. Surface Porosity of Natural Diamond Crystals after the Catalytic Hydrogenation. Crystals 2021, 11, 1341. [Google Scholar] [CrossRef]
- Zadesenets, A.V.; Filatov, E.Y.; Plyusnin, P.E.; Asanova, T.I.; Baidina, I.A.; Slyakhova, E.V.; Asanov, I.P.; Korenev, S.V. Complex salts of Pd(II) and Pt(II) with Co(II) and Ni(II) aqua-cations as single-source precursors for bimetallic nanoalloys and mixed oxides. New J. Chem. 2018, 42, 8843–8850. [Google Scholar] [CrossRef]
- Prescher, C.; Prakapenka, V.B. DIOPTAS: A program for reduction of two-dimensional X-ray diffraction data and data exploration. High Press. Res. 2015, 35, 223–230. [Google Scholar] [CrossRef]
- International Centre for Diffraction Data. Powder Diffraction File, PDF-2/Release 2010; International Centre for Diffraction Data: Newtown Square, PA, USA, 2010. [Google Scholar]
- Fashinformationszentrum Karlsruhe. Inorganic Crystal Structure Database/ICSD, Release 2018; Fashinformationszentrum Karlsruhe: Eggenstein-Leopoldshafen, Germany, 2018. [Google Scholar]
- Kraus, W.; Nolze, G. PowderCell 2.4; Federal Institute for Materials Research and Testing: Berlin, Germany, 2000.
- Zadesenets, A.; Filatov, E.; Plyusnin, P.; Baidina, I.; Dalezky, V.; Shubin, Y.; Korenev, S.; Bogomyakov, A. Bimetallic single-source precursors [M(NH3)4][Co(C2O4)2(H2O)2]·2H2O (M = Pd, Pt) for the one run synthesis of CoPd and CoPt magnetic nanoalloys. Polyhedron 2011, 30, 1305–1312. [Google Scholar] [CrossRef]
- Komogortsev, S.V.; Chizhik, N.A.; Filatov, E.Y.; Korenev, S.V.; Shubin, Y.V.; Velikanov, D.A.; Iskhakov, R.S.; Yurkin, G.Y. Magnetic properties and L10 phase formation in CoPt nanoparticles. Solid State Phenom. 2012, 190, 159–162. [Google Scholar] [CrossRef]
- Komogortsev, S.V.; Iskhakov, R.S.; Zimin, A.A.; Filatov, E.Y.; Korenev, S.V.; Shubin, Y.V.; Chizhik, N.A.; Yurkin, G.Y.; Eremin, E.V. The exchange interaction effects on magnetic properties of the nanostructured CoPt particles. J. Magn. Magn. Mater. 2016, 401, 236–241. [Google Scholar] [CrossRef]
- Chepurov, A.I.; Sonin, V.M.; Chepurov, A.A.; Zhimulev, E.I.; Tolochko, B.P.; Yelisseyev, V.S. Interaction of diamond with ultrafine Fe powders prepared by different procedures. Inorg. Mater. 2011, 47, 864–868. [Google Scholar] [CrossRef]
- Sonin, V.M. Interaction of fine Fe particles with structural defects on {111} faces of synthetic diamond crystals in a hydrogen atmosphere. Inorg. Mater. 2004, 40, 20–22. [Google Scholar] [CrossRef]
- Komogortsev, S.V.; Iskhakov, R.S.; Zimin, A.A.; Filatov, E.Y.; Korenev, S.V.; Shubin, Y.V.; Chizhik, N.A.; Yurkin, G.Y.; Eremin, E.V. Magnetic anisotropy and order parameter in nanostructured CoPt particles. Appl. Phys. Lett. 2013, 103, 152104. [Google Scholar] [CrossRef]
- Smith, E.M.; Shirey, S.B.; Nestola, F.; Bullock, E.S.; Wang, J.; Richardson, S.H.; Wang, W. Large gem diamonds from metallic liquid in Earth’s deep mantle. Science 2016, 354, 1403–1405. [Google Scholar] [CrossRef] [PubMed]
- Nestola, F. Inclusions in super-deep diamonds: Windows on the very deep Earth. Rend. Lincei Sci. Fis. E Nat. 2017, 28, 595–604. [Google Scholar] [CrossRef]
- Daver, L.; Bureau, H.; Boulard, E.; Gaillou, E.; Cartigny, P.; Pinti, D.L.; Belhadj, O.; Guignot, N.; Foy, E.; Estève, I.; et al. From the lithosphere to the lower mantle: An aqueous-rich metal-bearing growth environment to form type IIb blue diamonds. Chem. Geol. 2022, 613, 121163. [Google Scholar] [CrossRef]
- Afanasiev, V.; Ugapeva, S.; Babich, Y.; Sonin, V.; Logvinova, A.; Yelisseyev, A.; Goryainov, S.; Agashev, A.; Ivanova, O. Growth story of one diamonds: A window to the lithospheric mantle. Minerals 2022, 12, 1048. [Google Scholar] [CrossRef]
- Sonin, V.M.; Zhimulev, E.I.; Pomazanskiy, B.S.; Zemnuhov, A.L.; Chepurov, A.A.; Afanasiev, V.P.; Chepurov, A.I. Morphological features of diamond crystals dissolved in Fe0.7S0.3 melt at 4 GPa and 1400 degrees C. Geol. Ore Depos. 2018, 60, 82–92. [Google Scholar] [CrossRef]
- Chepurov, A.I.; Sonin, V.M.; Zhimulev, E.I.; Chepurov, A.A.; Pomazansky, B.S.; Zemnukhov, A.L. Dissolution of diamond crystals in a heterogeneous (metal-sulfide-silicate) medium at 4 GPa and 1400 °C. J. Mineral. Petrol. Sci. 2018, 113, 59–67. [Google Scholar] [CrossRef]
- Chepurov, A.A.; Dereppe, J.M.; Fedorov, I.I.; Chepurov, A.I. The change of Fe-Ni alloy inclusions in synthetic diamond crystals due to annealing. Diam. Relat. Mater. 2000, 9, 1374–1379. [Google Scholar] [CrossRef]
- Fedorov, I.I.; Chepurov, A.I.; Chepurov, A.A.; Kuroedov, A.V. Estimation of the rate of postcrystallization self-purification of diamond from metal inclusions in the earth’s mantle. Geochem. Int. 2005, 43, 1235–1239. [Google Scholar]
- Zhimulev, E.I.; Chepurov, A.I.; Sonin, V.M.; Litasov, K.D.; Chepurov, A.A. Experimental modeling of percolation of molten iron through polycrystalline olivine matrix at 2.0–5.5 GPa and 1600 °C. High Press. Res. 2018, 38, 153–164. [Google Scholar] [CrossRef]
- Stachel, T.; Harris, J.W. The origin of cratonic diamonds—Constraints from mineral inclusions. Ore Geol. Rev. 2008, 34, 5–32. [Google Scholar] [CrossRef]
- Fedorov, I.I.; Chepurov, A.I.; Sonin, V.M.; Chepurov, A.A.; Logvinova, A.M. Experimental and thermodynamic study of the crystallization of diamond and silicates in a metal-silicate-carbon system. Geochem. Int. 2008, 46, 340–350. [Google Scholar] [CrossRef]






Disclaimer/Publisher’s Note: The statements, opinions and data contained in all publications are solely those of the individual author(s) and contributor(s) and not of MDPI and/or the editor(s). MDPI and/or the editor(s) disclaim responsibility for any injury to people or property resulting from any ideas, methods, instructions or products referred to in the content. |
© 2023 by the authors. Licensee MDPI, Basel, Switzerland. This article is an open access article distributed under the terms and conditions of the Creative Commons Attribution (CC BY) license (https://creativecommons.org/licenses/by/4.0/).
Share and Cite
Filatov, E.; Chepurov, A.; Sonin, V.; Zadesenets, A.; Gromilov, S.; Zhimulev, E. Porous Natural Diamond with Embedded Metal (Pt0.50–Co0.50). Chemistry 2023, 5, 1804-1814. https://doi.org/10.3390/chemistry5030123
Filatov E, Chepurov A, Sonin V, Zadesenets A, Gromilov S, Zhimulev E. Porous Natural Diamond with Embedded Metal (Pt0.50–Co0.50). Chemistry. 2023; 5(3):1804-1814. https://doi.org/10.3390/chemistry5030123
Chicago/Turabian StyleFilatov, Evgeny, Aleksei Chepurov, Valeri Sonin, Andrey Zadesenets, Sergey Gromilov, and Egor Zhimulev. 2023. "Porous Natural Diamond with Embedded Metal (Pt0.50–Co0.50)" Chemistry 5, no. 3: 1804-1814. https://doi.org/10.3390/chemistry5030123
APA StyleFilatov, E., Chepurov, A., Sonin, V., Zadesenets, A., Gromilov, S., & Zhimulev, E. (2023). Porous Natural Diamond with Embedded Metal (Pt0.50–Co0.50). Chemistry, 5(3), 1804-1814. https://doi.org/10.3390/chemistry5030123

