Fast Initiating Furan-Containing Hoveyda-Type Complexes: Synthesis and Applications in Metathesis Reactions
Abstract
:1. Introduction
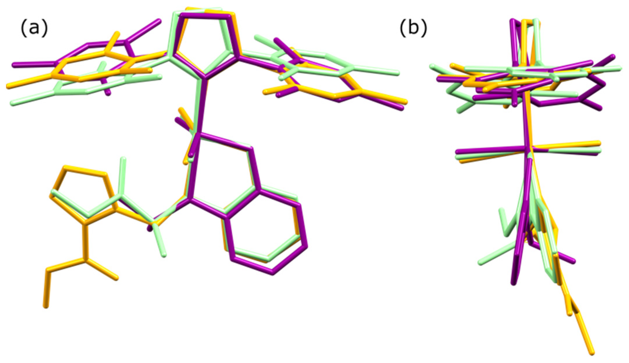
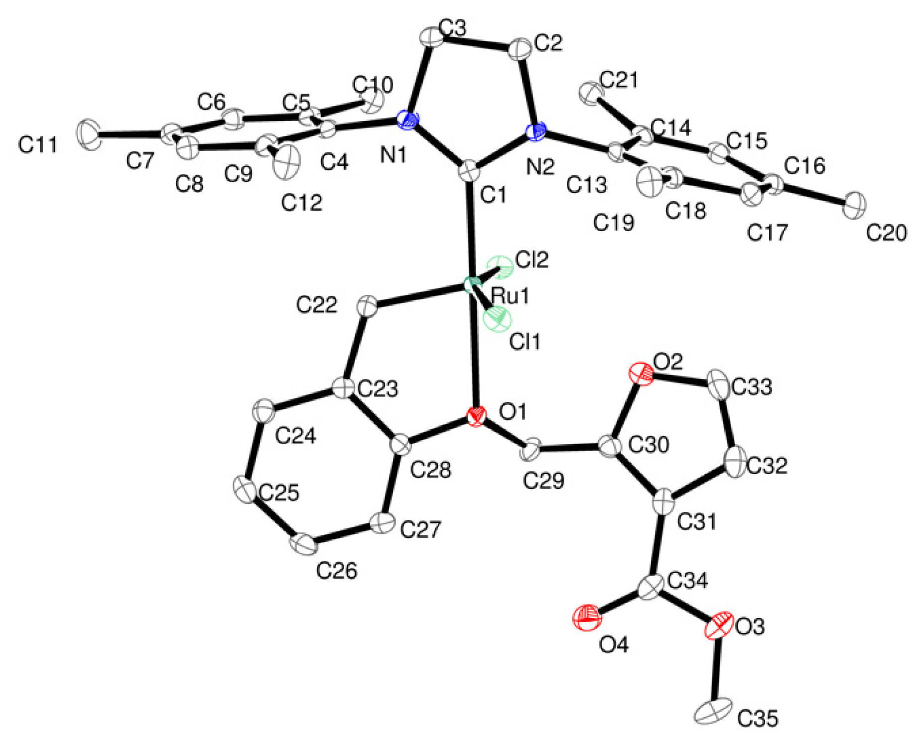
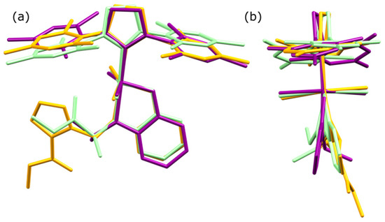
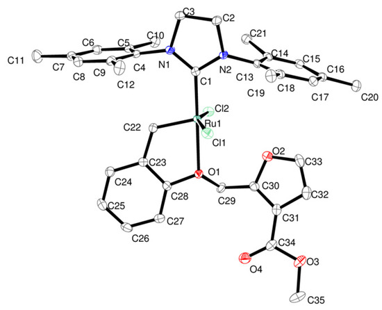
2. Results
3. Conclusions
Supplementary Materials
Author Contributions
Funding
Data Availability Statement
Acknowledgments
Conflicts of Interest
References and Notes
- Grela, K. (Ed.) Olefin Metathesis: Theory and Practice; John Wiley & Sons, Inc.: Hoboken, NJ, USA, 2014. [Google Scholar]
- Grubbs, R.H.; Wenzel, A.G.; O’Leary, D.J.; Khosravi, E. (Eds.) Handbook of Metathesis; Wiley-VCH: Weinheim, Germany, 2015. [Google Scholar]
- Hérisson, P.J.-L.; Chauvin, Y. Catalyse de Transformation des Oléfines par Les Complexes du Tungstène. II. Télomérisation des Oléfines Cycliques en Présence D’oléfines Acycliques. Makromol. Chem. 1971, 141, 161–176. [Google Scholar] [CrossRef]
- Schwab, P.; Grubbs, R.H.; Ziller, J.W. Synthesis and Applications of RuCl2(CHR’)(PR3)2: The Influence of the Alkylidene Moiety on Metathesis Activity. J. Am. Chem. Soc. 1996, 118, 100–110. [Google Scholar] [CrossRef]
- Harrity, J.P.A.; La, D.S.; Cefalo, D.R.; Visser, M.S.; Hoveyda, A.H. Chromenes through Metal-Catalyzed Reactions of Styrenyl Ethers. Mechanism and Utility in Synthesis. J. Am. Chem. Soc. 1998, 120, 2343–2351. [Google Scholar] [CrossRef]
- Schrock, R.R.; Murdzek, J.S.; Bazan, G.C.; Robbins, J.; DiMare, M.; O’Regan, M. Synthesis of molybdenum imido alkylidene complexes and some reactions involving acyclic olefins. J. Am. Chem. Soc. 1990, 112, 3875–3886. [Google Scholar] [CrossRef]
- Schrock, R.R.; Hoveyda, A.H. Molybdenum and Tungsten Imido Alkylidene Complexes as Efficient Olefin-Metathesis Catalysts. Angew. Chem. Int. Ed. 2003, 42, 4592–4633. [Google Scholar] [CrossRef] [PubMed]
- Samojłowicz, C.; Bieniek, M.; Grela, K. Ruthenium-Based Olefin Metathesis Catalysts Bearing N-Heterocyclic Carbene Ligands. Chem. Rev. 2009, 109, 3708–3742. [Google Scholar] [CrossRef]
- Vougioukalakis, G.C.; Grubbs, R.H. Ruthenium-Based Heterocyclic Carbene-Coordinated Olefin Metathesis Catalysts. Chem. Rev. 2009, 110, 1746–1787. [Google Scholar] [CrossRef]
- Monsigny, L.; Kajetanowicz, A.; Grela, K. Ruthenium Complexes Featuring Unsymmetrical N-Heterocyclic Carbene Ligands–Useful Olefin Metathesis Catalysts for Special Tasks. Chem. Rec. 2021, 21, 3648–3661. [Google Scholar] [CrossRef]
- Morvan, J.; Mauduit, M.; Bertrand, G.; Jazzar, R. Cyclic (Alkyl)(amino)carbenes (CAACs) in Ruthenium Olefin Metathesis. ACS Catal. 2021, 11, 1714–1748. [Google Scholar] [CrossRef]
- Kajetanowicz, A.; Grela, K. Nitro and Other Electron Withdrawing Group Activated Ruthenium Catalysts for Olefin Metathesis Reactions. Angew. Chem. Int. Ed. 2021, 60, 13738–13756. [Google Scholar] [CrossRef]
- Olszewski, T.K.; Bieniek, M.; Skowerski, K.; Grela, K. A New Tool in the Toolbox: Electron-Withdrawing Group Activated Ruthenium Catalysts for Olefin Metathesis. Synlett 2013, 24, 903–919. [Google Scholar] [CrossRef]
- Wakamatsu, H.; Blechert, S. A New Highly Efficient Ruthenium Metathesis Catalyst. Angew. Chem. Int. Ed. 2002, 41, 2403–2405. [Google Scholar] [CrossRef]
- Ben-Asuly, A.; Tzur, E.; Diesendruck, C.E.; Sigalov, M.; Goldberg, I.; Lemcoff, N.G. A Thermally Switchable Latent Ruthenium Olefin Metathesis Catalyst. Organometallics 2008, 27, 811–813. [Google Scholar] [CrossRef]
- Szadkowska, A.; Makal, A.; Woźniak, K.; Kadyrov, R.; Grela, K. Ruthenium Olefin Metathesis Initiators Bearing Chelating Sulfoxide Ligands. Organometallics 2009, 28, 2693–2700. [Google Scholar] [CrossRef]
- Tzur, E.; Szadkowska, A.; Ben-Asuly , A.; Makal, A.; Goldberg, I.; Woźniak, K.; Grela , K.; Lemcoff, N.G. Studies on Electronic Effects in O-, N- and S-Chelated Ruthenium Olefin-Metathesis Catalysts. Chem. Eur. J. 2010, 16, 8726–8737. [Google Scholar] [CrossRef]
- Monsigny, L.; Cejas Sánchez, J.; Piątkowski, J.; Kajetanowicz, A.; Grela, K. Synthesis and Catalytic Properties of a Very Latent Selenium-Chelated Ruthenium Benzylidene Olefin Metathesis Catalyst. Organometallics 2021, 40, 3608–3616. [Google Scholar] [CrossRef] [PubMed]
- Diesendruck, C.E.; Tzur, E.; Ben-Asuly, A.; Goldberg, I.; Straub, B.F.; Lemcoff, N.G. Predicting the Cis−Trans Dichloro Configuration of Group 15−16 Chelated Ruthenium Olefin Metathesis Complexes: A DFT and Experimental Study. Inorg. Chem. 2009, 48, 10819–10825. [Google Scholar] [CrossRef]
- Żukowska, K.; Szadkowska, A.; Pazio, A.E.; Woźniak, K.; Grela, K. Thermal Switchability of N-Chelating Hoveyda-type Catalyst Containing a Secondary Amine Ligand. Organometallics 2012, 31, 462–469. [Google Scholar] [CrossRef]
- Barbasiewicz, M.; Szadkowska, A.; Bujok, R.; Grela, K. Structure and Activity Peculiarities of Ruthenium Quinoline and Quinoxaline Complexes: Novel Metathesis Catalysts. Organometallics 2006, 25, 3599–3604. [Google Scholar] [CrossRef]
- Polyanskii, K.B.; Alekseeva, K.A.; Raspertov, P.V.; Kumandin, P.A.; Nikitina, E.V.; Gurbanov, A.V.; Zubkov, F.I. Hoveyda–Grubbs catalysts with an N→Ru coordinate bond in a six-membered ring. Synthesis of stable, industrially scalable, highly efficient ruthenium metathesis catalysts and 2-vinylbenzylamine ligands as their precursors. Beilstein J. Org. Chem. 2019, 15, 769–779. [Google Scholar] [CrossRef]
- Eivgi, O.; Phatake, R.S.; Nechmad, N.B.; Lemcoff, N.G. Light-Activated Olefin Metathesis: Catalyst Development, Synthesis, and Applications. Acc. Chem. Res. 2020, 53, 2456–2471. [Google Scholar] [CrossRef]
- Ivry, E.; Frenklah, A.; Ginzburg, Y.; Levin, E.; Goldberg, I.; Kozuch, S.; Lemcoff, N.G.; Tzur, E. Light- and Thermal-Activated Olefin Metathesis of Hindered Substrates. Organometallics 2018, 37, 176–181. [Google Scholar] [CrossRef]
- Kingsbury, J.S.; Harrity, J.P.A.; Bonitatebus, P.J.; Hoveyda, A.H. A Recyclable Ru-Based Metathesis Catalyst. J. Am. Chem. Soc. 1999, 121, 791–799. [Google Scholar] [CrossRef]
- Ferré-Filmon, K.; Delaude, L.; Demonceau, A.; Noels, A.F. Stereoselective Synthesis of (E)-Hydroxystilbenoids by Ruthenium-Catalyzed Cross-Metathesis. Eur. J. Org. Chem. 2005, 2005, 3319–3325. [Google Scholar] [CrossRef]
- Kos, P.; Savka, R.; Plenio, H. Fast Olefin Metathesis: Synthesis of 2-Aryloxy-Substituted Hoveyda-Type Complexes and Application in Ring-Closing Metathesis. Adv. Synth. Catal. 2013, 355, 439–447. [Google Scholar] [CrossRef]
- Xu, Y.; Wong, J.J.; Samkian, A.E.; Ko, J.H.; Chen, S.; Houk, K.N.; Grubbs, R.H. Efficient Z-Selective Olefin-Acrylamide Cross-Metathesis Enabled by Sterically Demanding Cyclometalated Ruthenium Catalysts. J. Am. Chem. Soc. 2020, 142, 20987–20993. [Google Scholar] [CrossRef]
- Xu, Y.; Gan, Q.; Samkian, A.E.; Ko, J.H.; Grubbs, R.H. Bulky Cyclometalated Ruthenium Nitrates for Challenging Z-Selective Metathesis: Efficient One-Step Access to α-Oxygenated Z-Olefins from Acrylates and Allyl Alcohols. Angew. Chem. Int. Ed. 2022, 61, e202113089. [Google Scholar] [CrossRef]
- Engle, K.M.; Lu, G.; Luo, S.-X.; Henling, L.M.; Takase, M.K.; Liu, P.; Houk, K.N.; Grubbs, R.H. Origins of Initiation Rate Differences in Ruthenium Olefin Metathesis Catalysts Containing Chelating Benzylidenes. J. Am. Chem. Soc. 2015, 137, 5782–5792. [Google Scholar] [CrossRef] [Green Version]
- Gregg, Z.R.; Griffiths, J.R.; Diver, S.T. Conformational Control of Initiation Rate in Hoveyda–Grubbs Precatalysts. Organometallics 2018, 37, 1526–1533. [Google Scholar] [CrossRef]
- Zieliński, A.; Szczepaniak, G.; Gajda, R.; Woźniak, K.; Trzaskowski, B.; Vidović, D.; Kajetanowicz, A.; Grela, K. Ruthenium Olefin Metathesis Catalysts Systematically Modified in Chelating Benzylidene Ether Fragment: Experiment and Computations. Eur. J. Inorg. Chem. 2018, 2018, 3675–3685. [Google Scholar] [CrossRef]
- Bieniek, M.; Bujok, R.; Cabaj, M.; Lugan, N.; Lavigne, G.; Arlt, D.; Grela, K. Advanced Fine-Tuning of Grubbs/Hoveyda Olefin Metathesis Catalysts: A Further Step toward an Optimum Balance between Antinomic Properties. J. Am. Chem. Soc. 2006, 128, 13652–13653. [Google Scholar] [CrossRef] [PubMed]
- Bieniek, M.; Samojłowicz, C.; Sashuk, V.; Bujok, R.; Śledź, P.; Lugan, N.; Lavigne, G.; Arlt, D.; Grela, K. Rational Design and Evaluation of Upgraded Grubbs/Hoveyda Olefin Metathesis Catalysts: Polyfunctional Benzylidene Ethers on the Test Bench. Organometallics 2011, 30, 4144–4158. [Google Scholar] [CrossRef]
- Guidone, S.; Blondiaux, E.; Samojłowicz, C.; Gułajski, Ł.; Kędziorek, M.; Malińska, M.; Pazio, A.; Woźniak, K.; Grela, K.; Doppiu, A.; et al. Catalytic and Structural Studies of Hoveyda–Grubbs Type Pre-Catalysts Bearing Modified Ether Ligands. Adv. Synth. Catal. 2012, 354, 2734–2742. [Google Scholar] [CrossRef]
- Gawin, R.; Makal, A.; Woźniak, K.; Mauduit, M.; Grela, K. A Dormant Ruthenium Catalyst Bearing a Chelating Carboxylate Ligand: In Situ Activation and Application in Metathesis Reactions. Angew. Chem. Int. Ed. 2007, 46, 7206–7209. [Google Scholar] [CrossRef] [PubMed]
- Gawin, R.; Czarnecka, P.; Grela, K. Ruthenium Catalysts Bearing Chelating Carboxylate Ligands: Application to Metathesis Reactions in Water. Tetrahedron 2010, 66, 1051–1056. [Google Scholar] [CrossRef]
- Skowerski, K.; Kasprzycki, P.; Bieniek, M.; Olszewski, T.K. Efficient, durable and reusable olefin metathesis catalysts with high affinity to silica gel. Tetrahedron 2013, 69, 7408–7415. [Google Scholar] [CrossRef]
- Zhang, Y.; Shao, M.; Zhang, H.; Li, Y.; Liu, D.; Cheng, Y.; Liu, G.; Wang, J. Synthesis and reactivity of oxygen chelated ruthenium carbene metathesis catalysts. J. Organomet. Chem. 2014, 756, 1–9. [Google Scholar] [CrossRef]
- Jatmika, C.; Goshima, K.; Wakabayashi, K.; Akiyama, N.; Hirota, S.; Matsuo, T. Second-coordination sphere effects on the reactivities of Hoveyda–Grubbs-type catalysts: A ligand exchange study using phenolic moiety-functionalized ligands. Dalton Trans. 2020, 49, 11618–11627. [Google Scholar] [CrossRef]
- Al-Enezi, M.Y.; John, E.; Ibrahim, Y.A.; Al-Awadi, N.A. Highly efficient Ru(II)-alkylidene based Hoveyda–Grubbs catalysts for ring-closing metathesis reactions. RSC Adv. 2021, 11, 37866–37876. [Google Scholar] [CrossRef]
- Thurier, C.; Fischmeister, C.; Bruneau, C.; Olivier-Bourbigou, H.; Dixneuf, P.H. Ionic imidazolium containing ruthenium complexes and olefin metathesis in ionic liquids. J. Mol. Catal. A Chem. 2007, 268, 127–133. [Google Scholar] [CrossRef]
- Varray, S.; Lazaro, R.; Martinez, J.; Lamaty, F. New Soluble-Polymer Bound Ruthenium Carbene Catalysts: Synthesis, Characterization, and Application to Ring-Closing Metathesis. Organometallics 2003, 22, 2426–2435. [Google Scholar] [CrossRef]
- Consorti, C.S.; Aydos, G.L.P.; Ebeling, G.; Dupont, J. On the Immobilization of Ruthenium Metathesis Catalysts in Imidazolium Ionic Liquids. Organometallics 2009, 28, 4527–4533. [Google Scholar] [CrossRef]
- Lee, S.; Shin, J.Y.; Lee, S.-G. Imidazolium-Salt-Functionalized Ionic-CNT-Supported Ru Carbene/Palladium Nanoparticles for Recyclable Tandem Metathesis/Hydrogenation Reactions in Ionic Liquids. Chem. Asian J. 2013, 8, 1990–1993. [Google Scholar] [CrossRef] [PubMed]
- Michrowska, A.; Grela, K. Quest for the ideal olefin metathesis catalyst. Pure Appl. Chem. 2008, 80, 31–43. [Google Scholar] [CrossRef]
- Gladysz, J.A. Recoverable catalysts. Ultimate goals, criteria of evaluation, and the green chemistry interface. Pure Appl. Chem. 2001, 73, 1319–1324. [Google Scholar] [CrossRef] [Green Version]
- Barbasiewicz, M.; Bieniek, M.; Michrowska, A.; Szadkowska, A.; Makal, A.; Woźniak, K.; Grela, K. Probing of the Ligand Anatomy: Effects of the Chelating Alkoxy Ligand Modifications on the Structure and Catalytic Activity of Ruthenium Carbene Complexes. Adv. Synth. Catal. 2007, 349, 193–203. [Google Scholar] [CrossRef]
- Grela, K.; Harutyunyan, S.; Michrowska, A. A Highly Efficient Ruthenium Catalyst for Metathesis Reactions. Angew. Chem. Int. Ed. 2002, 41, 4038–4040. [Google Scholar] [CrossRef] [Green Version]
- Aversa, A.; Pili, M.; Francomano, D.; Bruzziches, R.; Spera, E.; La Pera, G.; Spera, G. Effects of vardenafil administration on intravaginal ejaculatory latency time in men with lifelong premature ejaculation. Int. J. Impot. Res. 2009, 21, 221–227. [Google Scholar] [CrossRef] [Green Version]
- Nienałtowski, T.; Szczepanik, P.; Małecki, P.; Czajkowska-Szczykowska, D.; Czarnocki, S.; Pawłowska, J.; Kajetanowicz, A.; Grela, K. Large-Scale Synthesis of a Niche Olefin Metathesis Catalyst Bearing an Unsymmetrical N-Heterocyclic Carbene (NHC) Ligand and its Application in a Green Pharmaceutical Context. Chem. Eur. J. 2020, 26, 15708–15717. [Google Scholar] [CrossRef]
- Khatuya, H. On the bromination of methyl 2-methyl-3-furoate. Tetrahedron Lett. 2001, 42, 2643–2644. [Google Scholar] [CrossRef]
- Szczepaniak, G.; Urbaniak, K.; Wierzbicka, C.; Kosiński, K.; Skowerski, K.; Grela, K. High-Performance Isocyanide Scavengers for Use in Low-Waste Purification of Olefin Metathesis Products. ChemSusChem 2015, 8, 4139–4148. [Google Scholar] [CrossRef] [PubMed] [Green Version]
- APEXII-2008v1.0 Bruker Nonius 2007.
- SAINT V7.34A Bruker Nonius 2007.
- SADABS-2004/1 Bruker Nonius area detector scaling and absorption correction, 2007.
- Sheldrick, G. Phase annealing in SHELX-90: Direct methods for larger structures. Acta Crystallogr. A 1990, A46, 467–473. [Google Scholar] [CrossRef]
- Sheldrick, G.M. SHELXL93. Program for the Refinement of Crystal Structures; University of Göttingen: Göttingen, Germany, 1997. [Google Scholar]
- Wilson, A.J.C. (Ed.) International Tables for Crystallography; Kluwer: Dordrecht, The Netherlands, 1992. [Google Scholar]








| Entry | Substrate | Product | Catalyst (mol%) | Temp (°C) | Time (min) | Yield (%) a |
|---|---|---|---|---|---|---|
| 1 | ![]() | ![]() | Ru10 (1.0) Ru16 (1.0) Ru17 (1.0) Ru10 (0.2) Ru16 (0.2) Ru17 (0.2) Ru10 (0.5) | 23 23 23 23 23 23 23 | 90 10 30 120 90 90 120 | (92) (97) (100) (40) (59) (60) (49) |
| 2 | ![]() | ![]() | Ru10 (0.5) Ru16 (0.2) Ru17 (0.2) | 23 23 23 | 120 120 120 | 49 85 96 |
| 3 | ![]() | ![]() | Ru10 (0.2) Ru16 (0.2) Ru17 (0.2) Ru10 (1.0) Ru16 (1.0) Ru17 (1.0) | 23 23 23 23 23 23 | 120 15 120 90 10 90 | (100) (92) (98) (100) (100) (100) |
| 4 b | ![]() | ![]() | Ru10 (1.0) Ru16 (1.0) Ru17 (1.0) | 30 30 30 | 60 60 60 | 70 91 79 |
| 5 c | ![]() | ![]() | Ru10 (1.0) Ru16 (1.0) Ru17 (1.0) | 23 23 23 | 120 120 120 | 93 97 98 |
Publisher’s Note: MDPI stays neutral with regard to jurisdictional claims in published maps and institutional affiliations. |
© 2022 by the authors. Licensee MDPI, Basel, Switzerland. This article is an open access article distributed under the terms and conditions of the Creative Commons Attribution (CC BY) license (https://creativecommons.org/licenses/by/4.0/).
Share and Cite
Nadirova, M.; Zieliński, A.; Malinska, M.; Kajetanowicz, A. Fast Initiating Furan-Containing Hoveyda-Type Complexes: Synthesis and Applications in Metathesis Reactions. Chemistry 2022, 4, 786-795. https://doi.org/10.3390/chemistry4030056
Nadirova M, Zieliński A, Malinska M, Kajetanowicz A. Fast Initiating Furan-Containing Hoveyda-Type Complexes: Synthesis and Applications in Metathesis Reactions. Chemistry. 2022; 4(3):786-795. https://doi.org/10.3390/chemistry4030056
Chicago/Turabian StyleNadirova, Maryana, Adam Zieliński, Maura Malinska, and Anna Kajetanowicz. 2022. "Fast Initiating Furan-Containing Hoveyda-Type Complexes: Synthesis and Applications in Metathesis Reactions" Chemistry 4, no. 3: 786-795. https://doi.org/10.3390/chemistry4030056
APA StyleNadirova, M., Zieliński, A., Malinska, M., & Kajetanowicz, A. (2022). Fast Initiating Furan-Containing Hoveyda-Type Complexes: Synthesis and Applications in Metathesis Reactions. Chemistry, 4(3), 786-795. https://doi.org/10.3390/chemistry4030056











