Previous Article in Journal
Agricultural Drought Hazard Using Satellite-Based Indices for Drought Risk Mapping in Koel River Basin (India) Through Geospatial Technologies
Previous Article in Special Issue
Seismic Assessment of Concrete Gravity Dam via Finite Element Modelling
 
 
Font Type:
Arial Georgia Verdana
Font Size:
Aa Aa Aa
Line Spacing:
Column Width:
Background:
Article

Soil Liquefaction in Sarangani Peninsula, Philippines Triggered by the 17 November 2023 Magnitude 6.8 Earthquake

by
Daniel Jose L. Buhay
1,*,
Bianca Dorothy B. Brusas
1,
John Karl A. Marquez
1,
Paulo P. Dajao
1,
Robelyn Z. Mangahas-Flores
1,
Nicole Jean L. Mercado
1,
Oliver Paul C. Halasan
1,
Hazel Andrea L. Vidal
1 and
Carlos Jose Francis C. Manlapat
2
1
Department of Science and Technology, Philippine Institute of Volcanology and Seismology (DOST-PHIVOLCS), Quezon City 1101, Philippines
2
College of Science, Bulacan State University, Malolos City 3000, Philippines
*
Author to whom correspondence should be addressed.
GeoHazards 2025, 6(4), 80; https://doi.org/10.3390/geohazards6040080 (registering DOI)
Submission received: 30 September 2025 / Revised: 22 November 2025 / Accepted: 25 November 2025 / Published: 12 December 2025
(This article belongs to the Special Issue Seismological Research and Seismic Hazard & Risk Assessments)

Abstract

The 17 November 2023 MW 6.8 earthquake located offshore of Southern Mindanao, Philippines, triggered soil liquefaction along the lowlands of the Sarangani Peninsula. Detailed mapping, geomorphological interpretations, geophysical surveys, comparison with predictive models, and grain size analysis were conducted to obtain a comprehensive understanding of the earthquake parameters and subsurface conditions that permitted liquefaction. Soil liquefaction manifested as sediment and water vents, fissures, lateral spreads, and ground deformation, mainly along landforms with shallow groundwater levels such as river deltas, fills, floodplains, and beaches. In populated areas, ground failure due to liquefaction also damaged some buildings. All these impacts fall within the boundaries of the available liquefaction hazard maps for Sarangani Peninsula and the predictive empirical equations generated by various authors. Simulated peak ground acceleration values also indicate that sufficient ground shaking was generated for the soil to liquefy. Refraction microtremor (ReMi) surveys reveal shear wave velocities ranging from 121 to 215 m/s, which infer the presence of soft and stiff soils beneath the surface, promoting the sites’ potential to liquefy. Grain size analyses of sediment ejecta confirm the presence of these liquefiable sediments from the subsurface, with grain sizes ranging from silt to medium sand. The results of three-component microtremor (3CMt) surveys also show varying sediment thicknesses, which are consistent with the thickness of soft sediment layers inferred by ReMi surveys. The information resulting from this study may be useful for researchers, planners, and engineers for liquefaction hazard assessment and mitigation, especially in the Sarangani Peninsula.

1. Introduction

On 17 November 2023, a magnitude (MW) 6.8 earthquake rattled Mindanao. Its offshore focus was located 28 km southwest of Sarangani (municipality) in the province of Davao Occidental at a depth of 63 km (Figure 1A). The earthquake was felt throughout Mindanao, with the highest ground shaking at Modified Mercalli Intensity (MMI) VII at the epicentral area [1]. It caused landslides, tsunamis, and damage to buildings and infrastructure. It also triggered soil liquefaction along the lowlands of the Sarangani Peninsula, which comprises General Santos City and the provinces of Sarangani and Davao Occidental.
Ground failures brought about by liquefaction pose a significant threat to built environments—heavy unreinforced structures on top of liquefied soil may be damaged due to differential settlement, and buried buoyant structures may rise to the surface. In addition, areas that liquefied in the past are also prone to the same hazard when subjected to similar or stronger ground shaking. Hence, ground characterization through detailed maps and subsurface analyses of these areas is essential in mitigating the hazard.
Different methods can be employed in mapping liquefaction impacts. These include field surveys [5], utilization of remote sensing technologies [6], and quantitative analyses of the subsurface properties using geotechnical surveys, geophysical techniques, and grain size analysis [7,8]. Prior to this study, however, there was limited detailed subsurface and liquefaction-related research available for the Sarangani Peninsula.
This paper discusses the distribution of liquefaction impacts of the MW 6.8 earthquake in the Sarangani Peninsula, which were documented in detail using field mapping and remote sensing techniques. The liquefaction potential of selected sites was also calculated through characterization of the ground shaking and subsurface conditions.

2. Tectonic Setting and Recent Seismicity

The Philippines lies within a tectonically complex and active region primarily influenced by the northwest convergence of the Philippine Sea Plate with the Eurasian Plate (Figure 1B). Subduction on both the east and west of the Philippines formed earthquake generators that surround and traverse the archipelago. These include the Philippine Trench and the East Luzon Trough in the east and the Manila, Negros, Sulu, and Cotabato Trenches in the west, as well as several active faults, including the 1500 km long Philippine Fault that transects the Philippine Mobile Belt (PMB) [9,10,11].
The Sarangani Peninsula is part of continental-affinity terranes (including the Sulu Islands, Zamboanga Peninsula and the Daguma Range) that collided with the northern island arc terrain of Mindanao Island during the Miocene-Pliocene epochs [12]. With the initiation of the Cotabato Trench (at around 3 Ma), the Sarangani Peninsula alongside the Daguma Range were then incorporated to the PMB [13,14]. The subduction along the Cotabato Trench continues up to the present, and causes large magnitude earthquakes in southern Mindanao. In addition, the fully subducted Molucca Sea Plate located east of the Sarangani Peninsula causes the Tertiary-Quaternary volcanism northwest of the peninsula [15].
In terms of geology, the Sarangani Peninsula mainly comprises of continental basement rocks and some arc-thickened crustal fragments dating as old as the Miocene [12,16]. Volcanic deposits derived from the active Matutum and Parker Volcanoes are spread throughout its northwestern side. The majority of unconsolidated Holocene or Recent deposits are found in the lowlands of the peninsula, particularly along river channels, deltas, and coastal areas [16,17].
The 17 November 2023 MW 6.8 earthquake was associated with the subduction along the Cotabato Trench as evidenced by its reverse fault focal mechanism and depth (Figure 1A) [18]. This seismic source has also triggered several damaging earthquakes in the recorded past. The earliest account of which was the 31 January 1917 MW 6.9 earthquake [19]. This event damaged buildings and caused a 1.5 m high tsunami in Sarangani province. The 17 August 1976 MW 8.0 earthquake, regarded as one of the most destructive earthquakes in the country, had damaging ground shaking and was followed by a tsunami that heavily impacted coastal communities along Moro Gulf. Another damaging earthquake was the 6 March 2002 MW 7.2 event where parts of the peninsula experienced geologic impacts and widespread structural damage [20]. More recently, the 29 April 2017 MW 6.9 earthquake also damaged buildings and infrastructure in the peninsula [21].
These recent seismic activities in southern Mindanao also triggered liquefaction along the lowlands of the Sarangani Peninsula and its vicinity [22]. The 1917 MW 6.9 earthquake caused multiple water and sediment venting (commonly known as sand boils) in Glan, Sarangani. The 1976 MW 8.0 earthquake resulted in structural damage and liquefaction, which manifested as ground deformation, fissures, and subsidence in the southwestern portion of Mindanao. The 2002 MW 7.2 earthquake led to extensive liquefaction manifested as sediment and water vents, lateral spreads, ground fissures, and structural damage in the municipalities of Kiamba, Maitum, and Glan in Sarangani Province.

3. Methodology

Two days after the MW 6.8 earthquake, a reconnaissance survey was conducted in the affected areas. Initial reports from the local government, news outlets, and individuals on social media aided in rapidly locating possible impacted areas. In areas with confirmed liquefaction, detailed mapping was immediately conducted before its surface manifestations were washed away by rainfall, tides, fluvial processes, and human interventions. The remotely piloted aircraft (RPA) technology was also used to map areas with broader liquefaction impacts. A Phantom 4 Pro RPA with a 20-megapixel camera (DJI, Shenzhen, China) was flown at 30 to 50 m above the ground. The RPA-derived photos were processed to produce orthophotographs and digital elevation models (DEM). These datasets have a resolution ranging from 1 to 3 cm/pixel. Additional measurements of liquefaction impacts using these generated data were carried out in ArcGIS 10.
Various satellite imageries, hazard maps and predictive models were also assessed with respect to the spatial distribution of the liquefaction impacts. To determine the geomorphology of the affected areas, high-resolution DEM derived from Interferometric Synthetic Aperture Radar (IFSAR) [3] and historical satellite imagery from Google Earth Pro 7 were analyzed. The IFSAR DEM dataset had a resolution of 5 m/pixel, while the satellite imagery from Google Earth Pro 7 had resolutions ranging from 0.5 to 1.5 m/pixel. These geomorphological interpretations were then validated through fieldworks.
In addition, empirical equations generated by Hu [23] that utilize global datasets and estimate the potential extent of liquefaction from the epicenter (Remax) and hypocenter (Rhmax) based on earthquake magnitude (MW) were used, as shown in Equations (1) and (2), respectively.
MW = (5.2407 ± 0.1695) + (2.8135 ± 0.9833) × 10−3 Remax + (0.866 ± 0.1398) log Remax
MW = 4.7073 + 2.11 × 10−3 Rhmax + 1.1641 log Rhmax
It should be noted that for both Equations (1) and (2), Hu [23] determined 95% confidence intervals considering the uncertainties in his parameters. In addition, since comparison with empirical equations is a more straightforward approach to determine the maximum extent of liquefaction occurrence, it does not account for other factors such as soil properties, ground water, and local site effects [7,8,24,25]. Therefore, the distribution of liquefaction impacts was also compared with existing hazard maps that incorporate such factors.
Sediment ejecta collected from sites affected by liquefaction were analyzed for grain size distribution. A standard sieve shaker with mesh sizes ranging from −2Φ to 4.5Φ, arranged sequentially to separate particles by size, was utilized. The recorded weights were used to compute the cumulative percentage fines by weight, which was plotted to generate grain size distribution curves. These curves were analyzed in conjunction with liquefaction boundaries defined by Tsuchida [25] and Numata and Mori [8] to evaluate the sediments’ liquefaction potential.
Geophysical surveys were also conducted in selected sites that liquefied. This involved refraction microtremor (ReMi) and three-component microtremor (3CMt) tests [7,26]. The DAQLink II seismograph was used for the ReMi tests, utilizing an array of 12 geophones arranged in a linear direction. The array measured either 48 m (with a 4 m spacing between the geophones) or 96 m (with an 8 m spacing), the setup of which depends on present site constraints (i.e., a longer array is used if the target site permits it). At each site, 30 recordings were collected, each lasting 30 s. Ten recordings were taken for ambient noise measurements, and 10 additional recordings were obtained 5 m away from both the first and last geophones.
The data collected were then processed using two SeisOpt modules: the ReMi Vspect module, which generates the velocity spectrum image, and the ReMi Disper module, which visualizes the one-dimensional shear-wave velocity (VS) profile for each site. During processing of data in Vspect, specifically during the transformation of the data into spectral power in slowness-frequency space (p-f), the maximum frequency of interest (Fmax) and minimum velocity of interest (Vmin) were set to 35 Hz and 50 m/s, respectively. After defining the transformation parameters, the velocity spectrum for each recording was displayed. Dispersion picks were then obtained by manually selecting the appropriate p-f pairs.
The time-averaged shear-wave velocity to a depth of 30 m (VS30) is a key parameter for assessing relative soil density, and is often classified into site classes. These classifications are characterized by how the soil may respond to ground shaking during an earthquake. The National Structural Code of the Philippines (NSCP) has designations for different site classes (SA to SF), which are generally comparable to conventional site classes used in other international standards [27]. For liquefaction assessments, soils corresponding to Class SD and SE are of primary concern due to their loose to soft nature. Coupled with peak ground acceleration (PGA) values simulated with the USGS Shakemap 4 [28], the site’s liquefaction potential is then estimated using the simplified procedure developed by Iwasaki et al. [29]. The liquefaction potential index (LPI) boundaries can be classified into four: very low (LPI = 0), low (0 < LPI ≤ 5), high (5 < LPI ≤ 15), and very high (LPI > 15).
For the 3CMt surveys, two instruments were used for collecting data: the Raspberry Shake 3D and the OYO McSEIS MT-NEO, both of which are capable of recording ground motion in three orthogonal directions (north–south, east–west, and vertical). The setup involved positioning each unit near the ReMi array to ensure representativeness—that both instruments sampled a site with comparable geomorphological characteristics. Ambient ground vibrations were then recorded for approximately 30 min to capture a representative sample of background microtremors.
The recorded signals were processed in Geopsy 3.4, an open-source software for ambient vibration analysis. During the pre-processing stage, the “Anti-triggering on raw signal” option was enabled to suppress transients and prevent noise saturation in the signal. Additional parameters were set to further control transients: the short-term average (STA) was set to 1 s, the long-term average (LTA) to 30 s, the minimum STA/LTA ratio to 0.20, and the maximum STA/LTA ratio to 2.50. The dominant frequency (site period) at each station was identified from the first peak of the horizontal-to-vertical spectral ratio (HVSR) curve, which compares the amplitude of horizontal to vertical ground motions to determine the site’s natural resonance frequency.
The relationship between the site period and soil thickness was then determined using Equation (3) by Daag et al. [26]:
h = −23.01 × T0.8013
where h corresponds to the soil thickness, and T corresponds to the site period. The resulting 3CMt-derived soil thickness values were subsequently compared with those obtained from the ReMi surveys for cross-validation.
The geophysical techniques employed in this case study have previously been implemented in other areas of the Philippines to characterize soil conditions and assess liquefiable soils [5,26]. Although the standard practice for liquefaction assessment is through geotechnical testing using standard penetration tests, it has also been demonstrated that these non-destructive geophysical techniques can serve as reliable, economical, and sound alternatives that provide rapid results. Supporting studies by Xiao et al. [30], Daag et al. [31], and Civelekler and Afacan [32] also demonstrated that there is a strong correlation between VS and soil penetration resistance values from geotechnical tests. As a result, these techniques are substantial enough to estimate relative soil strength and calculate liquefaction potential.

4. Results and Discussion

The MW 6.8 earthquake caused up to MMI VII ground shaking in the Sarangani Peninsula and triggered liquefaction along the lowlands of the municipalities of Glan, Malapatan, and Alabel in Sarangani Province, Jose Abad Santos and Sarangani in Davao Occidental Province, and General Santos City. A total of 69 observation points of liquefaction impacts were mapped and documented in this study (Table A1). In the succeeding sub-section, the liquefaction impacts are discussed per city/municipality, from north to south of the peninsula.

4.1. Distribution of Liquefaction Impacts

The liquefaction manifestations were distributed across different geomorphological units in the Sarangani Peninsula (Figure 2). The majority of these liquefaction effects were observed on river deltas, while others were along beaches, filled lands, river bars, and floodplains. There were also occasional manifestations of liquefaction on wetlands, active and abandoned river channels, dry riverbeds, and alluvial plains. These observations confirm that low-lying water-saturated geomorphological units are indeed susceptible to liquefaction.
Liquefaction was documented in Brgy. Buayan, General Santos City in the vicinity of Buayan River which drains towards the Sarangani Bay (Figure 3A). A ground fissure, which measured 17.7 m in length, ejected sand along the floodplain west of the Buayan River (Figure 3B). Other ground fissures appeared on the river delta, one of which had a length of 16 m and width of 90 cm (Figure 3C), while another was measured 3.6 m long and vented water and sand (Figure 3D). Localized ground undulation was also observed on the western bank of the delta and raised an artesian well by about 5 cm (Figure 3E).
Two barangays in the municipality of Alabel were also affected by liquefaction. Ground fissures manifested along a river bar in Brgy. Kawas. Notably, one of these fissures vented out water and sediment. In Brgy. Maribulan, a 10 m ground fissure also appeared perpendicular to the Buayan River bar.
In Brgy. Tuyan, Malapatan, portions of the beach and a bar of the Tuyan River liquefied (Figure 4A). Lateral spreads with mixed water and sediment ejecta were extensive, one of which caused the slumping of sand on the beach ridge towards the sea (Figure 4B). Another lateral spread with a deformation width of 23.5 m appeared further inland, with ejecta spreading as far as 13 m (Figure 4C). Additionally, a long and discontinuous ground fissure measuring 58 m in length ejected water and sediments (Figure 4D).
The areas that experienced liquefaction in Brgy. Sapu Masla, Malapatan were located south of the Sapu Masla River (Figure 5A). Based on a comparison of satellite images taken from 2003 to 2022, this area was previously a marsh that was eventually filled in with land as the community grew. Water and sediment vents were observed (Figure 5B). Ground fissures caused cracks in the walls and floors of houses. One particularly extensive fissure spanning 38 m transected and damaged ten houses (Figure 5C,D). Some of these fissures also ejected water and sediments. Furthermore, liquefaction also affected the floodplains and the port area in Brgy. Poblacion, Malapatan.
Liquefaction affected the coastal area of Brgy. Poblacion, Glan. Numerous water and sediment vents, wide-spanning ground fissures, and a tilted post were documented along the marshes west of the Glan River. A port made of concrete was also severely damaged, with some of its piers fully submerged into the sea, and other parts cracked, tilted, and buckled. The same area is presumed to have been affected by liquefaction during the 1917 MW 6.9 and 2002 MW 7.2 earthquakes based on the similarities of the impacts and affected sites as described in historical documents [19,20].
Brgy. Glan Padidu, Glan had the most widespread liquefaction manifestations in the Sarangani Peninsula (Figure 6). Substantial amounts of sediments and water were ejected across the coastal area, spreading as far as 18 m from the vents. Ground fissures were mostly parallel to the adjacent Glan Padidu River or the coastline, and ranged from 12 to 152 m in length and from 1.4 to 30 m in width. In total, liquefaction affected an area estimated at 5400 m2. Although the liquefaction manifestations were widespread, no houses or infrastructures were damaged in this barangay. The other affected barangays in Glan are Baliton, Mudan, Big Margus, Small Margus, Calabanit, Batolaki and Tapon.
In Brgy. Nuing, Jose Abad Santos, ground fissures, sediment and water vents, as well as flotation of buoyant structures were documented. Eyewitnesses observed sediment fountains as high as 0.5 m. Some vents even continued to release sediments and water minutes after the ground shaking. These ejecta had a dark color and foul odor. According to residents, the area affected by liquefaction was once submerged and part of the Nuing River, was then dried up, and turned into plantation fields. By comparing satellite images from 2003 to 2023, it was confirmed that these liquefaction features were limited to the abandoned river channel of the Nuing River, which migrated from the north to the south of the barangay in a span of 20 years (Figure 7).
Liquefaction also occurred in other areas of Jose Abad Santos, namely the river area in Brgy. Bukid, as well as the beach and port in Brgy. Balangonan. Similarly, it manifested on filled lands in Brgy. Patuco and along the coastline of Brgy. Camahual, both located in the municipality of Sarangani.

4.2. Comparison with Predictive Models

Equation (1) suggests that a MW 6.8 earthquake can initiate liquefaction up to a maximum distance of 120 km from the epicenter. The farthest documented liquefaction occurrence during this event was located in Buayan, located 81 km north of the epicenter, which is within the predicted maximum liquefaction distance value. Furthermore, all of the liquefaction impacts were within the 95 km maximum predicted liquefaction distance from the hypocenter of a MW 6.8 earthquake, based on Equation (2).
The liquefaction accounts were also plotted in comparison with the DOST-PHIVOLCS [33] liquefaction hazard map of the Sarangani Peninsula. This hazard map delineates the areas generally susceptible to liquefaction based on geomorphological interpretation of high-resolution DEMs. All 69 observation points are within the boundaries of the identified liquefaction-susceptible areas.

4.3. Analysis of Sediment Ejecta

Eleven sediment ejecta samples collected from selected liquefied sites were compared with the liquefiable soil boundaries set by Tsuchida [25], and Numata and Mori [8] (Figure 8). The ejecta are primarily composed of silt and sand-sized sediments. In particular, those taken in Buayan (BU1) and Glan Padidu (GP1 and GP2) fall completely within the boundaries for most liquefiable soils. Conversely, the silt-dominated sediment samples from Tuyan (TU1 and TU2), Mudan (MU1 and MU2), and Glan Padidu (GP5) are within the established boundaries for potentially liquefiable soils. The remaining samples from Sapu Masla (SM1) and Glan Padidu (GP3 and GP4) have a mix of sand and silt-sized grains and plot within the boundaries of both potentially liquefiable and most liquefiable soils.
This aligns with the mean grain sizes of the samples, which range from 0.05 mm to 0.19 mm, corresponding to silt to fine sand-sized sediments (Table 1). Most samples are moderately sorted, with the exception of SM1 (poorly sorted) and GP5 (well sorted). The sorting obtained is found consistent with the uniformity coefficient (Cu) values 1.57–3.52, which corresponds to uniformly graded sediments. Moreover, the curvature coefficient (Cc) values (0.53 to 1.16) showed a mix of well-graded to gap-graded textures, similar to the variability of grain sizes (fine to coarse-grained dominant) as seen in the skewness values of −0.27 to 0.58. Overall, the grain size distribution of the collected ejecta shows that the sediment characteristics in the affected areas meet the criteria for liquefiable soils.

4.4. Geophysical Analyses on Selected Sites

The subsurface layers of 12 selected sites that liquefied throughout the Sarangani Peninsula were analyzed using ReMi and 3CMt. The collected data include 12 ReMi acquisitions and 41 3CMt recordings (Table 2).
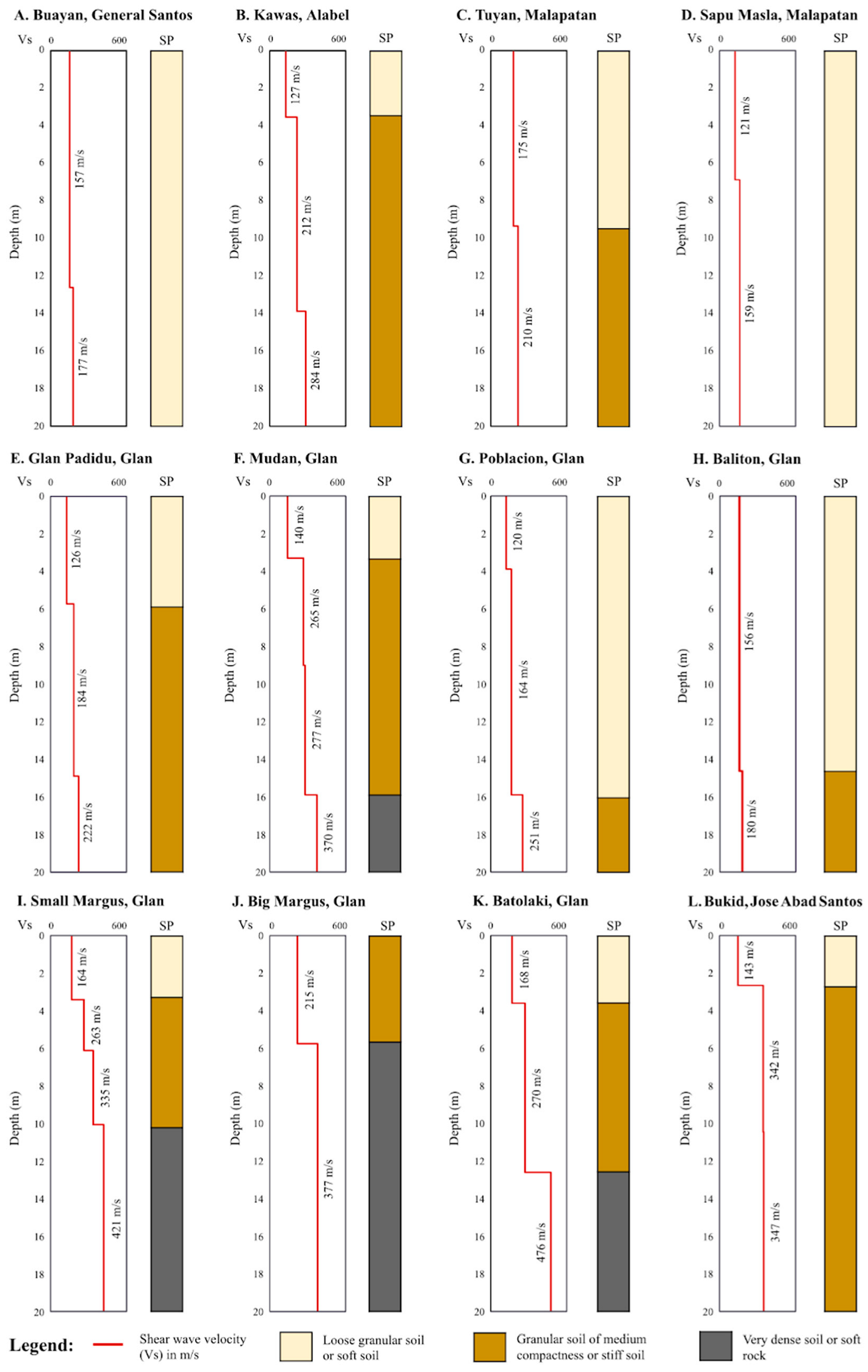
The VS profiles and their corresponding site classes were obtained using ReMi (Figure 9). Eleven sites have VS30 values ranging from 170 m/s to 339 m/s, indicating that these are soft to stiff soils classified as Class SD and SE, which may have loose and granular sediments. In contrast, the recorded VS30 in Big Margus is 425 m/s, suggesting a subsurface of very dense soil to soft rock material classified as Class SC. Since liquefaction occurred along a sandy beach in Big Margus (Table A1), the liquefiable layer may have been confined to the upper layer of granular soil with medium compactness as observed in the field, and in the upper 5.7 m of soil inferred from the VS profile (Figure 9). For the rest of the sites, ReMi surveys confirm that there are sediment layers within 20 m below the ground that can indeed liquefy, as long as these are water-saturated, and with the right ground shaking conditions.
The subsurface profiles derived from ReMi data can only infer the presence of loose and granular sediments, without specifying the grain sizes of these sediments. The collected sediment ejecta, however, provide evidence of the grain sizes of the materials from the subsurface. The information derived from the sediment ejecta complements the ReMi datasets in deducing the characteristics of the soil. In this study, it can be inferred that the sediment samples may have come from the same loose granular soil layers identified in the ReMi surveys—therefore validating the presence of such layers, without actual borehole data. However, it should be noted that the ejected sediments may have come from any portion of that layer. For example, in Sapu Masla, the sediment ejecta was a combination of sand and silt-sized grains (Figure 8), which may have come from the first upper 14 m of the soil (Figure 9).
Two to five 3CMt surveys were also conducted on all of the 12 sites. The period values listed in Table 1 vary greatly, with the shortest period measurements ranging from 0.07 to 0.18 s in Glan Padidu, and the longest period measurements ranging from 0.94 to 1.1 s in Buayan. Using Equation (3), which correlates the site period values to the thickness of the uppermost soil layer, it was determined that the short-period sites also have thinner soil covers, while long-period sites have thicker soil covers. Generally, the soil is also thinner near the uplands with generally steeper slopes and are usually subjected to erosional processes. The sediments then accumulate downslope and become thicker towards the lowlands [34,35]. For example, on a beach in Small Margus, the soil thickness varies from 2.6 m near the uplands to 7.8 m by the shore (Figure 10).
It should also be noted that most of the thickness values of the sedimentary layers inferred from the ReMi surveys closely match the soil thickness values from the 3CMt surveys (Figure 11). A scatter plot comparing the soil-thickness estimates obtained from the two methods shows that the results closely agree, as the plotted points lie near a reference line where x = y. This is supported by a high coefficient of determination (R2 = 0.90), and by a root mean square error (RMSE) of 2.30 m, reflecting the average difference between the two datasets. This suggests a strong positive relationship between the two methods. Based on these quantitative analyses, it can be noted that the first peak in the 3CMt data corresponds closely to the sedimentary layer identified in the ReMi profile. In Tuyan, for example, the topmost soil layer was 9.3 m thick based on the ReMi data. Comparably, a thickness range of 7.8 to 11.3 m was computed from the 3CMt data (Table 2).
The simulated PGA values on the 12 sites vary from 0.24 to 0.34 g (Table 2). All these values correspond to MMI VII (or destructive ground shaking), which ranges from 0.18 to 0.34 g [36]. Based on interviews with the affected residents, the descriptions of the geologic impacts, observed structural damages, and perceived ground motions are also consistent with the effects of MMI VII ground shaking. This means that the simulated PGA values can be reliable proxies to actual PGA recordings since there were no accelerometers available in the study area that could validate the simulated PGA values. Liquefaction can also occur at such PGA range, since the threshold for liquefaction triggering is estimated to be at 0.09 g [37].
The liquefaction potential values of the sites listed in Table 2 were then computed by incorporating the simulated PGA values and following the procedure set by Iwasaki et al. [29]. It was determined that eight of the twelve sites had high to very high liquefaction potential, while the remaining four sites had low to very low potential. While it is expected that areas that liquefied during this earthquake have high to very high liquefaction potential, it is also noteworthy that areas with low to very low liquefaction potential can still liquefy, with sufficient ground shaking conditions [29].
For instance, sites in Small Margus, Big Margus and Batolaki recorded very low liquefaction potential values but experienced water and sediment venting due to liquefaction (Table 2). These low values can be attributed to the relatively thinner and denser soils found in these areas. However, these sites were located on beaches and had shallow groundwater levels. These areas also experienced MMI VII ground shaking based on the observed impacts and had simulated PGA values ranging from 0.26 to 0.29 g, consistent with the MMI VII assessment. Thus, these observations suggest that even if a site had relatively thinner soil covers, its prevailing geomorphological, hydrological, and ground shaking conditions can contribute to the occurrence of liquefaction.
All these results confirm that geophysical surveys are suitable alternatives to the more costly geotechnical tests and investigations, as they provide sufficient information that can be used to improve future hazard mitigation strategies. In addition, researchers and engineers who will utilize the information obtained in this study should still consider engineering interventions even on sites that have very low to low potential for liquefaction. Consequently, the subsurface profiles generated in this study can also be used as guides in determining foundation or pile depths when constructing buildings, infrastructure, and critical facilities.
It should also be emphasized that liquefaction already occurred across the lowlands of the Sarangani Peninsula during the MW 6.8 earthquake, which is an order of magnitude lower than the predicted worst-case earthquake scenario for that area. A higher MW 7.9 earthquake from the southern segment of the Cotabato Trench will cause stronger ground shaking throughout the peninsula [38]. This event will also induce more widespread and damaging liquefaction impacts on other areas that are susceptible to liquefaction as indicated on the hazard map of DOST-PHIVOLCS [33].
Aside from the Cotabato Trench, other earthquake generators identified in Section 2 which include inland and offshore faults in the vicinity of the peninsula may generate large-magnitude earthquake events that could also cause liquefaction, albeit to a lesser extent compared to a MW 7.9 Cotabato Trench earthquake. Therefore, researchers, planners, and engineers should also consider all these scenarios to ensure that future developments in the peninsula can withstand the effects of liquefaction.

4.5. Limitations of This Study

Even though this study provides valuable insights into engineering geology and liquefaction mitigation, several limitations should be acknowledged. Mapping the liquefaction impacts immediately after the MW 6.8 earthquake proved to be challenging as its evidence was easily eroded, and some areas were difficult to access. As a result, soil samples were limited to a few sites where the sediment ejecta were still preserved and unmodified. In identifying the geomorphologic units, since this study utilized IFSAR DEM captured in 2013 and historical imagery from Google Earth Pro from 2003 to 2023, the analysis was limited to what was only observed in the available remote sensing datasets from 2003 to 2023.
Pre- and post-earthquake satellite data were also gathered for ground deformation analysis and visual investigation of liquefaction impacts. This technique is commonly employed by researchers to have an overview of the extent of liquefaction impacts. However, manifestations of liquefaction during the MW 6.8 earthquake were not identifiable in the available satellite images due to the resolution of the datasets and the limited spread of liquefaction impacts.
Numerous studies have also established that liquefaction may recur on sites that liquefied in the past [22,39,40]. However, only one site in the Sarangani Peninsula that had liquefied in the past also experienced liquefaction during the 2023 MW 6.8 earthquake. This is likely because the ground shaking felt in those areas was weaker during the MW 6.8 earthquake. For example, the western side of Sarangani province, which experienced liquefaction during the 2002 MW 7.2 earthquake, only felt MMI V ground shaking during the 2023 MW 6.8 earthquake which was not sufficient to trigger liquefaction. On the other hand, sites that experienced liquefaction during the 2023 MW 6.8 event may have also liquefied in past earthquakes but were just not reported in the available historical documents. Regardless of what may have occurred in these areas, the fact that liquefaction occurred during the MW 6.8 earthquake proves that the same areas may liquefy in the future.
Lastly, it is important to note that while geophysical tests are generally reliable in estimating the soil properties in a given site, borehole testing will provide a more detailed characterization of the subsurface. If available, they should also be utilized for comparative analysis with geophysical methods. In addition, the geophysical tests conducted in this study are site-specific—this means that the soil properties described here are limited to the actual sites that liquefied. In ensuring that structures built will withstand strong ground shaking and liquefaction impacts, building design, and construction should always be in compliance with the National Building Code and the Structural Code of the Philippines.

5. Conclusions

The liquefaction impacts of the 17 November 2023 MW 6.8 earthquake along the Sarangani Peninsula were characterized through a combination of detailed mapping, geomorphological interpretations, geophysical techniques, correlation with predictive models, and grain size analysis. Soil liquefaction was rapidly documented in detail along the lowlands of General Santos City, and Sarangani and Davao Occidental provinces. On these lowlands, liquefaction impacts were concentrated along the numerous river deltas draining towards Sarangani Bay, fills, river floodplains, and beaches. All of the liquefaction impacts were identified to be within the hazard boundaries of the available liquefaction hazard maps and predictive equations.
The subsequent geophysical surveys and grain size analysis of the sediment ejecta on selected sites confirm that the areas have different potentials to liquefy. Using the ReMi method, the uppermost layers of all the soil profiles revealed a range of VS, which indicates that these soils are either made of loose, granular, and soft sediments or stiffer soils with granular sediments and medium compactness. The results from the 3CMt surveys also validate the estimated soft soil layer from ReMi. Furthermore, the sediment ejecta samples have grain sizes ranging from silt to sand, which are all within the established liquefaction limits.
Overall, the findings of this study highlight the variety of soil conditions that can liquefy under sufficient ground shaking condition and the reliability of geophysical surveys as proxy to geotechnical techniques. This study contributes to the growing database of liquefaction occurrences in the Philippines, which can be utilized by researchers, engineers, and planners by providing a better understanding of liquefaction mechanisms and effects and mitigating their possible impacts.

Author Contributions

Conceptualization, D.J.L.B.; methodology, D.J.L.B., B.D.B.B., R.Z.M.-F. and O.P.C.H.; software, B.D.B.B., J.K.A.M., P.P.D., N.J.L.M., O.P.C.H., H.A.L.V. and C.J.F.C.M.; validation, D.J.L.B.; formal analysis, D.J.L.B., B.D.B.B., J.K.A.M., P.P.D., N.J.L.M., O.P.C.H., H.A.L.V. and C.J.F.C.M.; investigation, D.J.L.B., B.D.B.B., J.K.A.M., P.P.D., N.J.L.M., O.P.C.H. and H.A.L.V.; resources, D.J.L.B., B.D.B.B., J.K.A.M. and P.P.D.; data curation, D.J.L.B., J.K.A.M. and P.P.D.; writing—original draft preparation, D.J.L.B., B.D.B.B., J.K.A.M., P.P.D., N.J.L.M., O.P.C.H., H.A.L.V. and C.J.F.C.M.; writing—review and editing, D.J.L.B., J.K.A.M. and P.P.D.; visualization, D.J.L.B., B.D.B.B., J.K.A.M. and P.P.D.; supervision, D.J.L.B.; project administration, D.J.L.B., B.D.B.B., J.K.A.M. and P.P.D.; funding acquisition, D.J.L.B. All authors have read and agreed to the published version of the manuscript.

Funding

This study was funded by the DOST-PHIVOLCS under the Philippine General Appropriations Acts of 2023 and 2024 of the Republic of the Philippines.

Data Availability Statement

The original contributions presented in this study are included in the article. Further inquiries can be directed to the corresponding author.

Acknowledgments

The team is grateful to Erlinton Antonio B. Olavere, Elaiza Mae Aura A. Cortes, Kordell Almoneda, Mara Joy Pancho, Charles Erick C. Ligpitan, and the rest of the DOST-PHIVOLCS Quick Response Team. The team also acknowledges Matthew R. Torres and the members of the DOST-GIA funded ACER-DeLTA Project for additional data collection and processing. Thanks are given to Crystel Jade M. Legaspi-Delos Santos, Kathleen L. Papiona and Perla J. Delos Reyes for their valuable insights in improving this paper.

Conflicts of Interest

The authors declare no conflicts of interest. The funders had no role in the design of this study; in the collection, analyses, or interpretation of data; in the writing of the manuscript; or in the decision to publish the results.

Appendix A

Table A1. Details of the different liquefaction manifestations caused by the 17 November 2023 MW 6.8 Earthquake.
Table A1. Details of the different liquefaction manifestations caused by the 17 November 2023 MW 6.8 Earthquake.
ProvinceMunicipality/CityBarangayLatitudeLongitudeLique-Faction *Geomorphic UnitSoil Period (s)Soil Thickness (m)
Davao OccidentalJose Abad SantosBalangonan5.568221125.354800B1; C4Filled land--
Davao OccidentalJose Abad SantosBalangonan5.567440125.365900B1Beach--
Davao OccidentalJose Abad SantosBukid5.568286125.400900B2Beach0.10273.7
Davao OccidentalJose Abad SantosBukid5.568123125.401300A2Active river channel0.07452.9
Davao OccidentalJose Abad SantosBukid5.568393125.400800A2; B1Marsh, swamp, and pond0.12964.5
Davao OccidentalJose Abad SantosNuing5.627803125.440200A3Abandoned river channel--
Davao OccidentalJose Abad SantosNuing5.629489125.441430C3Abandoned river channel--
Davao OccidentalSaranganiCamahual5.451015125.466147B1Beach--
Davao OccidentalSaranganiPatuco5.474899125.473243B3Filled land--
Davao OccidentalSaranganiPatuco5.474543125.473453B3Filled land--
Davao OccidentalSaranganiPatuco5.474466125.473199B3Filled land--
SaranganiAlabelKawas6.056900125.302950A3; B1River bar0.09273.4
SaranganiAlabelKawas6.050000125.300000B1River bar0.09023.3
SaranganiAlabelMaribulan6.112795125.240518B1River bar--
SaranganiGlanBatolaki5.572943125.313678A3Beach0.16915.5
SaranganiGlanBaliton5.748330125.226400A2Marsh, swamp, and pond0.836319.9
SaranganiGlanBaliton5.747925125.226430C5Marsh, swamp, and pond0.71217.5
SaranganiGlanBaliton5.748235125.226600B1Marsh, swamp, and pond0.836319.9
SaranganiGlanBig Margus5.622482125.304700A3Beach0.17185.6
SaranganiGlanCalabanit5.811672125.218000B1; B3Alluvial plain--
SaranganiGlanGlan Padidu5.852925125.215575A2; B1Delta0.14324.8
SaranganiGlanGlan Padidu5.852860125.215560A2; B1Delta0.14324.8
SaranganiGlanGlan Padidu5.852309125.215024B2Delta0.14324.8
SaranganiGlanGlan Padidu5.852105125.215049A2Delta0.14324.8
SaranganiGlanGlan Padidu5.851893125.215078A3Delta0.14324.8
SaranganiGlanGlan Padidu5.851262125.215051A2Delta0.14324.8
SaranganiGlanGlan Padidu5.853627125.215422A2Delta0.18125.9
SaranganiGlanGlan Padidu5.854508125.215222B2Beach0.16185.3
SaranganiGlanGlan Padidu5.855772125.217036B1Delta0.16185.3
SaranganiGlanGlan Padidu5.854038125.217950B2River bar0.06672.6
SaranganiGlanGlan Padidu5.854636125.217229B1Floodplain0.16185.3
SaranganiGlanGlan Padidu5.854279125.216826A3; B2River bar0.06672.6
SaranganiGlanGlan Padidu5.853677125.216515A3; B2River bar0.06672.6
SaranganiGlanGlan Padidu5.852530125.215316B2Delta0.14324.8
SaranganiGlanGlan Padidu5.853952125.215870A3Delta0.17685.7
SaranganiGlanGlan Padidu5.853522125.215910A3; B2Delta0.17685.7
SaranganiGlanGlan Padidu5.853708125.215949A3Delta0.17685.7
SaranganiGlanGlan Padidu5.853316125.215418B2Delta0.18125.9
SaranganiGlanGlan Padidu5.853330125.215571A3: B2Delta0.18125.9
SaranganiGlanMudan5.840018125.236300A3; B1; C5Floodplain0.07873.0
SaranganiGlanMudan5.840353125.236268A1; B1Dry river bed0.08423.2
SaranganiGlanMudan5.840421125.236141C5Floodplain0.14644.9
SaranganiGlanMudan5.839927125.235117C5Floodplain0.14644.9
SaranganiGlanPoblacion5.825780125.206562A3, B1Marsh, swamp, and pond0.410311.3
SaranganiGlanPoblacion5.825462125.206933A3; B1; C2Marsh, swamp, and pond0.410311.3
SaranganiGlanPoblacion5.825556125.201111C4Filled land0.410311.3
SaranganiGlanSmall Margus5.661071125.297878A3Beach0.26037.8
SaranganiGlanTapon5.825184125.226459B2; C4River bar--
SaranganiMalapatanPoblacion5.967178125.284844A1; B1Floodplain--
SaranganiMalapatanPoblacion5.967020125.284750A2; B1Floodplain--
SaranganiMalapatanPoblacion5.970710125.284950B2; B3; C4Filled land--
SaranganiMalapatanSapu Masla5.920390125.272530A2; B1Filled land0.963922.3
SaranganiMalapatanSapu Masla5.921480125.272920A3Filled land0.836319.9
SaranganiMalapatanSapu Masla5.921490125.272680A3; B1Filled land0.836319.9
SaranganiMalapatanSapu Masla5.920400125.272530B1Filled land0.963922.3
SaranganiMalapatanTuyan5.994500125.290500B1Beach0.28228.3
SaranganiMalapatanTuyan6.007170125.289000B2Beach0.410811.3
SaranganiMalapatanTuyan6.006279125.288985A3; B2Beach0.25767.8
SaranganiMalapatanTuyan6.005638125.288766A3; B1Beach0.25767.9
SaranganiMalapatanTuyan6.005570125.288361A3; B2Beach0.31849.2
SaranganiMalapatanTuyan6.005353125.288413A3Beach0.28228.3
SaranganiMalapatanTuyan6.006214125.288814A3Beach0.28228.3
SaranganiMalapatanTuyan6.003204125.289265A3River bar0.28228.3
South CotabatoGeneral Santos CityBuayan6.113530125.239810B3Active river channel0.947822.0
South CotabatoGeneral Santos CityBuayan6.097920125.237850A3; B1Delta0.996722.1
South CotabatoGeneral Santos CityBuayan6.098250125.237970B1Delta1.028223.5
South CotabatoGeneral Santos CityBuayan6.098080125.237770B5Delta0.996722.9
South CotabatoGeneral Santos CityBuayan6.099160125.237340A2; B1Floodplain6.0982125.2
South CotabatoGeneral Santos CityBuayan6.113530125.239810B2River bar6.0982125.2
* For liquefaction features: A1: water venting, A2: sediment venting, A3: mixed water and sediment venting, B1: ground fissure, B2: lateral spreads, B3: local subsidence, B5: ground undulation, C2: tilting of building/structure, C3: floatation of buoyant structure, C4: damages on ports or bridges; C5: damage to pipes and water wells.

References

  1. Department of Science and Technology—Philippine Institute of Volcanology and Seismology (DOST-PHIVOLCS). Earthquake Information No. 4; Department of Science and Technology—Philippine Institute of Volcanology and Seismology (DOST-PHIVOLCS): Quezon City, Philippines, 2023. Available online: https://earthquake.phivolcs.dost.gov.ph/2023_Earthquake_Information/November/2023_1117_0814_B4F.html (accessed on 24 November 2025).
  2. Department of Science and Technology—Philippine Institute of Volcanology and Seismology (DOST-PHIVOLCS). Distribution of Active Faults and Trenches in the Philippines. 2023. Available online: https://gisweb.phivolcs.dost.gov.ph/gisweb/storage/hazard-maps/national/earthquake/ground-rupture-(active-fault)/aft_2023_000000000_02.png (accessed on 24 November 2025).
  3. National Mapping and Resource Information Authority (NAMRIA). 1:50,000-Scale Digital Topographic Map of Mindanao; National Mapping and Resource Information Authority (NAMRIA): Taguig, Philippines, 2013.
  4. Philippine Statistics Authority (PSA). Philippines—Subnational Administrative Boundaries; Philippine Statistics Authority (PSA): Quezon, Philippines, 2016.
  5. Buhay, D.J.L.; Legaspi, C.J.M.; Perez, J.S.; Lagunsad, K.D.B.; Halasan, O.P.C.; Vidal, H.A.L.; Sochayseng, K.S.; Magnaye, A.A.T.; Dizon, R.P.A.; Reyes, M.J.V.; et al. Mapping and Characterization of the Liquefaction Impacts of the July and October 2022 Earthquakes in Northwestern Luzon, Philippines. Eng. Geol. 2024, 342, 107759. [Google Scholar] [CrossRef]
  6. Albano, M.K.; Chiaradonna, A.; Saroli, M.; Moro, M.; Pepe, A.; Solaro, G. InSAR Analysis of Post-Liquefaction Consolidation Subsidence after 2012 Emilia Earthquake Sequence (Italy). Remote Sens. 2024, 16, 2364. [Google Scholar] [CrossRef]
  7. Akin, M.K.; Kramer, S.L.; Topal, T. Empirical Correlations of Shear Wave Velocity (Vs) and Penetration Resistance (SPT-N) for Different Soils in an Earthquake-Prone Area (Erbaa-Turkey). Eng. Geol. 2011, 119, 1–17. [Google Scholar] [CrossRef]
  8. Numata, A.; Mori, S. Limits in the Gradation Curves of Liquefiable Soils. In Proceedings of the 13th World Conference on Earthquake Engineering, Vancouver, BC, Canada, 1–6 August 2004. Paper No. 1190. [Google Scholar]
  9. Aurelio, M.A.; Peña, R.E.; Taguibao, K.J.L. Sculpting the Philippine Archipelago since the Cretaceous through Rifting, Oceanic Spreading, Subduction, Obduction, Collision and Strike-Slip Faulting: Contribution to IGMA5000. J. Asian Earth Sci. 2012, 72, 102–107. [Google Scholar] [CrossRef]
  10. Bautista, B.C.; Bautista, M.L.; Oike, K.; Wu, F.; Punongbayan, R.S. A New Insight on the Geometry of Subducting Slabs in Northern Luzon, Philippines. Tectonophysics 2001, 339, 279–310. [Google Scholar] [CrossRef]
  11. Pubellier, M.; Quebral, R.; Aurelio, M.; Rangin, C. Docking and Post-Docking Escape Tectonics in the Southern Philippines. Geol. Soc. Lond. Spec. Publ. 1996, 106, 511–523. [Google Scholar] [CrossRef]
  12. Rohrlach, B.D.; Loucks, R.R. Multimillion-Year Cyclic Ramp-up of Volatiles in a Lower Crustal Magma Reservoir Trapped below the Tampakan Copper-Gold Deposit by Mio-Pliocene Crustal Compression in the Southern Philippines. In Super Porphyry Copper & Gold Deposits—A Global Perspective; PCG Publishing: Adelaide, SA, Australia, 2005; Volume 2, pp. 369–407. [Google Scholar]
  13. Middleton, C.; Buenavista, A.; Rohrlach, B.; Gonzalez, J.; Subang, L.; Moreno, G. A Geological Review of the Tampakan Copper-Gold Deposit, Southern Mindanao, Philippines. In Proceedings of the PACRIM 2004 Congress, Adelaide, SA, Australia, 19–22 September 2004; Volume 22. [Google Scholar]
  14. Quebral, R.D.; Pubellier, M.; Rangin, C. The Onset of Movement on the Philippine Fault in Eastern Mindanao: A Transition from a Collision to a Strike-Slip Environment. Tectonics 1996, 15, 713–726. [Google Scholar] [CrossRef]
  15. Sajona, F.G.; Bellon, H.; Maury, R.C.; Pubellier, M.; Quebral, R.D.; Cotten, J.; Bayon, F.E.; Pagado, E.; Pamatian, P. Tertiary and Quaternary Magmatism in Mindanao and Leyte (Philippines): Geochronology, Geochemistry and Tectonic Setting. J. Asian Earth Sci. 1997, 15, 121–153. [Google Scholar] [CrossRef]
  16. Mines and Geosciences Bureau (MGB). Geology of the Philippines; Mines and Geosciences Bureau (MGB): Quezon City, Philippines, 2010.
  17. Pubellier, M.; Deffontaines, B.; Quebral, R.; Rangin, C. Drainage Network Analysis and Tectonics of Mindanao, Southern Philippines. Geomorphology 1994, 9, 325–342. [Google Scholar] [CrossRef]
  18. Department of Science and Technology—Philippine Institute of Volcanology and Seismology (DOST-PHIVOLCS). Insights on the 17 November 2023 Mw 6.8 Offshore Davao Occidental Earthquake; Department of Science and Technology—Philippine Institute of Volcanology and Seismology (DOST-PHIVOLCS): Quezon City, Philippines, 2023. Available online: https://reliefweb.int/report/philippines/insights-17-november-2023-mw-68-offshore-davao-occidental-earthquake (accessed on 24 November 2025).
  19. Garcia, L.C.; Valenzuela, R.G.; Arnold, E.P.; Macalingcag, T.G.; Ambubuyog, G.F.; Lance, N.T.; Cordeta, J.D.; Doniego, A.G.; Cordeta, J.D.G.M.; Dabi, A.C.; et al. Southeast Asia Association of Seismology and Earthquake Engineering (SEASEE); Series on Seismology (Philippines); Government Printing Office: Washington, DC, USA, 1985; Volume 4.
  20. Department of Science and Technology—Philippine Institute of Volcanology and Seismology (DOST-PHIVOLCS). Palimbang Earthquake—06 March 2002; Department of Science and Technology—Philippine Institute of Volcanology and Seismology (DOST-PHIVOLCS): Quezon City, Philippines, 2002. Available online: https://www.phivolcs.dost.gov.ph/2002-march-06-ms6-8-palimbang-earthquake/ (accessed on 24 November 2025).
  21. National Disaster Risk Reduction and Management Council (NDRRMC). SitRep No. 04: Magnitude 7.2 Earthquake in Sarangani, Davao Occidental; National Disaster Risk Reduction and Management Council (NDRRMC): Quezon City, Philippines, 2017. Available online: https://reliefweb.int/report/philippines/ndrrmc-update-sitrep-no04-re-magnitude-72-earthquake-sarangani-davao-occidental (accessed on 24 November 2025).
  22. Buhay, D.J.L.; Legaspi, C.J.M.; Dizon, R.P.A.; Abigania, M.I.T.; Papiona, K.L.; Bautista, M.L.P. Development of a Database of Historical Liquefaction Occurrences in the Philippines. Earth Sci. Rev. 2024, 251, 104733. [Google Scholar] [CrossRef]
  23. Hu, J. Empirical Relationships between Earthquake Magnitude and Maximum Distance Based on the Extended Global Liquefaction-Induced Damage Cases. Acta Geotech. 2022, 18, 2081–2095. [Google Scholar] [CrossRef]
  24. Peng, Y.; Ding, L.; Liu, J.; Chen, J. Probabilistic analysis of seismic mitigation of base-isolated structure with sliding hydromagnetic bearings based on finite element simulations. Earthq. Eng. Resil. 2023, 2, 194–210. [Google Scholar] [CrossRef]
  25. Tsuchida, H. Prediction and Countermeasure against the Liquefaction in Sand Deposits. In Abstracts of the Seminar in the Port and Harbor Research Institute; Ministry of Transport: Yokosuka, Japan, 1970; pp. 31–33. [Google Scholar]
  26. Daag, A.S.; Aque, L.E.; Locaba, O.; Grutas, R.N.; Solidum, R.U., Jr. Site Response Measurements and Implications to Soil Liquefaction Potential Using Microtremor H/V in Greater Metro Manila, Philippines. Geomat. Nat. Hazards Risk 2023, 14, 2256936. [Google Scholar] [CrossRef]
  27. Association of Structural Engineers of the Philippines (ASEP). National Structural Code of the Philippines; Association of Structural Engineers of the Philippines (ASEP): Quezon City, Philippines, 2015. [Google Scholar]
  28. Worden, C.B.; Hearne, M.; Thompson, E.M. USGS ShakeMap v4 Software and Documentation; U.S. Geological Survey: Reston, VA, USA, 2018. [CrossRef]
  29. Iwasaki, T.; Arakawa, T.; Tokida, K.-I. Simplified Procedures for Assessing Soil Liquefaction during Earthquakes. Int. J. Soil Dyn. Earthq. Eng. 1984, 3, 49–58. [Google Scholar] [CrossRef]
  30. Xiao, S.; Zhang, J.; Ye, J.; Zheng, J. Establishing Region-Specific N-VS Relationships through Hierarchical Bayesian Modeling. Eng. Geol. 2021, 287, 106105. [Google Scholar] [CrossRef]
  31. Daag, A.S.; Halasan, O.P.C.; Magnaye, A.A.T.; Grutas, R.N.; Solidum, R.U., Jr. Empirical Correlation between Standard Penetration Resistance (SPT-N) and Shear Wave Velocity (VS) for Soils in Metro Manila, Philippines. Appl. Sci. 2022, 12, 8067. [Google Scholar] [CrossRef]
  32. Civelekler, E.; Afacan, K.B. Correlation between Shear Wave Velocity (VS) and Penetration Resistance along with the Stress Condition of Eskisehir (Turkey) Case. Nat. Hazards 2024, 121, 1043–1065. [Google Scholar] [CrossRef]
  33. Department of Science and Technology—Philippine Institute of Volcanology and Seismology (DOST-PHIVOLCS). Liquefaction Hazard in the Philippines. 2018. Available online: https://gisweb.phivolcs.dost.gov.ph/gisweb/earthquake-volcano-related-hazard-gis-information# (accessed on 24 November 2025).
  34. Montgomery, D. Soil Erosion and Agricultural Sustainability. Proc. Natl. Acad. Sci. USA 2007, 104, 13268–13272. [Google Scholar] [CrossRef]
  35. Wald, D.J.; Allen, T.I. Topographic Slope as a Proxy for Seismic Site Conditions and Amplification. Bull. Seismol. Soc. Am. 2007, 77, 1379–1395. [Google Scholar] [CrossRef]
  36. Department of Science and Technology—Philippine Institute of Volcanology and Seismology (DOST-PHIVOLCS). 22 April 2019 MS 6.1 Central Luzon Earthquake; Department of Science and Technology—Philippine Institute of Volcanology and Seismology (DOST-PHIVOLCS): Quezon City, Philippines, 2020.
  37. Santucci de Magistris, F.; Lanzano, G.; Forte, G.; Fabbrocino, G. A Database for PGA Threshold in Liquefaction Occurrence. Soil Dyn. Earthq. Eng. 2013, 54, 17–19. [Google Scholar] [CrossRef]
  38. Salcedo, J.C.; Hara, T. Earthquake Source Parameters for Subduction Zone Events Causing Tsunamis in and around the Philippines. Bull. Int. Inst. Seismol. Earthq. Eng. IISEE 2011, 45, 49–54. [Google Scholar]
  39. Papathanassiou, G.; Pavlides, S.; Christaras, B.; Pitilakis, K. Liquefaction Case Histories and Empirical Relations of Earthquake Magnitude versus Distance from the Broader Aegean Region. J. Geodyn. 2005, 40, 257–278. [Google Scholar] [CrossRef]
  40. Huang, F.K.; Tsai, C.C.; Ge, L.; Lu, C.W.; Chi, C.C. Strength Variations Due to Re-Liquefaction—Indication from Cyclic Tests on Undisturbed and Remold Samples of a Liquefaction-Recurring Site. Bull. Eng. Geol. Environ. 2022, 81, 117. [Google Scholar] [CrossRef]
Figure 1. (A) Liquefaction impacts of the MW 6.8 earthquake in Sarangani Peninsula and (B) the tectonic setting of the Philippines. Additional data sources: active faults and trenches from DOST-PHIVOLCS [2], topographic maps from NAMRIA [3], and administrative boundaries from PSA [4].
Figure 1. (A) Liquefaction impacts of the MW 6.8 earthquake in Sarangani Peninsula and (B) the tectonic setting of the Philippines. Additional data sources: active faults and trenches from DOST-PHIVOLCS [2], topographic maps from NAMRIA [3], and administrative boundaries from PSA [4].
Geohazards 06 00080 g001
Figure 2. Geomorphological distribution of the liquefaction impacts in Sarangani Peninsula.
Figure 2. Geomorphological distribution of the liquefaction impacts in Sarangani Peninsula.
Geohazards 06 00080 g002
Figure 3. Liquefaction in Brgy. Buayan, General Santos City. (A) Geomorphology map and distribution of liquefaction impacts. (B) Sediments ejected (yellow outline) along the Buayan River floodplain. (C) Ground fissures, (D) water and sediment vents (yellow outline), and (E) a raised artesian well by the river delta (as shown by the inset photo with red outline).
Figure 3. Liquefaction in Brgy. Buayan, General Santos City. (A) Geomorphology map and distribution of liquefaction impacts. (B) Sediments ejected (yellow outline) along the Buayan River floodplain. (C) Ground fissures, (D) water and sediment vents (yellow outline), and (E) a raised artesian well by the river delta (as shown by the inset photo with red outline).
Geohazards 06 00080 g003
Figure 4. Liquefaction in Brgy. Tuyan, Malapatan. (A) Geomorphology map and distribution of liquefaction impacts. (B) Slumping of sand towards the beach due to lateral spreading. (C) Lateral spreads and sediment vents. (D) A 58-m-long ground fissure.
Figure 4. Liquefaction in Brgy. Tuyan, Malapatan. (A) Geomorphology map and distribution of liquefaction impacts. (B) Slumping of sand towards the beach due to lateral spreading. (C) Lateral spreads and sediment vents. (D) A 58-m-long ground fissure.
Geohazards 06 00080 g004
Figure 5. Liquefaction in Brgy. Sapu Masla, Malapatan. (A) Geomorphology map and distribution of liquefaction impacts. (B) Sediments vented out of the ground. (C) Numerous ground fissures along the filled lands. (D) Ground fissures heavily damaged a concrete house.
Figure 5. Liquefaction in Brgy. Sapu Masla, Malapatan. (A) Geomorphology map and distribution of liquefaction impacts. (B) Sediments vented out of the ground. (C) Numerous ground fissures along the filled lands. (D) Ground fissures heavily damaged a concrete house.
Geohazards 06 00080 g005
Figure 6. Delineated liquefaction impacts in Brgy. Glan Padidu, Glan using RPA-derived orthophotograph as the basemap.
Figure 6. Delineated liquefaction impacts in Brgy. Glan Padidu, Glan using RPA-derived orthophotograph as the basemap.
Geohazards 06 00080 g006
Figure 7. Migration of the Nuing River channel (white arrows) and its mouth (red arrows) over 20 years. (A) In 2003, the river drained north. (B) In 2013, portions of the river’s channels bent further, and its mouth migrated southward. (C) The 2023 geomorphology map shows that the river mouth migrated further to the south, and the liquefaction impacts are concentrated on the abandoned channel.
Figure 7. Migration of the Nuing River channel (white arrows) and its mouth (red arrows) over 20 years. (A) In 2003, the river drained north. (B) In 2013, portions of the river’s channels bent further, and its mouth migrated southward. (C) The 2023 geomorphology map shows that the river mouth migrated further to the south, and the liquefaction impacts are concentrated on the abandoned channel.
Geohazards 06 00080 g007
Figure 8. Grain size analysis of sediment ejecta from selected sites in Sarangani Peninsula with liquefaction limits for comparison [8,25].
Figure 8. Grain size analysis of sediment ejecta from selected sites in Sarangani Peninsula with liquefaction limits for comparison [8,25].
Geohazards 06 00080 g008
Figure 9. VS measurements and the corresponding subsurface profiles (SP) of 12 sites where liquefaction occurred. The general locations of these sites are shown in Figure 1.
Figure 9. VS measurements and the corresponding subsurface profiles (SP) of 12 sites where liquefaction occurred. The general locations of these sites are shown in Figure 1.
Geohazards 06 00080 g009
Figure 10. Site period and soil thickness estimations in Brgy. Small Margus, Glan. The solid red lines show the mean horizontal/vertical spectral ratio curve, with the peaks indicating the sites’ fundamental period values. The dashed grey lines represent the standard deviation interval, highlighting the variability and confidence in the mean curve.
Figure 10. Site period and soil thickness estimations in Brgy. Small Margus, Glan. The solid red lines show the mean horizontal/vertical spectral ratio curve, with the peaks indicating the sites’ fundamental period values. The dashed grey lines represent the standard deviation interval, highlighting the variability and confidence in the mean curve.
Geohazards 06 00080 g010
Figure 11. Comparison of soil thickness estimates from 3CMt and ReMi. The letters correspond to the sites listed in Table 2.
Figure 11. Comparison of soil thickness estimates from 3CMt and ReMi. The letters correspond to the sites listed in Table 2.
Geohazards 06 00080 g011
Table 1. Grain size analysis of sediment ejecta from selected sites in Sarangani Peninsula.
Table 1. Grain size analysis of sediment ejecta from selected sites in Sarangani Peninsula.
Soil
Sample
Fines ContentCuCcMean ΦMean mmStandard DeviationGrain SortingSkewnessSK Tail
A. BU13.9%2.551.132.370.190.85Moderately sorted−0.09Nearly
symmetrical
B. TU148.5%1.890.913.940.070.65Moderately sorted0.13Fine-skewed
C. TU228.9%1.931.083.730.080.58Moderately sorted−0.12Coarse-skewed
D. SM132.4%3.520.533.520.091.03Poorly sorted−0.15Coarse-skewed
E. MU135.8%2.160.963.740.070.74Moderately sorted0.05Nearly
symmetrical
F. MU217.8%1.891.053.510.090.56Moderately sorted−0.13Coarse-skewed
G. GP117.5%2.280.973.170.110.97Moderately sorted0.22Fine-skewed
H. GP23.3%1.951.142.680.160.62Moderately sorted0.58Strongly fine-skewed
I. GP320.6%2.251.023.510.090.78Moderately sorted0.001Nearly
symmetrical
J. GP418.8%2.021.163.530.090.56Moderately sorted−0.27Coarse-skewed
K. GP574.8%1.570.944.280.050.49Well sorted0.14Fine-skewed
Table 2. Soil parameters and characteristics of selected sites in Sarangani Peninsula.
Table 2. Soil parameters and characteristics of selected sites in Sarangani Peninsula.
SiteGeomorphological UnitTopmost VS aVS30Site Class bSite
Period
Soil ThicknessPGALPI
from 3CMtfrom ReMi
A. Buayan,
General Santos
Delta157–177 m/s189 m/sSD0.94–
1.1 s
22.0–
24.9 m
20 m0.26 gvery high
B. Kawas, AlabelRiver bar127 m/s253 m/sSD0.08–0.09 s3.1–
3.4 m
3.5 m0.24 ghigh
C. Tuyan,
Malapatan
Beach175 m/s221 m/sSD0.25–0.41 s7.8–
11.3 m
9.3 m0.26 ghigh
D. Sapu Masla, MalapatanDelta121–159 m/s170 m/sSE0.81–0.94 s19.8–
22.3 m
23 m0.27 gvery high
E. Glan Padidu, GlanDelta126 m/s184 m/sSD0.07–0.18 s2.6–
5.9 m
5.7 m0.34 gvery high
F. Mudan, GlanRiver bar140 m/s278 m/sSD0.08–0.15 s3.0–
4.9 m
3.3 m0.32 ghigh
G. Poblacion, GlanMarsh120–164 m/s186 m/sSD0.41 s11.2–
11.3 m
15.9 m0.36 gvery high
H. Baliton,
Glan
Pond156 m/s198 m/sSD0.71–0.84 s17.5–
19.9 m
14.6 m0.34 gvery high
I. Small Margus, GlanBeach164 m/s339 m/sSD0.07–0.26 s2.6–
7.8 m
3.4 m0.29 gvery low
J. Big Margus, Glan Beach215 m/s425 m/sSC0.13–0.38 s4.6–
10.6 m
5.7 m0.26 gvery low
K. Batolaki, GlanBeach168 m/s330 m/sSD0.08–0.17 s3.0–
5.5 m
3.6 m0.28 gvery low
L. Bukid, Jose Abad SantosDelta143 m/s310 m/sSD0.07–0.13 s2.7–
4.5 m
2.7 m0.24 glow
a The VS values indicate the shear-wave velocity of the topmost liquefiable soil layer/s. b Site classification based on NSCP [27] using VS30.
Disclaimer/Publisher’s Note: The statements, opinions and data contained in all publications are solely those of the individual author(s) and contributor(s) and not of MDPI and/or the editor(s). MDPI and/or the editor(s) disclaim responsibility for any injury to people or property resulting from any ideas, methods, instructions or products referred to in the content.

Share and Cite

MDPI and ACS Style

Buhay, D.J.L.; Brusas, B.D.B.; Marquez, J.K.A.; Dajao, P.P.; Mangahas-Flores, R.Z.; Mercado, N.J.L.; Halasan, O.P.C.; Vidal, H.A.L.; Manlapat, C.J.F.C. Soil Liquefaction in Sarangani Peninsula, Philippines Triggered by the 17 November 2023 Magnitude 6.8 Earthquake. GeoHazards 2025, 6, 80. https://doi.org/10.3390/geohazards6040080

AMA Style

Buhay DJL, Brusas BDB, Marquez JKA, Dajao PP, Mangahas-Flores RZ, Mercado NJL, Halasan OPC, Vidal HAL, Manlapat CJFC. Soil Liquefaction in Sarangani Peninsula, Philippines Triggered by the 17 November 2023 Magnitude 6.8 Earthquake. GeoHazards. 2025; 6(4):80. https://doi.org/10.3390/geohazards6040080

Chicago/Turabian Style

Buhay, Daniel Jose L., Bianca Dorothy B. Brusas, John Karl A. Marquez, Paulo P. Dajao, Robelyn Z. Mangahas-Flores, Nicole Jean L. Mercado, Oliver Paul C. Halasan, Hazel Andrea L. Vidal, and Carlos Jose Francis C. Manlapat. 2025. "Soil Liquefaction in Sarangani Peninsula, Philippines Triggered by the 17 November 2023 Magnitude 6.8 Earthquake" GeoHazards 6, no. 4: 80. https://doi.org/10.3390/geohazards6040080

APA Style

Buhay, D. J. L., Brusas, B. D. B., Marquez, J. K. A., Dajao, P. P., Mangahas-Flores, R. Z., Mercado, N. J. L., Halasan, O. P. C., Vidal, H. A. L., & Manlapat, C. J. F. C. (2025). Soil Liquefaction in Sarangani Peninsula, Philippines Triggered by the 17 November 2023 Magnitude 6.8 Earthquake. GeoHazards, 6(4), 80. https://doi.org/10.3390/geohazards6040080

Article Metrics

Article metric data becomes available approximately 24 hours after publication online.
Back to TopTop