Efficient Synthesis of Novel Triazolo[5,1-b]purines by Diacetoxyiodobenzene-Mediated Oxidative Cyclization of Schiff Bases
Abstract
1. Introduction
2. Materials and Methods
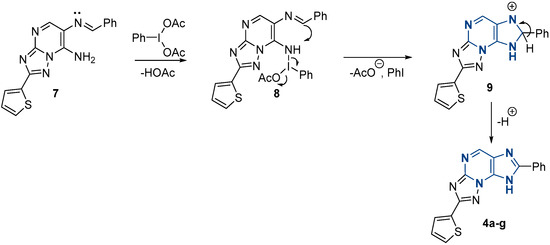
3. Results and Discussion
4. Conclusions
Supplementary Materials
Author Contributions
Funding
Data Availability Statement
Acknowledgments
Conflicts of Interest
References
- Burnstock, G. Purine and Pyrimidine Receptors. Cell. Mol. Life Sci. 2007, 64, 1471–1483. [Google Scholar] [CrossRef] [PubMed]
- Legraverend, M. Recent Advances in the Synthesis of Purine Derivatives and Their Precursors. Tetrahedron 2008, 64, 8585–8603. [Google Scholar] [CrossRef]
- Meijer, L.; Raymond, E. Roscovitine and Other Purines as Kinase Inhibitors. From Starfish Oocytes to Clinical Trials. Acc. Chem. Res. 2003, 36, 417–425. [Google Scholar] [CrossRef] [PubMed]
- Yuen, G.J.; Weller, S.; Pakes, G.E. A Review of the Pharmacokinetics of Abacavir. Clin. Pharmacokinet. 2008, 47, 351–371. [Google Scholar] [CrossRef]
- Iwasa, T.; Kishi, T.; Matsuura, K.; Wakae, O. Streptomyces novoguineensis sp. nov., an Amipurimycin Producer, and Antimicrobial Activity of Amipurimycin. J. Antibiot. 1977, 30, 1–10. [Google Scholar] [CrossRef]
- Dolečková, I.; Česnek, M.; Dračinský, M.; Brynda, J.; Voller, J.; Janeba, Z.; Kryštof, V. Synthesis and Biological Evaluation of Guanidino Analogues of Roscovitine. Eur. J. Med. Chem. 2013, 62, 443–452. [Google Scholar] [CrossRef]
- Cicenas, J.; Kalyan, K.; Sorokinas, A.; Stankunas, E.; Levy, J.; Meskinyte, I.; Stankevicius, V.; Kaupinis, A.; Valius, M. Roscovitine in Cancer and Other Diseases. Ann. Transl. Med. 2015, 3, 135. [Google Scholar] [CrossRef]
- Perry, C.M.; Wagstaff, A.J. Famciclovir: A Review of Its Pharmacological Properties and Therapeutic Efficacy in Herpesvirus Infections. Drugs 1995, 50, 396–415. [Google Scholar] [CrossRef]
- Cirelli, R.; Herne, K.; McCrary, M.; Lee, P.; Tyring, S.K. Famciclovir: Review of Clinical Efficacy and Safety. Antivir. Res. 1996, 29, 141–151. [Google Scholar] [CrossRef]
- Faulds, D.; Heel, R.C. Ganciclovir: A Review of Its Antiviral Activity, Pharmacokinetic Properties and Therapeutic Efficacy in Cytomegalovirus Infections. Drugs 1990, 39, 597–638. [Google Scholar] [CrossRef]
- Matthews, T.; Boehme, R. Antiviral Activity and Mechanism of Action of Ganciclovir. Clin. Infect. Dis. 1988, 10, S490–S494. [Google Scholar] [CrossRef] [PubMed]
- Parker, W.B. Enzymology of Purine and Pyrimidine Antimetabolites Used in the Treatment of Cancer. Chem. Rev. 2009, 109, 2880–2893. [Google Scholar] [CrossRef] [PubMed]
- Yin, J.; Ren, W.; Huang, X.; Deng, J.; Li, T.; Yin, Y. Potential Mechanisms Connecting Purine Metabolism and Cancer Therapy. Front. Immunol. 2018, 9, 1697. [Google Scholar] [CrossRef] [PubMed]
- Hatse, S.; De Clercq, E.; Balzarini, J. Role of Antimetabolites of Purine and Pyrimidine Nucleotide Metabolism in Tumor Cell Differentiation. Biochem. Pharmacol. 1999, 58, 539–555. [Google Scholar] [CrossRef]
- Di Virgilio, F.; Adinolfi, E. Extracellular Purines, Purinergic Receptors and Tumor Growth. Oncogene 2017, 36, 293–303. [Google Scholar] [CrossRef]
- Bonate, P.L.; Arthaud, L.; Cantrell, W.R.; Stephenson, K.; Secrist, J.A.; Weitman, S. Discovery and Development of Clofarabine: A Nucleoside Analogue for Treating Cancer. Nat. Rev. Drug Discov. 2006, 5, 855–863. [Google Scholar] [CrossRef]
- Furman, R.R.; Sharman, J.P.; Coutre, S.E.; Cheson, B.D.; Pagel, J.M.; Hillmen, P.; Barrientos, J.C.; Zelenetz, A.D.; Kipps, T.J.; Flinn, I.; et al. Idelalisib and Rituximab in Relapsed Chronic Lymphocytic Leukemia. N. Engl. J. Med. 2014, 370, 997–1007. [Google Scholar] [CrossRef]
- Rida, S.M.; Ashour, F.A.; El-Hawash, S.A.M.; El-Semary, M.M.; Badr, M.H. Synthesis of Some Novel Substituted Purine Derivatives As Potential Anticancer, Anti-HIV-1 and Antimicrobial Agents. Arch. Pharm. 2007, 340, 185–194. [Google Scholar] [CrossRef]
- Kang, D.; Fang, Z.; Huang, B.; Zhang, L.; Liu, H.; Pannecouque, C.; Naesens, L.; De Clercq, E.; Zhan, P.; Liu, X. Synthesis and Preliminary Antiviral Activities of Piperidine-substituted Purines against HIV and Influenza A/H1N1 Infections. Chem. Biol. Drug Des. 2015, 86, 568–577. [Google Scholar] [CrossRef]
- Ashour, F.A.; Rida, S.M.; El-Hawash, S.A.M.; ElSemary, M.M.; Badr, M.H. Synthesis, Anticancer, Anti-HIV-1, and Antimicrobial Activity of Some Tricyclic Triazino and Triazolo [4,3-e]Purine Derivatives. Med. Chem. Res. 2012, 21, 1107–1119. [Google Scholar] [CrossRef]
- Kataev, V.E.; Garifullin, B.F. Antiviral Nucleoside Analogs. Chem. Heterocycl. Comp. 2021, 57, 326–341. [Google Scholar] [CrossRef]
- Wong, X.K.; Yeong, K.Y. From Nucleic Acids to Drug Discovery: Nucleobases as Emerging Templates for Drug Candidates. CMC 2021, 28, 7076–7121. [Google Scholar] [CrossRef] [PubMed]
- Gruzdev, D.A.; Musiyak, V.V.; Levit, G.L.; Krasnov, V.P.; Charushin, V.N. Purine Derivatives with Antituberculosis Activity. Russ. Chem. Rev. 2018, 87, 604–618. [Google Scholar] [CrossRef]
- Conejo-Garcia, A.; Cruz-Lopez, O.; Gomez-Perez, V.; Morales, F.; Garcia-Rubino, M.E.; Kimatrai, M.; Nunez, M.C.; Campos, J.M. ChemInform Abstract: Synthesis of Purine Derivatives as Scaffolds for a Diversity of Biological Activities. ChemInform 2011, 42, chin.201113247. [Google Scholar] [CrossRef]
- Peacock, H.; Maydanovych, O.; Beal, P.A. N2-Modified 2-Aminopurine Ribonucleosides as Minor-Groove-Modulating Adenosine Replacements in Duplex RNA. Org. Lett. 2010, 12, 1044–1047. [Google Scholar] [CrossRef] [PubMed]
- Liang, H.; Zhu, Y.; Zhao, Z.; Du, J.; Yang, X.; Fang, H.; Hou, X. Structure-Based Design of 2-Aminopurine Derivatives as CDK2 Inhibitors for Triple-Negative Breast Cancer. Front. Pharmacol. 2022, 13, 864342. [Google Scholar] [CrossRef]
- Fernández-Cureses, G.; de Castro, S.; Jimeno, M.; Balzarini, J.; Camarasa, M. Design, Synthesis, and Biological Evaluation of Unconventional Aminopyrimidine, Aminopurine, and Amino-1,3,5-triazine Methyloxynucleosides. Chem. Med. Chem. 2015, 10, 321–335. [Google Scholar] [CrossRef]
- Griffin, R.J.; Henderson, A.; Curtin, N.J.; Echalier, A.; Endicott, J.A.; Hardcastle, I.R.; Newell, D.R.; Noble, M.E.M.; Wang, L.-Z.; Golding, B.T. Searching for Cyclin-Dependent Kinase Inhibitors Using a New Variant of the Cope Elimination. J. Am. Chem. Soc. 2006, 128, 6012–6013. [Google Scholar] [CrossRef]
- Sebris, A.; Traskovskis, K.; Novosjolova, I.; Turks, M. Synthesis and Photophysical Properties of 2-Azolyl-6-Piperidinylpurines. Chem. Heterocycl. Comp. 2021, 57, 560–567. [Google Scholar] [CrossRef]
- Gonçalves, J.M.; Gonçalves, J.N.D.; Pêra, A.S.; Senhorães, N.R.; Rodrigues, A.R.O.; Oliveira, R.; Coutinho, P.J.G.; Castanheira, E.M.S.; Dias, A.M. Highly Fluorescent 2-Aminopurine Derivatives: Synthesis, Photo-physical Characterization, and Preliminary Cytotoxicity Evaluation. Eur. J. Org. Chem. 2023, 26, e202300176. [Google Scholar] [CrossRef]
- Jean, J.M.; Hall, K.B. 2-Aminopurine Electronic Structure and Fluorescence Properties in DNA. Biochemistry 2002, 41, 13152–13161. [Google Scholar] [CrossRef] [PubMed]
- Rachofsky, E.L.; Osman, R.; Ross, J.B.A. Probing Structure and Dynamics of DNA with 2-Aminopurine: Effects of Local Environment on Fluorescence. Biochemistry 2001, 40, 946–956. [Google Scholar] [CrossRef] [PubMed]
- Tenor, E.; Kröger, C. Über 1.2.4-Triazole, VII. Synthese Und Reaktivität von 7-Amino-s-triazolo [1.5-a]Pyrimidonen-(5). Chem. Ber. 1964, 97, 1373–1382. [Google Scholar] [CrossRef]
- Savateev, K.V.; Ulomsky, E.N.; Borisov, S.S.; Voinkov, E.K.; Fedotov, V.V.; Rusinov, V.L. 8-Alkyl[1,2,4]Triazolo [5,1-b]Purines. Chem. Heterocycl. Comp. 2014, 50, 880–887. [Google Scholar] [CrossRef]
- Gazizov, D.A.; Gorbunov, E.B.; Rusinov, G.L.; Ulomsky, E.N.; Charushin, V.N. A New Family of Fused Azolo [1,5-a]Pteridines and Azolo [5,1-b]Purines. ACS Omega 2020, 5, 18226–18233. [Google Scholar] [CrossRef]
- Neymash, A.O.; Ulomsky, E.N.; Fedotov, V.V.; Aminov, S.V.; Lyapustin, D.N.; Gorbunov, E.B.; Ishimnikov, V.A.; Slepukhin, P.A.; Rusinov, V.L. Reconstructive Methodology in the Synthesis of 2-Aminopurine. Molecules 2023, 29, 134. [Google Scholar] [CrossRef]
- Gazizov, D.A.; Fedotov, V.V.; Gorbunov, E.B.; Ulomskiy, E.N.; Yeltsov, O.S.; Rusinov, G.L.; Rusinov, V.L. Effective Method for the Synthesis of Azolo [1,5-a]Pyrimidin-7-Amines. Chem. Heterocycl. Comp. 2019, 55, 573–577. [Google Scholar] [CrossRef]
- Gazizov, D.A.; Fedotov, V.V.; Chistyakov, K.A.; Gorbunov, E.B.; Rusinov, G.L.; Charushin, V.N. Access to Azolopyrimidine-6,7-Diamines as a Valuable “Building-Blocks” to Develop New Fused Heteroaromatic Systems. Tetrahedron 2021, 89, 132172. [Google Scholar] [CrossRef]
- Taher, A.; Smith, V.J. N.-(4-Aminopyrimidin-5-Yl)-4-Methyl-N.-(4-Methylphenylsulfonyl)Benzenesulfonamide. Acta Crystallogr. E Struct. Rep. Online 2012, 68, o3362. [Google Scholar] [CrossRef]
- Ratsep, P.C.; Pless, R.C. Hydrolysis of 2-Aminopurine Deoxyribonucleoside in Neutral Solution. J. Org. Chem. 1988, 53, 3241–3246. [Google Scholar] [CrossRef]
- Undheim, K.; Benneche, T. Pyrimidines and Their Benzo Derivatives. In Comprehensive Heterocyclic Chemistry II; Elsevier: Cambridge, MA, USA, 1996; pp. 93–231. ISBN 9780080965185. [Google Scholar]
- Das, S.; Sahana, A.; Banerjee, A.; Lohar, S.; Safin, D.A.; Babashkina, M.G.; Bolte, M.; Garcia, Y.; Hauli, I.; Mukhopadhyay, S.K.; et al. Ratiometric Fluorescence Sensing and Intracellular Imaging of Al3+ Ions Driven by an Intramolecular Excimer Formation of a Pyrimidine–Pyrene Scaffold. Dalton Trans. 2013, 42, 4757. [Google Scholar] [CrossRef] [PubMed]
- Batista, V.S.; Crabtree, R.H.; Konezny, S.J.; Luca, O.R.; Praetorius, J.M. Oxidative Functionalization of Benzylic C–H Bonds by DDQ. New J. Chem. 2012, 36, 1141. [Google Scholar] [CrossRef]
- Fedotov, V.V.; Ulomsky, E.N.; Belskaya, N.P.; Eltyshev, A.K.; Savateev, K.V.; Voinkov, E.K.; Lyapustin, D.N.; Rusinov, V.L. Benzimidazoazapurines: Design, Synthesis, and Photophysical Study. J. Org. Chem. 2021, 86, 8319–8332. [Google Scholar] [CrossRef] [PubMed]
- Yoshimura, A.; Zhdankin, V.V. Recent Progress in Synthetic Applications of Hypervalent Iodine(III) Reagents. Chem. Rev. 2024, 124, 11108–11186. [Google Scholar] [CrossRef]
- Sun, X.; Yu, M.; Mu, X.; Zhou, Z.; Wang, L.; Liu, J.; Liu, X. A Facile Approach to [1,2,4]Triazolo [3,4-i]Purine via PIDA Oxidation Ring-closing Reaction. J. Heterocycl. Chem. 2021, 58, 2270–2279. [Google Scholar] [CrossRef]








| Entry | Solvent 2 | Catalyst | Temp (°C) | Yield (%) 3 |
|---|---|---|---|---|
| entry 1 | MeOH | - | reflux | 45 |
| entry 2 | EtOH | - | reflux | 39 |
| entry 3 | MeCN | - | reflux | 33 |
| entry 4 | DMF | - | 120 | 48 |
| entry 5 | MeOH | MeSO3H (10% mol) | reflux | 62 |
| entry 6 | EtOH | MeSO3H (10% mol) | reflux | 47 |
| entry 7 | DMF | MeSO3H (10% mol) | 120 | 86 |
| entry 8 | DMF | MeSO3H (15% mol) | 120 | 86 |
| Entry | Oxidant | Solvent 2 | Temp (°C) | t (h) | Yield (%) 3 |
|---|---|---|---|---|---|
| entry 1 | Pb3O4 | MeOH | - | 3 | - |
| entry 2 | DDQ | EtOH | - | 12 | - |
| entry 3 | CuCl2 | MeCN | - | 4 | - |
| entry 4 | Cu(CH3COO)2 | DMF | - | 4 | - |
| entry 5 | H2O2 | - | 90 | 5 | - |
| entry 6 | MnO2 | DMF | 100 | 3 | - |
| entry 7 | PCC | AcOH | 100 | 6 | - |
| entry 8 | PCC | DMF | 100 | 4 | 27 |
| entry 9 | PhI(OAc)2 | HCOOH | 100 | 6 | 23 |
| entry 10 | PhI(OAc)2 | TFA | r.t | 6 | 60 |
Disclaimer/Publisher’s Note: The statements, opinions and data contained in all publications are solely those of the individual author(s) and contributor(s) and not of MDPI and/or the editor(s). MDPI and/or the editor(s) disclaim responsibility for any injury to people or property resulting from any ideas, methods, instructions or products referred to in the content. |
© 2024 by the authors. Licensee MDPI, Basel, Switzerland. This article is an open access article distributed under the terms and conditions of the Creative Commons Attribution (CC BY) license (https://creativecommons.org/licenses/by/4.0/).
Share and Cite
Neymash, A.O.; Fedotov, V.V.; Ulomsky, E.N.; Lyapustin, D.N.; Aminov, S.V.; Rusinov, V.L. Efficient Synthesis of Novel Triazolo[5,1-b]purines by Diacetoxyiodobenzene-Mediated Oxidative Cyclization of Schiff Bases. Reactions 2024, 5, 1089-1100. https://doi.org/10.3390/reactions5040058
Neymash AO, Fedotov VV, Ulomsky EN, Lyapustin DN, Aminov SV, Rusinov VL. Efficient Synthesis of Novel Triazolo[5,1-b]purines by Diacetoxyiodobenzene-Mediated Oxidative Cyclization of Schiff Bases. Reactions. 2024; 5(4):1089-1100. https://doi.org/10.3390/reactions5040058
Chicago/Turabian StyleNeymash, Artyom O., Victor V. Fedotov, Evgeny N. Ulomsky, Daniil N. Lyapustin, Semen V. Aminov, and Vladimir L. Rusinov. 2024. "Efficient Synthesis of Novel Triazolo[5,1-b]purines by Diacetoxyiodobenzene-Mediated Oxidative Cyclization of Schiff Bases" Reactions 5, no. 4: 1089-1100. https://doi.org/10.3390/reactions5040058
APA StyleNeymash, A. O., Fedotov, V. V., Ulomsky, E. N., Lyapustin, D. N., Aminov, S. V., & Rusinov, V. L. (2024). Efficient Synthesis of Novel Triazolo[5,1-b]purines by Diacetoxyiodobenzene-Mediated Oxidative Cyclization of Schiff Bases. Reactions, 5(4), 1089-1100. https://doi.org/10.3390/reactions5040058

