Next Article in Journal
Analysis and Mitigation of Vibrations in Front Loader Mechanisms Using Hydraulic Suspension Systems
Previous Article in Journal
Spectral-Spatial Fusion for Soybean Quality Evaluation Using Hyperspectral Imaging
 
 
Font Type:
Arial Georgia Verdana
Font Size:
Aa Aa Aa
Line Spacing:
Column Width:
Background:
Article

Comparative Life Cycle Assessment of Animal Feed Formulations Containing Conventional and Insect-Based Protein Sources

by
Anna Vatsanidou
1,
Styliani Konstantinidi
1,*,
Eleftherios Bonos
2 and
Ioannis Skoufos
2
1
Department of Agricultural Development, Agri-Food & Management of Natural Resources, National and Kapodistrian University of Athens, 34400 Evia, Greece
2
Laboratory of Animal Production, Nutrition and Biotechnology, Department of Agriculture, School of Agriculture, University of Ioannina, 47132 Arta, Greece
*
Author to whom correspondence should be addressed.
AgriEngineering 2025, 7(9), 275; https://doi.org/10.3390/agriengineering7090275
Submission received: 25 July 2025 / Revised: 9 August 2025 / Accepted: 13 August 2025 / Published: 26 August 2025
(This article belongs to the Section Sustainable Bioresource and Bioprocess Engineering)

Abstract

The environmental burden of widely used protein sources in animal feeds, such as soybean and fishmeal, has raised concerns about the sustainability of current livestock production systems. In response, alternative protein sources are being explored, with insect meal emerging as a promising candidate. This study conducted a comparative Life Cycle Assessment (LCA) of four compound pig feed formulations differing in protein composition, incorporating soybean meal, fishmeal, and Tenebrio molitor (insect) meal. The LCA followed ISO 14040/44 standards and applied both mass-based and protein-based functional units (FUs) to examine how FU choice influences environmental outcomes. Results showed that crop-derived ingredients, particularly soybean meal, drove most environmental burdens due to land use change and fertilizer inputs. Replacing soybean with insect meal led to impact reductions in key environmental categories. Insect meal’s scalability, efficient land use, and potential waste valorisation supported its role as a sustainable alternative. The study also highlighted key sustainability issues not assessed by LCA, such as overfishing and ecosystem disruption, associated with fishmeal. Overall, insect meal appeared to be a strong replacement for soybean and fishmeal, with soy substitution proving key to reducing environmental burdens. Finally, the protein-based FU was more relevant given the study’s nutritional focus.

1. Introduction

Agriculture is a major contributor to global greenhouse gas (GHG) emissions, accounting for approximately 11% of total emissions in the European Union (EU) [1]. As part of the European Green Deal and the “Farm to Fork” strategy, the EU aims for a 50% reduction of GHG emissions from agriculture by 2030, compared to 1990 levels [2]. Achieving these targets requires not only shifts in agricultural practices but also the re-evaluation of feed ingredient choices, especially for livestock production, which presents a significant impact on global warming [3].
Livestock production is heavily reliant on compound feeds formulated from conventional protein-rich ingredients such as soybean meal and fishmeal. These ingredients, while nutritionally valuable, are associated with severe environmental burdens [4]. Soybean production, particularly in Latin America, contributes to deforestation, land-use change [5], and consequently, biodiversity loss. In addition, exporting soy products to European countries brings additional environmental impacts due to long-distance transport. On the other hand, fishmeal production has been linked to marine ecosystem degradation, overfishing [6], and the depletion of non-target and juvenile fish species, many of which are sourced from wild or illegal and unregulated fisheries [7]. In response to these challenges, there is an increasing interest in diversifying protein sources used in animal feeds. Among the alternatives, insect meal has emerged as a promising ingredient due to its favourable nutritional and environmental profile [8]. Insects contain up to 60–70% protein (dry matter), they are rich in essential amino acids, lipids, vitamins, and minerals [9], and suitable for inclusion in pig, poultry, and aquaculture diets. Insects are efficient feed converters [10] and can be reared on organic side-streams, such as food waste and agro-industrial by-products, contributing to circular bioeconomy practices [4]. Moreover, several studies have highlighted the potential health-promoting effects of edible insects, including antioxidant activity, antimicrobial properties, and immune system enhancement [9,11]. These benefits are associated with bioactive compounds such as chitin, antimicrobial peptides, and lauric acid, which can support gut health and enhance resistance to pathogens [9].
This study specifically focused on the inclusion of Tenebrio molitor (Mealworm) larvae meal in pig diets, a species that has been widely investigated and proven safe for animal consumption. Several studies in poultry, pigs, and other monogastric animals confirm that mealworm addition does not negatively affect gut morphology, organ health, or animal performance, even at relatively high dietary levels, thus supporting its suitability as a safe protein source in swine nutrition [12,13,14]. In addition to its favourable nutritional profile, Tenebrio molitor was selected for this study due to its regulatory approval to be used in animal feed within the EU (Regulation EU, 2017/893), the availability of local production facilities and previous research experience. Notably, research on weaning pigs reported maintained or even improved feed intake following the inclusion of insect meal [15], while additional studies in various animal species demonstrated good palatability and successful replacement of 25–100% of conventional protein sources, such as soybean meal and fishmeal [16]. Furthermore, the increasing investment in automated insect production systems [17] and the scientific consensus on their safety, as highlighted by EFSA [18], support the practical and scalable use of insect meal in modern animal production systems.
From an environmental standpoint, insect rearing generally requires less land and water than cultivating crops [19] and is typically carried out in vertically integrated facilities [20], making it feasible even in urban settings. Rearing insects for edible protein production is considered as a more sustainable alternative compared to conventional livestock (e.g., beef, pork, chicken), as it results in significantly lower GHG emissions, has lower land use requirements and comparable energy demands [21]. Insects have the potential to represent a more environmentally sustainable option for animal protein production, particularly in terms of reducing GHG and ammonia (NH3) emissions [22]. However, rearing insects is not impact-free since waste and emissions including CO2, CH4, NH3 and N2O arise from their rearing process [22] that should also be accounted for. Despite this, studies indicate that the overall environmental footprint of insect-based protein is significantly lower than that of other protein sources [21], especially when reared on low-impact substrates.
Sustainability in food systems is multifaceted and not always straightforward. Some feed ingredients may perform well in one impact category but poorly in others. To capture this complexity, this study evaluates a broad set of environmental impact categories, including global warming, acidification, eutrophication, water consumption and land use, to provide a more holistic comparison of feed formulation performance. Nonetheless, given the EU’s clear prioritization of climate change mitigation, special attention was given to the global warming potential (GWP) of the feeds.
Another important methodological consideration is the choice of FU in LCAs. While many studies assess mass-based FUs, this approach does not account for the nutritional value of feed formulations. Protein content is a key function of animal feed, and thus a protein-based FU is of high relevance. Given the variation in protein concentration and quality across different ingredients, this study employed both mass-based and protein-based FUs to capture not only the environmental but also the nutritional performance from the feeds production.
Therefore, the aim of this study was to assess the environmental profiles of four compound pig feed formulations differing in protein composition, using a dual-FU LCA approach. Special focus was given to understanding the contribution of individual feed ingredients—particularly soybean meal, fishmeal, and insect meal—to the total impact scores, and to explore whether the inclusion of alternative protein sources can improve the sustainability performance of the feeds.

2. Materials and Methods

The primary objective of this study was to assess the environmental performance of four compound pig feed formulations that differ in their protein composition and content, and to investigate how shifts in ingredient composition influence environmental trade-offs across multiple impact categories. Rather than identifying an optimal formulation, the study aimed to uncover the underlying drivers of environmental impacts associated with the ingredients used, and to analyse how these are reflected in different FUs. This assessment included well-known protein ingredients such as soybean meal and fishmeal, as well as alternative protein sources like insect meal. In addition to environmental impacts, the study explicitly accounted for the nutritional quality of each feed through the consideration of their protein content. Accordingly, the environmental assessment was performed using two different functional units: mass-based and protein-based, with results presented for both.
The study followed the attributional model of LCA, in accordance with ISO 14040 and 14044 standards [23,24]. Moreover, it evaluated the cradle-to-feed-mill-gate environmental burdens associated with each feed formulation. The system model adopted was “allocation based on mass and nutritional equivalence”, and the foreground system was situated in Greece, representing local production and formulation of compound pig feeds.
To enable a comprehensive comparison among feed formulations, two different FUs were applied. The first was the mass-based FU, defined as “the production of 1 kg of compound pig feed”. Although this FU is commonly used in similar studies, it does not account for the nutritional value of the feeds, particularly in terms of protein content. To address this, a second, protein-based FU was used, defined as “the amount of each feed required to provide 1 kg of digestible edible protein”. The use of this FU has enabled the correction based on the nutritional output of each feed and, which is crucial for comparing feeds with varying protein contents. The protein content of each feed (expressed in g per kg) was estimated based on the nutritional composition of its ingredients, using values obtained from Feedipedia database [25,26,27,28,29,30] presented in Table 1. These values were used to adjust the environmental results when impacts were expressed per kilogram of protein. By presenting the environmental impacts using both FUs, the study aimed to provide a more comprehensive view of feed performance, taking into account both the mass and nutritional content of the formulations.
The system boundaries of the study included all processes from the cultivation and processing of feed ingredients to the final blending and formulation of the compound feed at the feed mill. In line with a “cradle-to-gate” approach, the system covered agricultural production, raw material processing, transport to the mill facility, and the formulation of the final feed product, as illustrated in Figure 1.
To model the production of insect meal derived from Tenebrio molitor (mealworms), a hybrid approach was adopted, combining background data with locally adapted foreround information (Table S1). A process for insect larvae rearing from the AGRIBALYSE v3.1 was used as a base [31] since this includes important inventory flows such as manure production and emissions from insect metabolism, elements that are considered critical for a comprehensive assessment. To enhance representativeness, the model was adapted using primary data collected from a mealworm-rearing facility in Greece. Adjustments included the replacement of the default energy inputs with actual electricity consumption values reported by the facility. These values primarily reflected energy requirements for maintaining optimal rearing conditions, as well as for post-rearing operations such as drying, milling, and storage of the insect meal. Additionally, the electricity input was modelled in the adapted process, using the Greek electricity mix. The insect diet was modelled as wheat bran, in line with the feed substrate used at the rearing facility. The insect meal considered in this study was produced using a dry processing method, consisting of two main stages: dehydration and milling of the larvae. This approach typically requires elevated energy inputs compared to wet processing methods, particularly during the drying phase, leading to increased GWP per unit mass of product. However, as the resulting product has a higher protein concentration, a smaller quantity is required to meet nutritional needs, which can partially offset the environmental burden when results are expressed on a mass basis.
All transport processes, whether for local or imported ingredients, were included and calculated having Greece as the final destination. This ensures a consistent and location-specific basis for environmental impact estimation.
The Life Cycle Inventory (LCI) for each feed formulation was developed using a combination of primary and secondary data sources (Table 2). Primary data were collected for the insect meal production system in Greece, including operational energy use, substrate input, processing yields, and production outputs. These data were considered highly representative of current practices and were used without modification in the modelling. Secondary data for conventional feed ingredients were obtained from the Agri-footprint 5.0 database, which provides regionally specific and representative datasets. Greek-origin agricultural ingredients, such as maize, barley, and wheat bran, were modelled using national data, while soybean meal and soybean oil imported from Argentina were modelled based on Argentinian production systems. Likewise, fishmeal which was imported from Denmark, was represented using country-specific datasets from the same database. Transport processes were also modelled using Agri-footprint database [32] and included empty return assumptions to reflect more realistically the logistics conditions. Distances were estimated using the EcoTransit World tool [33] and were complemented with fixed assumptions for inland transports within each country, in an effort to represent typical distances from production sites to ports and from ports to the feed manufacturing site. All feed formulations included additional ingredients such as premixed vitamins and trace elements, zinc oxide, benzoic acid, monocalcium phosphate, and salt. The quantities of these additives were identical across all feed scenarios and were modelled using generic European datasets available in Agri-footprint database. Only the energy-related processes were modelled using the Ecoinvent 3.1 database [34], in order to complement the Agri-footprint datasets.
Four distinct feed scenarios were studied to explore the environmental impact of different protein sources (Table 2). The baseline scenario (F1) included a combination of soybean meal and fishmeal as conventional protein sources. The second scenario (F2) replaced fishmeal with insect meal while maintaining soybean meal as a co-source. The third scenario (F3) relied solely on soybean meal and eliminates both fishmeal and insect meal and the final scenario (F4) introduced insect meal as a partial (50%) substitute for soybean meal.
All four feed formulations were designed to meet the standard nutritional requirements for pigs’ growth, and their differences primarily lie in their protein source composition. Protein concentrations per kg of feed ranged from 150.4 to 220.7 g depending on the scenario and these values were used in the protein-based impact calculations.
Environmental impact assessment was performed using the ReCiPe 2016 Midpoint (H) v1.08 method, which allows for detailed evaluation of multiple environmental categories. The impact categories assessed in this study include Climate Change, Fine Particulate Matter Formation, Terrestrial Acidification, Freshwater Eutrophication, Land Use, and Water Use. Those categories are identified as most relevant for feed assessment in the Product Environmental Footprint Category Rules (PEFCR) for animals’ feed [35]. Although the PEF method was not applied in this study, the inclusion of these categories ensures consistency with EU-recommended environmental priorities for feed products. All impact results were generated and analyzed in SimaPro 10.1 and are presented for both mass and protein-based FUs, while all graphical outputs were created using Microsoft Excel (Microsoft Office 365).
To ensure transparency in the modelling approach, the assumptions related to transport processes are described. Both inland and international transport processes were modelled with datasets from the Agri-footprint 5.0 database using the “empty return” option available. This approach was followed to avoid attributing the environmental burden of return trips to the studied product, as return journeys typically involve unrelated cargo and belong to different transport systems. Outbound trips were assumed to operate at full load capacity (100%), representing complete utilization of the means space. For road transports, modern heavy-duty trucks were selected, representative of recent European emission standards. For sea transport, standard bulk cargo vessels were selected to model the respective processes. Inland and international transport distances were calculated using the EcoTransit World tool [33] and were supplemented with fixed average values to represent the domestic supply chain context in each country: 400 km in Argentina, 100 km in Denmark, and 150 km in Greece. This was done to cover the distance from production sites to ports (or borders), and from ports to the feed manufacturing facility.

3. Results

The environmental impacts of the four feed formulations were evaluated and compared across six impact categories, considering both mass-based and protein-based FUs. The results are presented per category, highlighting key differences in formulation performance and the influence of FU selection.

3.1. Global Warming Potential (GWP)

The results for GWP, expressed in kg CO2-eq, are presented in Figure 2 for the mass-based and protein-based FUs, respectively. Across both FUs, the ranking of the four feed formulations remains consistent: F2 exhibited the highest GWP, followed by F1, F3, and finally F4, which showed the lowest impact in this category. The total GWP of each feed was mainly determined by the feed’s content of soy products (soybean meal and soybean oil) and, to a lesser extent, of maize. F1 and F2 feeds, which contained high quantities of both soy products, had significantly higher scores compared to F3 and F4. In contrast, F4, which partially replaced soybean meal with insect meal while containing no soybean oil, had the lowest impact. Among all the ingredients, soybean meal was the dominant contributor to GWP, followed by maize and soybean oil. This evidences a potential association between soy products and increased climate change impacts, a relationship that is further explored in the Discussion section. The contribution of transport processes, fish meal, insect meal and additional ingredients was relatively small compared to the main contributors, especially under a mass-based approach. It is important to highlight that insect meal, despite its high nutritional value [4,19], showed a relatively low environmental impact in this category, a finding that has been confirmed by other studies, too [21,22,36].

3.2. Particulate Matter Formation Potential (PMFP)

The results for the PMFP of the four feeds, expressed in kg PM2.5-equivalent are presented in Figure 3. In contrast to the GWP category, the mass-based FU impact scores appeared relatively similar across the feed formulations. This limited differentiation was mainly due to a compensatory relationship between maize and barley content in each formulation. Feeds that contained lower amounts of maize (i.e., F2 and F3) tended to have higher barley contents and vice versa (i.e., F1 and F4). Despite the similarities in the context of the mass-based FU, a clear distinction emerged when the protein-based FU was used. The F2 feed, which had the highest protein content and therefore the lowest feed requirement, presented the lowest impact in this category. In contrast, feed F4, with the lowest protein content and therefore the highest feed requirement, showed the highest score. These findings illustrated how differences in protein content were reflected more clearly when using a protein-based functional unit.

3.3. Freshwater Eutrophication Potential (FEP)

The environmental performance of the four feed formulations in terms of Freshwater Eutrophication Potential (FEP) is presented in Figure 4. Maize emerged as the primary contributor to FEP in most formulations, particularly in F3 and F4, followed by barley, which contributed notably in F1 and F2. Insect meal also showed a significant contribution in F2 and F4, driven by its higher inclusion levels. Other ingredients, such as wheat, soybean meal, and additives, contributed to a lesser extent, while fish meal, soybean oil, and transport processes had a minor impact.

3.4. Terrestrial Acidification Potential (TAP)

The results for TAP indicated that when the mass-based FU was used (Figure 5), the four feed formulations showed overall impact scores with only slight variations. This can be explained by the fact that barley and maize, which appeared to be the main contributors to terrestrial acidification, were present in similar overall amounts across the four formulations. In addition, wheat also showed a notable contribution to the overall acidification potential, especially in F3 and F4, where its share was higher. When considering the protein-based FU (Figure 5), the classification of feeds was different. The amount of feed required to obtain 1 kg of protein became a key factor. Thus, scores were scaled according to the mass of feed intake required, placing protein-rich feeds (i.e., F2) at the lowest impact score and less protein-rich feeds (i.e., F4) at the highest. The contributions of transport processes, fishmeal, insect meal, and additives were relatively minor, while the impact is largely shaped by the presence of cereals with high acidification potential, particularly barley, maize, and wheat.

3.5. Water Consumption Potential (WCP)

The ranking of the feed scenarios in terms of their WCP remained consistent across the two FU’s perspectives (Figure 6). F2 presented the lowest water consumption potential while F3 and F4 showed the highest. This consistency suggested that the ingredient composition, particularly the inclusion of maize, was the primary driver of differences in this case. Across all formulations, the impact was dominated by maize and feeds with higher maize content (such as F3 and F4) presented substantially higher water use, while those with lower (notably F2), showed reduced values. This observation highlighted maize’s association with high irrigation requirements [37,38,39]. Other ingredients, including soybean meal, wheat, and all transport-related processes, contributed minimally to the overall impact in this category.

3.6. Agricultural Land Occupation Potential (ALOP)

The ALOP of the four feed formulations under both the mass-based and the protein-based FUs is presented in Figure 7. In both cases, the observed impacts were driven almost exclusively by the content of cereals and legumes, such as maize, barley, wheat, and soybean meal. Other ingredients, including insect meal, fishmeal, additives, and transport processes, contributed negligibly to land use scores. This highlighted the integral link between crops and land occupation. On the contrary, insect meal production was significantly less land-intensive, as it took place in enclosed facilities using vertical rearing structures [4,19,20,21], which allowed for higher space efficiency and reduced land requirements. This came in line with the observation that F4, which included insect meal as partial replacement of soybean meal, exhibited the lowest land occupation impact in both FU perspectives. This trend did not hold for F2, which also contained insect meal as in that case, the inclusion of insect meal came with a simultaneous increase in soybean products content.

4. Discussion

4.1. GHG Breakdown and Protein Sources Comparison

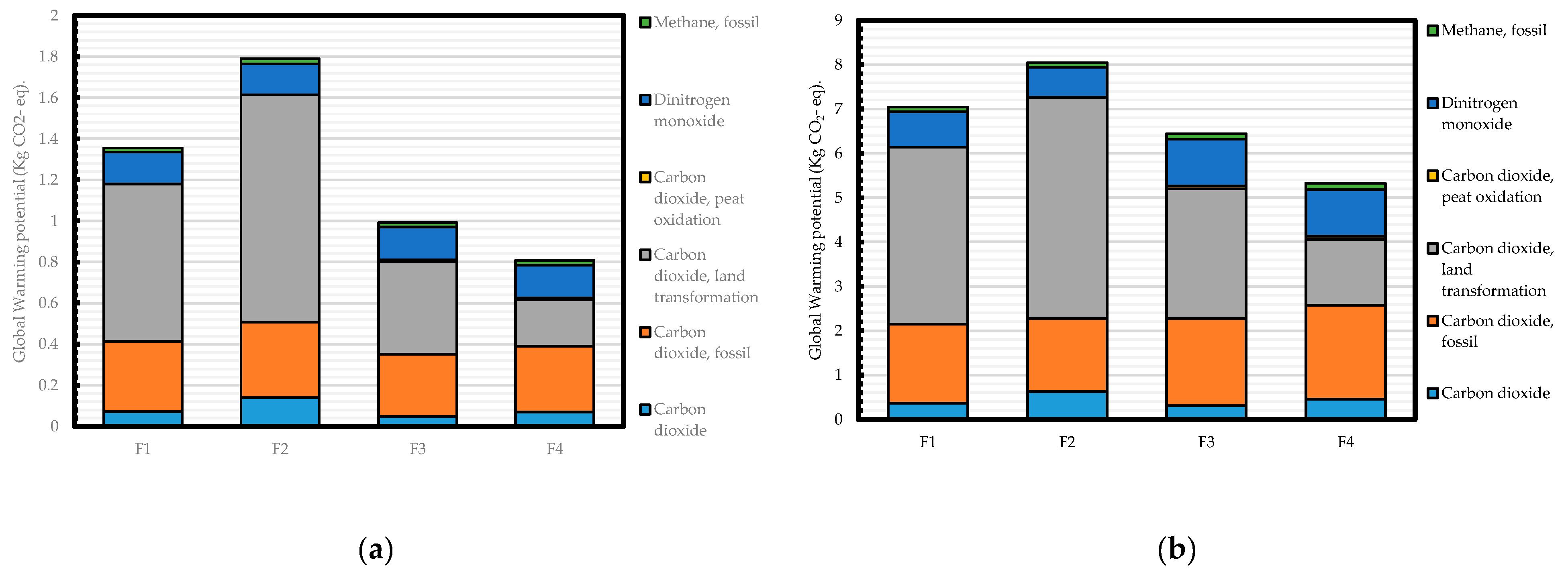
The GWP results across all feed formulations revealed that GHG emissions were predominantly driven by the inclusion of soybean meal, soybean oil, and maize in the feeds. These ingredients collectively contributed the largest share to the total impact in this category (Figure 2). A more detailed breakdown of GHG emissions by gas type shown in Figure 8 reveals that carbon dioxide from land transformation was the dominant contributor in three out of four feed formulations, especially in F1 and F2. This was consistent with the use of imported soybean meal and oil, whose production in South America is associated with deforestation and land-use change practices [5,40,41]. F2, which contained the highest amount of soybean-based ingredients (oil and meal), presented the largest share of land transformation-related CO2, explaining its leading position in GWP. The second most important factor was fossil CO2, which was largely driven by the energy-intensive cultivation and processing of maize and soybean crops. This included emissions from fertilizers production, the use of agricultural machinery and the use of transport fuels [42]. Nitrous oxide (N2O) emissions also accounted for a significant part of the GWP in all scenarios, especially in scenarios F3 and F4. These emissions, according to literature, are likely associated with the application of nitrogen-based fertilizers to maize and barley crops [42,43], which were largely found in these formulations. The lower GWP observed in F4 with reduced soy content and with partial substitution of this ingredient by alternative protein sources, such as insect meal, underscored the environmental benefit of replacing soy, particularly when the alternatives are less carbon-intensive and not associated with environmentally disruptive processes like land use change and deforestation. This aligns with findings from comparative LCA studies which reported that the production of insect-based proteins, such as Tenebrio molitor, entails significantly lower greenhouse gas emissions compared to conventional animal protein sources, further supporting the inclusion of insect meal as a sustainable ingredient in feed formulations [21].
In an effort to improve the interpretation of the role of each protein source in shaping the GWP of the feed, the individual GWP scores of each protein source were compared both on a mass basis (1 kg of ingredient) and on a nutritional value basis (1 kg of protein) (Figure 9). As illustrated in the Figure 9, soybean meal showed significantly higher GWP per kg of product compared to insect meal and fish meal. This is mostly due to the emissions associated with the cultivation of the soybean crop, that includes land use change processes [44] and intensive use of fertilizers [42]. When the results were normalized to reflect the GWP per kg of digestible protein, the difference observed was even more interesting. The discrepancy observed highlighted the effectiveness of insect meal and fishmeal in providing nutritional value with reduced environmental impact, strengthening their incorporation into feed formulations. These results underlined that replacing soy-derived proteins with alternatives, such as insect meal, can actively reduce the climate impact of animal feeds without compromising protein availability.

4.2. Process Contribution Analysis Across Impact Categories

A detailed contribution analysis was conducted to understand how the overall environmental impacts of each feed formulation were shaped. The breakdown of each formulation across the five selected impact categories and under both FUs revealed which ingredients and processes were the main drivers of each environmental burden.
In the case of PMFP, the results (Figure 3) showed that emissions were largely driven by the inputs of cereals cultivations, which was attributed to the fertilization-related activities linked to the cultivation of wheat, maize and barley. These three cereals consistently dominated the impact profiles across all feed formulations, as they were present in substantial amounts and are associated with emissions of ammonia (NH3) and nitrogen oxides (NOx) from fertilizer use [39]. Smaller but consistent contributions also originated from the inclusion of additives, particularly under the protein-based FU where feed quantities differed significantly. This has been confirmed in a recent study, which found that substances, such as amino-acids, mineral supplements and vitamins, although are met is small quantities, they present significant environmental impacts due to the energy-intensive industrial processes involved in their production [45].
FEP, depicted in Figure 4, was also predominantly influenced by cereals inclusion, especially maize, with additional notable contributions from insect meal, where this was present. For this impact category, feed formulations with higher quantities of maize or insect meal revealed increased eutrophication scores. In both the insect meal production model and the cultivation process of maize, the Greek electricity mix was used to represent energy inputs. This dataset reflects an older national energy profile characterized by a high share of lignite-based electricity production. The elevated FEP scores observed for these components were to a significant extent attributable to emissions associated with this electricity mix. In the case of maize, a significant portion of electricity was typically consumed during irrigation, which is common in Greek agricultural practices. In the case of insect meal production, the electricity input represented the energy requirements of the rearing facility. As Greece is currently undergoing a transition toward renewable energy sources [46], the observed results may have overestimated the actual impact and could be improved with the use of more recent energy data.
Regarding TAP (Figure 5), the pattern was similar to PMFP. Fertilizer-derived ammonia emissions from cereal cultivation dominated the impacts, with maize and barley again being the leading contributors. Soybean meal and oil contributed significantly, while insect and fish meal remained minor contributors. Under the protein-based FU, differences were more pronounced due to the varying mass required to meet the same protein content.
WCP, as shown in Figure 6, was almost entirely driven by maize cultivation. Maize’s high irrigation demands were reflected in its contribution to water use across all feed formulations [39]. Formulations F3 and F4, which contained higher maize content, consistently exhibit the highest water consumption scores in both FUs.
Finally, for ALOP (Figure 7), the largest contributors were soybean meal and oil, barley, and maize, reflecting the land-intensive nature of crop-based protein sources. In contrast, insect meal had minor contribution to land occupation due to its land-efficient production system [19,21]. Notably, F4, which was the only formulation with high insect meal content and reduced soybean inclusion, displayd the lowest score in this category. This observation aligned with existing literature, which highlights that insect protein production is considerably less land-intensive compared to conventional protein sources [21]. Moreover, soybean cultivation has been identified as a key driver of land use change, particularly in regions like Brazil, where expansion of soybean farming often occurs at the expense of pasturelands and forested areas [44]. Therefore, replacing soybean can contribute to improved land use efficiency in animal feed production. These findings support the development of insect-based protein ingredients as a nutritionally valuable and land-efficient alternative with low spatial requirements that is even feasible in urban environments.
The above analysis highlighted that across most impact categories, maize and barley cultivations and soybean meal production drove the majority of the environmental burdens, primarily due to their agricultural inputs and land requirements. Transport, additives, and alternative proteins like insect and fish meal contributed to a lesser but still relevant extent, depending on the impact category studied.

4.3. Balancing Effects of Maize and Barley

An interesting observation arose when comparing the four feed formulations on the mass-based FU in the categories of TAP and PMFP. The overall scores in these categories appeared similar across all formulations, which implied that there is a balancing effect. This pattern contrasted with the results under the protein-based FU, where the impact scores varied due to the different amounts of feed required to provide 1 kg of digestible protein. The similarities observed in the mass-based comparisons led to an investigation of the factors that might cause this balance.
A clear balance between maize and barley contributions to the impact categories of PMFP and TAP is visually evident in Figure 3 and Figure 5. In each case, the increase in one cereal’s inclusion was offset by a decrease in the other, resulting in relatively stable total impact scores across all four feed formulations. To further explore this, a comparative analysis of 1 kg of maize and 1 kg of barley was conducted using SimaPro. As shown in Figure 10, the scores for each crop in both PMFP and TAP are indeed very similar. This finding confirmed that maize and barley individually presented comparable burdens per kilogram of product in these two categories, with fertilization being the dominant contributor in both cases. Notably, machinery use, and energy consumption also contributed to PMFP, especially in the case of barley.
To understand this balance, it is important to consider the environmental behavior of these cereals in relation to the specific drivers of acidification and particulate matter emissions. NH3 emissions from fertilizer use are a primary contributor to acidification [47], while both NOx and NH3 released during fertilizer application contribute to particulate matter formation [48]. The impacts of maize and barley in these categories were driven by the similar agricultural activities followed for their cultivation. Thus, the combined contribution of the two cereals remained relatively constant across the formulations when assessed on a mass-based FU, concealing differences that only became apparent when nutritional value was taken into account.

4.4. Relevance of FU Choice

The assessment of two FUs was carried out in recognition of the fact that the way in which the “function” of a feed is defined, plays a key role in the interpretation of LCA results. As shown in the results section, the choice of FU led to significant changes in the impact scores and the relative ranking of feed formulations in different impact categories. For example, some categories, such as TAP and PMFP, showed similar scores for all feeds when mass-based FU was used, whereas strong differences appeared in the protein-based FU framework, due to the different protein concentrations and required intakes.
The above outcome reflects a broader sensitivity in food LCAs, as documented in the literature. FU selection can drastically alter the environmental profiles and rankings of food products, especially when comparing products with different nutrient characteristics [49]. In addition, the use of a diet-based FU, such as protein content, can shift comparative results and reveal environmental burdens that are concealed when a single, mass-based FU is used [50]. The above validate the approach of the present study to evaluate both FUs, allowing for a more comprehensive and robust comparison of the different feeds. The literature also supports the application of multiple FUs to reflect both production efficiency (mass-based) and nutritional value (protein-based), which is critical in feed systems where protein supply is the primary function [50].
It is important that the choice of FU should not be treated as a neutral methodological choice, but as a decision shaped by the specific objectives of the study. In the present study, since the primary function of feed was to provide digestible protein to animals, protein-based FU provided a more relevant measure for assessing their sustainability. However, mass-based FU is also relevant for assessing the environmental burden along the supply chain and understanding material flows.

4.5. Insect Meal as an Alternative to Fishmeal

Fishmeal is a widely used ingredient in animal feed formulations, particularly within the pig and poultry sectors [6], as well as in aquaculture [51]. Its application across both aquatic and terrestrial livestock systems contributes to growing competition over a limited and ecologically sensitive resource [51]. The production of fishmeal is inherently linked to the exploitation of marine resources and is increasingly recognized as a contributor to overfishing and ecosystem degradation. It is a resource-constrained input that poses substantial environmental and ecological challenges [6].
A major concern lies in the fact that a large portion of fishmeal is derived from wild fisheries, often involving species that are juvenile and non-target. The harvesting of such species not only disrupts marine ecosystems but also undermines biodiversity conservation and the regenerative capacity of fish populations. In addition, sourcing practices related to fishmeal production have raised concerns about illegal, unreported and unregulated fishing, particularly in international waters where governance and enforcement mechanisms are weak or absent. These issues are intensified by the general lack of transparency and regulatory oversight in global fishmeal supply chains, which hinders traceability [7].
Historically, the mid-20th century marked a period of rapid intensification in fishmeal demand, a trend that directly contributed to the collapse of several major fish stocks [52]. Despite growing awareness, this demand continues to rise, while the availability of sustainable fish resources remains limited. This imbalance generates substantial pressure on marine ecosystems, intensifying the risks of biodiversity loss and ecosystem disruption, impacts that are widely recognized as the most critical environmental concerns associated with fishmeal production [6]. The concurrent rise in demand and constrained resource availability introduces not only ecological, but also economic tensions [6,53].
From a methodological perspective, the current LCA framework lacks standardized approaches for capturing the specific environmental burdens associated with overfishing. Overfishing and marine ecosystem depletion are generally excluded from LCA results, as they fall outside the scope of traditional impact categories. Although recent efforts have sought to develop impact pathways that can address stock depletion, bycatch, benthic habitat disruption, and marine biodiversity loss, these are still at an early stage and are not yet consistently implemented in LCA methodology. The complexity of modelling ecological interactions, such as changes in trophic dynamics or population structure, remains a significant barrier to the integration of these factors into LCAs [54].
Although fishmeal has significant nutritional advantages similar to those of animal protein sources [4], the above-mentioned environmental concerns highlight that there is an urgent need to diversify and scale up sustainable alternative protein sources that can alleviate dependence on it, a conclusion that has also been confirmed by other studies [6,53]. In this context, insect meal emerges as a promising, scalable, and environmentally sustainable protein source [22,36] that is well-suited for integration into animal feed formulations [4].
Insect meal is attractive as an alternative protein source due to its favourable nutritional profile. It typically contains 60–70% protein on a dry matter basis [4], along with a well-balanced composition of essential amino acids (e.g., leucine, lysine), lipids, vitamins (e.g., A, B12, C), and minerals (e.g., zinc, calcium, sodium, iron) [9]. These characteristics render it nutritionally comparable, and in some cases superior, to conventional protein sources such as soybean meal and fishmeal [4].
Beyond their nutritional value, insects are increasingly recognized as a sustainable protein source due to several advantageous environmental characteristics. Many insect species can thrive on organic by-products and waste streams such as slaughterhouse residues, restaurant food waste, and cereal remnants, materials that would otherwise pose economic and environmental burdens for disposal [55]. This waste valorisation capacity allows insects to convert low-value inputs into high-quality protein, offering a circular economy approach to feed production [4]. Their ability to reduce organic waste and contribute to nutrient recycling enhances their role in sustainable food systems.
Insect rearing typically occurs in vertically stacked systems within controlled environments, minimizing land and water use compared to traditional crop or livestock production systems [21,36]. This makes insect farming well-suited for urban or space-constrained settings. Moreover, insects exhibit high feed conversion efficiency [36] and do not expend energy to regulate body temperature [56]. Studies also report comparatively low GHG emissions associated with insect farming [22,57], reinforcing their potential as a low-carbon protein source.
Although the findings of our study primarily highlighted the environmental advantages of insect meal over soybean meal, rather than a direct superiority over fishmeal, the broader context of sustainability strengthens the potential for insect meal inclusion in animal feed. While fishmeal remains nutritionally robust, it is associated with significant unrevealed environmental burdens, including overfishing, biodiversity loss, and marine ecosystem depletion, issues that are not yet adequately integrated into LCA methodologies. In contrast, insect meal demonstrates superiority across multiple dimensions as it offers a high-quality nutritional profile, can be produced through circular economy processes, has low resources requirements and reduced GHG emissions. These advantages support the conclusion that incorporating insect meal into animal feeds is not only environmentally preferable but also aligns with broader sustainability goals.

5. Conclusions

The study assessed and highlighted the multi-dimensional nature of environmental sustainability in feed production, where no single formulation performs best across all impact categories. The use of a protein-based FU proved to be more relevant for this assessment, as it accounts for the nutritional value delivered by each formulation. A key observation was that most environmental burdens originated from crop-derived ingredients, especially soybean, while the use of alternative proteins like insect meal contributed to improved performance in selected impact categories. It is important to acknowledge that several critical aspects, such as overfishing, biodiversity loss, and ecosystem disruption associated with fishmeal production, although acknowledged, remain unaccounted in current LCAs. A promising direction for addressing these limitations involves the integration of overfishing-related pressures into the LCA framework through dedicated impact pathways that incorporate stock status indicators and region-specific catch data. Such developments would enable more robust assessments of the long-term sustainability of fish-derived ingredients. In this context, insect meal emerges as a robust alternative protein source, offering both environmental advantages and circular economy potential. Its ability to partially or fully replace popular ingredients like soybean meal and fishmeal represents a promising strategy with the potential to reduce key environmental pressures associated with conventional ingredients such as soybean meal and fishmeal.

Supplementary Materials

The following supporting information can be downloaded at: https://www.mdpi.com/article/10.3390/agriengineering7090275/s1, Table S1: Overview of inputs, emissions, and outputs used for modeling the insect meal production. Modified values are reported; Table S2: GWP Impact Scores and Contribution Analysis on a mass-based FU; Table S3: FPMF Impact Scores and Contribution Analysis on a mass-based FU; Table S4: FE Impact Scores and Contribution Analysis on a mass-based FU; Table S5: TA Impact Scores and Contribution Analysis on a mass-based FU; Table S6: WC Impact Scores and Contribution Analysis on a mass-based FU; Table S7: LU Impact Scores and Contribution Analysis on a mass-based FU; Table S8: GWP Impact Scores and Contribution Analysis on a protein-based FU; Table S9: FPMF Impact Scores and Contribution Analysis on a protein-based FU; Table S10: FE Impact Scores and Contribution Analysis on a protein-based FU; Table S11: TA Impact Scores and Contribution Analysis on a protein-based FU; Table S12: WC Impact Scores and Contribution Analysis on a protein-based FU; Table S13: LU Impact Scores and Contribution Analysis on a protein-based FU; Table S14: GHG breakdown on a mass-based FU; Table S15: GHG breakdown on a protein-based FU.

Author Contributions

Conceptualization, A.V., S.K., E.B. and I.S.; methodology, A.V. and S.K.; software, A.V. and S.K.; validation, A.V. and S.K.; formal analysis, A.V. and S.K.; investigation, A.V. and S.K.; data curation, A.V. and S.K.; writing—original draft preparation, A.V. and S.K.; writing—review and editing, A.V. and S.K.; visualization, A.V. and S.K.; resources, E.B. and I.S.; project administration, A.V., E.B. and I.S. All authors have read and agreed to the published version of the manuscript.

Funding

This research received no external funding.

Data Availability Statement

The original contributions presented in this study are included in the article/Supplementary Materials. Further inquiries can be directed to the corresponding author.

Conflicts of Interest

The authors declare no conflicts of interest.

Correction Statement

This article has been republished with a minor correction to the Data Availability Statement. This change does not affect the scientific content of the article.

Abbreviations

The following abbreviations are used in this manuscript:
LCALife Cycle Assessment
LCILife Cycle Inventory
FUFunctional Unit
EUEuropean Union
GHGGreenhouse Gases
GWPGlobal Warming Potential
PMFPParticulate Matter Formation Potential
FEPFreshwater Eutrophication Potential
TAPTerrestrial Acidification Potential
WCPWater Consumption Potential
ALOPAgricultural Land Occupation Potential

References

  1. European Environmental Agency (EEA). Annual European Union Greenhouse Gas Inventory 1990–2021 and Inventory Report 2023; European Environmental Agency: Copenhagen, Denmark, 2023. [Google Scholar]
  2. European Commission. A Farm to Fork Strategy for a Fair, Healthy and Environmentally-Friendly Food System; Communication from the Commission to the European Parliament, the Council, the European Economic and Social Committee and the Committee of the Regions: Bruxelles, Brussels, 2020; Volume 381, pp. 1–9. [Google Scholar]
  3. Rotz, A. Environmental Sustainability of Livestock Production. Meat Muscle Biol. 2020, 4, 1–18. [Google Scholar] [CrossRef]
  4. Sánchez-Muros, M.-J.; Barroso, F.G.; Manzano-Agugliaro, F. Insect Meal as Renewable Source of Food for Animal Feeding: A Review. J. Clean. Prod. 2014, 65, 16–27. [Google Scholar] [CrossRef]
  5. Reis, T.; Prada Moro, Y. Connecting Exports of Brazilian Soy to Deforestation; Stockholm Environment Institute: Stockholm, Sweden, 2022; Available online: https://www.sei.org/features/connecting-exports-of-brazilian-soy-to-deforestation/ (accessed on 2 May 2025).
  6. Olsen, R.L.; Hasan, M.R. A Limited Supply of Fishmeal: Impact on Future Increases in Global Aquaculture Production. Trends Food Sci. Technol. 2012, 27, 120–128. [Google Scholar] [CrossRef]
  7. Zhang, W.; Liu, M.; Sadovy De Mitcheson, Y.; Cao, L.; Leadbitter, D.; Newton, R.; Little, D.C.; Li, S.; Yang, Y.; Chen, X.; et al. Fishing for Feed in China: Facts, Impacts and Implications. Fish Fish. 2020, 21, 47–62. [Google Scholar] [CrossRef]
  8. Van Huis, A. Insects as Food and Feed, a New Emerging Agricultural Sector: A Review. JIFF 2020, 6, 27–44. [Google Scholar] [CrossRef]
  9. Nowakowski, A.C.; Miller, A.C.; Miller, M.E.; Xiao, H.; Wu, X. Potential Health Benefits of Edible Insects. Crit. Rev. Food Sci. Nutr. 2022, 62, 3499–3508. [Google Scholar] [CrossRef]
  10. Oonincx, D.G.A.B.; Van Broekhoven, S.; Van Huis, A.; Van Loon, J.J.A. Feed Conversion, Survival and Development, and Composition of Four Insect Species on Diets Composed of Food By-Products. PLoS ONE 2015, 10, e0144601. [Google Scholar] [CrossRef]
  11. Gasco, L.; Finke, M.; Van Huis, A. Can Diets Containing Insects Promote Animal Health? JIFF 2018, 4, 1–4. [Google Scholar] [CrossRef]
  12. Hong, J.; Han, T.; Kim, Y.Y. Mealworm (Tenebrio Molitor Larvae) as an Alternative Protein Source for Monogastric Animal: A Review. Animals 2020, 10, 2068. [Google Scholar] [CrossRef] [PubMed]
  13. Biasato, I.; Gasco, L.; De Marco, M.; Renna, M.; Rotolo, L.; Dabbou, S.; Capucchio, M.T.; Biasibetti, E.; Tarantola, M.; Bianchi, C.; et al. Effects of Yellow Mealworm Larvae (Tenebrio molitor) Inclusion in Diets for Female Broiler Chickens: Implications for Animal Health and Gut Histology. Anim. Feed Sci. Technol. 2017, 234, 253–263. [Google Scholar] [CrossRef]
  14. Stastnik, O.; Novotny, J.; Roztocilova, A.; Kouril, P.; Kumbar, V.; Cernik, J.; Kalhotka, L.; Pavlata, L.; Lacina, L.; Mrkvicova, E. Safety of Mealworm Meal in Layer Diets and Their Influence on Gut Morphology. Animals 2021, 11, 1439. [Google Scholar] [CrossRef]
  15. Jin, X.H.; Heo, P.S.; Hong, J.S.; Kim, N.J.; Kim, Y.Y. Supplementation of Dried Mealworm (Tenebrio molitor Larva) on Growth Performance, Nutrient Digestibility and Blood Profiles in Weaning Pigs. Asian Australas. J. Anim. Sci 2016, 29, 979–986. [Google Scholar] [CrossRef]
  16. Makkar, H.P.S.; Tran, G.; Heuzé, V.; Ankers, P. State-of-the-Art on Use of Insects as Animal Feed. Anim. Feed Sci. Technol. 2014, 197, 1–33. [Google Scholar] [CrossRef]
  17. Nam, J.-H.; Kim, D.; Hyun, J.-Y.; Jin, H.-J.; Choi, Y.-S.; Cho, J.-H.; Lee, B.K.; Chun, J.-Y. Current Status and Future Prospects of the Insect Industry as an Alternative Protein Source for Animal Feed. JKFN 2022, 51, 395–402. [Google Scholar] [CrossRef]
  18. EFSA Risk Profile Related to Production and Consumption of Insects as Food and Feed. EFSA J. 2015, 13, 4257. [CrossRef]
  19. Cadinu, L.A.; Barra, P.; Torre, F.; Delogu, F.; Madau, F.A. Insect Rearing: Potential, Challenges, and Circularity. Sustainability 2020, 12, 4567. [Google Scholar] [CrossRef]
  20. Morales-Ramos, J.A.; Tomberlin, J.K.; Miranda, C.; Rojas, M.G. Rearing Methods of Four Insect Species Intended as Feed, Food, and Food Ingredients: A Review. J. Econ. Entomol. 2024, 117, 1210–1224. [Google Scholar] [CrossRef]
  21. Oonincx, D.G.A.B.; De Boer, I.J.M. Environmental Impact of the Production of Mealworms as a Protein Source for Humans—A Life Cycle Assessment. PLoS ONE 2012, 7, e51145. [Google Scholar] [CrossRef] [PubMed]
  22. Oonincx, D.G.A.B.; Van Itterbeeck, J.; Heetkamp, M.J.W.; Van Den Brand, H.; Van Loon, J.J.A.; Van Huis, A. An Exploration on Greenhouse Gas and Ammonia Production by Insect Species Suitable for Animal or Human Consumption. PLoS ONE 2010, 5, e14445. [Google Scholar] [CrossRef]
  23. ISO 14040; Environmental Management-Life Cycle Assessment-Principles and Framework. International Organization for Standardization (Hrsg.): Geneva, Switzerland, 2006; p. 44.
  24. ISO 14044; Environmental Management–Life Cycle Assessment–Requirements and Guidelines. International Organization for Standardization (Hrsg.): Geneva, Switzerland, 2006; p. 84.
  25. Heuzé, V.; Tran, G.; Lebas, F. Maize Grain. Feedipedia, a Programme by INRAE, CIRAD, AFZ and FAO 2017. Available online: https://feedipedia.org/node/556 (accessed on 16 July 2025).
  26. Tran, G.; Gnaedinger, C.; Melin, C. Mealworm (Tenebrio Molitor). Feedipedia, a Programme by INRAE, CIRAD, AFZ and FAO 2019. Available online: https://feedipedia.org/node/16401 (accessed on 16 July 2025).
  27. Heuzé, V.; Tran, G.; Noziere, P.; Lebas, F. Barley Forage. Feedipedia, a Programme by INRAE, CIRAD, AFZ and FAO 2015. Available online: https://www.feedipedia.org/node/432 (accessed on 16 July 2025).
  28. Heuzé, V.; Tran, G.; Kaushik, S. Soybean Meal. Feedipedia, a Programme by INRAE, CIRAD, AFZ and FAO 2020. Available online: https://feedipedia.org/node/674 (accessed on 16 July 2025).
  29. Heuzé, V.; Tran, G. Wheat (General). Feedipedia, a Programme by INRAE, CIRAD, AFZ and FAO 2015. Available online: https://www.feedipedia.org/node/6435 (accessed on 16 July 2025).
  30. Heuzé, V.; Tran, G.; Kaushik, S. Fish Meal. Feedipedia, a Programme by INRAE, CIRAD, AFZ and FAO 2015. Available online: https://www.feedipedia.org/node/208 (accessed on 16 July 2025).
  31. Koch, P.; Salou, T. AGRIBALYSE®: Methodology, Agricultural Stage–Version 3.0. June 2020; Ed ADEME: Angers, France, 2020; p. 303. [Google Scholar]
  32. Van Paassen, M.; Braconi, N.; Kuling, L.; Durlinger, B.; Gual, P. Agrifootprint 5.0; Blonk Consultants: Gouda, The Netherlands, 2019. [Google Scholar]
  33. EcoTransIT World EcoTransIT World Environmental Methodology and Data Update 2020. 2025. Available online: https://www.infras.ch/media/filer_public/8f/62/8f624d46-c39d-452a-8497-72aa400f7cad/7231i_methodology_report_ecotransit_world.pdf (accessed on 1 July 2025).
  34. Ecoinvent Association. Ecoinvent Database 3.0. Available online: www.ecoinvent.org (accessed on 1 July 2025).
  35. PEFCR Feed for Food Producing Animals 2018. Available online: https://fefac.eu/wp-content/uploads/2020/08/PEFCR_feed.pdf (accessed on 25 May 2025).
  36. Smetana, S.; Palanisamy, M.; Mathys, A.; Heinz, V. Sustainability of Insect Use for Feed and Food: Life Cycle Assessment Perspective. J. Clean. Prod. 2016, 137, 741–751. [Google Scholar] [CrossRef]
  37. Navera, U.K.; Mahmud, M.G.A.; Rahman, M.R. IRRIGATION WATER REQUIREMENT FOR MAIZE CROP CULTIVATION. Tech. J. River Res. Inst. 2016, 13, 1–10. [Google Scholar]
  38. Oumarou Abdoulaye, A.; Lu, H.; Zhu, Y.; Alhaj Hamoud, Y.; Sheteiwy, M. The Global Trend of the Net Irrigation Water Requirement of Maize from 1960 to 2050. Climate 2019, 7, 124. [Google Scholar] [CrossRef]
  39. Vinci, G.; Ruggieri, R.; Ruggeri, M.; Zaki, M.G. Application of Life Cycle Assessment (LCA) to Cereal Production: An Overview. IOP Conf. Ser. Earth Environ. Sci. 2022, 1077, 012004. [Google Scholar] [CrossRef]
  40. Houghton, R.A.; Castanho, A. Annual Emissions of Carbon from Land Use, Land-Use Change, and Forestry from 1850 to 2020. Earth Syst. Sci. Data 2023, 15, 2025–2054. [Google Scholar] [CrossRef]
  41. Ritchie, H.; Spooner, F. Forests and Deforestation 2021. Available online: https://ourworldindata.org/forests-and-deforestation (accessed on 10 May 2025).
  42. Arrieta, E.M.; Cuchietti, A.; Cabrol, D.; González, A.D. Greenhouse Gas Emissions and Energy Efficiencies for Soybeans and Maize Cultivated in Different Agronomic Zones: A Case Study of Argentina. Sci. Total Environ. 2018, 625, 199–208. [Google Scholar] [CrossRef]
  43. Zebarth, B.J.; Rochette, P.; Burton, D.L. N2 O Emissions from Spring Barley Production as Influenced by Fertilizer Nitrogen Rate. Can. J. Soil. Sci. 2008, 88, 197–205. [Google Scholar] [CrossRef]
  44. Esteves, V.P.P.; Esteves, E.M.M.; Bungenstab, D.J.; Loebmann, D.G.D.S.W.; De Castro Victoria, D.; Vicente, L.E.; De Queiroz Fernandes Araújo, O.; Do Rosário Vaz Morgado, C. Land Use Change (LUC) Analysis and Life Cycle Assessment (LCA) of Brazilian Soybean Biodiesel. Clean Technol. Environ. Policy 2016, 18, 1655–1673. [Google Scholar] [CrossRef]
  45. Wilfart, A.; Espagnol, S.; Dauguet, S.; Tailleur, A.; Gac, A.; Garcia-Launay, F. ECOALIM: A Dataset of Environmental Impacts of Feed Ingredients Used in French Animal Production. PLoS ONE 2016, 11, e0167343. [Google Scholar] [CrossRef]
  46. International Energy Agency Greece 2023. Energy Policy Review 2023. Available online: https://www.iea.org/reports/greece-2023 (accessed on 20 May 2025).
  47. Dal Molin, S.J.; Ernani, P.R.; Gerber, J.M. Soil Acidification and Nitrogen Release Following Application of Nitrogen Fertilizers. Commun. Soil Sci. Plant Anal. 2020, 51, 2551–2558. [Google Scholar] [CrossRef]
  48. Zhao, Y.; Su, Z.; Chen, Y.; Hou, S.; Lu, X.; Zheng, B.; Liu, L.; Pan, Y.; Xu, W.; Liu, X.; et al. Rising Importance of Agricultural Nitrogen Oxide Emissions in China’s Future PM2.5 Pollution Mitigation. npj Clim. Atmos. Sci. 2025, 8, 93. [Google Scholar] [CrossRef]
  49. McAuliffe, G.A.; Takahashi, T.; Lee, M.R.F. Applications of Nutritional Functional Units in Commodity-Level Life Cycle Assessment (LCA) of Agri-Food Systems. Int. J. Life Cycle Assess 2020, 25, 208–221. [Google Scholar] [CrossRef] [PubMed]
  50. Sonesson, U.; Davis, J.; Flysjö, A.; Gustavsson, J.; Witthöft, C. Protein Quality as Functional Unit—A Methodological Framework for Inclusion in Life Cycle Assessment of Food. J. Clean. Prod. 2017, 140, 470–478. [Google Scholar] [CrossRef]
  51. Majluf, P.; Matthews, K.; Pauly, D.; Skerritt, D.J.; Palomares, M.L.D. A Review of the Global Use of Fishmeal and Fish Oil and the Fish In:Fish Out Metric. Sci. Adv. 2024, 10, eadn5650. [Google Scholar] [CrossRef]
  52. Du, Y.; Sun, J.; Zhang, G. The Impact of Overfishing on Environmental Resources and the Evaluation of Current Policies and Future Guideline. In Proceedings of the 2021 International Conference on Public Relations and Social Sciences (ICPRSS 2021), Kunming, China, 17–19 September 2021. [Google Scholar] [CrossRef]
  53. Shepherd, C.J.; Jackson, A.J. Global Fishmeal and Fish-oil Supply: Inputs, Outputs and Marketsa. J. Fish Biol. 2013, 83, 1046–1066. [Google Scholar] [CrossRef]
  54. Stanford-Clark, C.; Loiseau, E.; Helias, A. Fisheries Impact Pathway: Making Global and Regionalised Impacts on Marine Ecosystem Quality Accessible in Life Cycle Impact Assessment. Sustainability 2024, 16, 3870. [Google Scholar] [CrossRef]
  55. Sealey, W.M.; Gaylord, T.G.; Barrows, F.T.; Tomberlin, J.K.; McGuire, M.A.; Ross, C.; St-Hilaire, S. Sensory Analysis of Rainbow Trout, Oncorhynchus Mykiss, Fed Enriched Black Soldier Fly Prepupae, Hermetia Illucens. J. World Aquac. Soc. 2011, 42, 34–45. [Google Scholar] [CrossRef]
  56. Nijdam, D.; Rood, T.; Westhoek, H. The Price of Protein: Review of Land Use and Carbon Footprints from Life Cycle Assessments of Animal Food Products and Their Substitutes. Food Policy 2012, 37, 760–770. [Google Scholar] [CrossRef]
  57. Blonk, H.; Kool, A.; Luske, B. Milieueffecten van Nederlandse consumptie van eiwitrijke producten (Environmental Effects of Dutch Consumption of Proteinrich Products); Blonk Milieu Advies/VROM: Gouda, The Netherlands, 2008. [Google Scholar]
Figure 1. System boundaries of the production system (from cradle to feed-mill gate). Solid lines represent foreground data; dashed lines indicate background processes.
Figure 1. System boundaries of the production system (from cradle to feed-mill gate). Solid lines represent foreground data; dashed lines indicate background processes.
Agriengineering 07 00275 g001
Figure 2. Global Warming Potential of the Four Feeds (a) Global Warming Potential of the Four Feeds Compared on a Mass-Based FU; (b) Global Warming Potential of the Four Feeds Compared on a Protein-Based FU.
Figure 2. Global Warming Potential of the Four Feeds (a) Global Warming Potential of the Four Feeds Compared on a Mass-Based FU; (b) Global Warming Potential of the Four Feeds Compared on a Protein-Based FU.
Agriengineering 07 00275 g002
Figure 3. Particulate Matter Formation Potential of the Four Feeds (a) Particulate Matter Formation Potential of the Four Feeds Compared on a Mass-Based FU; (b) Particulate Matter Formation Potential of the Four Feeds Compared on a Protein-Based FU.
Figure 3. Particulate Matter Formation Potential of the Four Feeds (a) Particulate Matter Formation Potential of the Four Feeds Compared on a Mass-Based FU; (b) Particulate Matter Formation Potential of the Four Feeds Compared on a Protein-Based FU.
Agriengineering 07 00275 g003
Figure 4. Freshwater Eutrophication Potential of the Four Feeds (a) Freshwater Eutrophication Potential of the Four Feeds Compared on a Mass-based FU; (b) Freshwater Eutrophication Potential of the Four Feeds Compared on a Protein-based FU.
Figure 4. Freshwater Eutrophication Potential of the Four Feeds (a) Freshwater Eutrophication Potential of the Four Feeds Compared on a Mass-based FU; (b) Freshwater Eutrophication Potential of the Four Feeds Compared on a Protein-based FU.
Agriengineering 07 00275 g004
Figure 5. Terrestrial Acidification Potential of the Four Feeds. (a) Terrestrial Acidification Potential of the Four Feeds Compared on a Mass-based FU; (b) Terrestrial Acidification Potential of the Four Feeds Compared on a Protein-based FU.
Figure 5. Terrestrial Acidification Potential of the Four Feeds. (a) Terrestrial Acidification Potential of the Four Feeds Compared on a Mass-based FU; (b) Terrestrial Acidification Potential of the Four Feeds Compared on a Protein-based FU.
Agriengineering 07 00275 g005
Figure 6. Water Consumption Potential of the Four Feeds (a) Water Consumption Potential of the Four Feeds Compared on a Mass-based FU; (b) Water Consumption Potential of the Four Feeds Compared on a Protein-based FU.
Figure 6. Water Consumption Potential of the Four Feeds (a) Water Consumption Potential of the Four Feeds Compared on a Mass-based FU; (b) Water Consumption Potential of the Four Feeds Compared on a Protein-based FU.
Agriengineering 07 00275 g006
Figure 7. Agricultural Land Occupation Potential of the Four Feeds (a) Agricultural Land Occupation Potential of the Four Feeds Compared on a Mass-based FU; (b) Agricultural Land Occupation Potential of the Four Feeds Compared on a Protein-based FU.
Figure 7. Agricultural Land Occupation Potential of the Four Feeds (a) Agricultural Land Occupation Potential of the Four Feeds Compared on a Mass-based FU; (b) Agricultural Land Occupation Potential of the Four Feeds Compared on a Protein-based FU.
Agriengineering 07 00275 g007
Figure 8. GHG Contribution to GWP of Each Feed (a) GHG Contribution to GWP of Each Feed Assessed on a Mass-based FU; (b) GHG Contribution to GWP of Each Feed Assessed on a Protein-based FU.
Figure 8. GHG Contribution to GWP of Each Feed (a) GHG Contribution to GWP of Each Feed Assessed on a Mass-based FU; (b) GHG Contribution to GWP of Each Feed Assessed on a Protein-based FU.
Agriengineering 07 00275 g008
Figure 9. GWP of Insect meal, Soybean meal and Fishmeal (a) GWP of 1 kg of Each Protein Source; (b) GWP of 1 kg of Edible Protein Obtained from Each Protein Source.
Figure 9. GWP of Insect meal, Soybean meal and Fishmeal (a) GWP of 1 kg of Each Protein Source; (b) GWP of 1 kg of Edible Protein Obtained from Each Protein Source.
Agriengineering 07 00275 g009
Figure 10. (a) PMFP of Maize and Barley per kg of Product; (b) TA of Maize and Barley per kg of Product.
Figure 10. (a) PMFP of Maize and Barley per kg of Product; (b) TA of Maize and Barley per kg of Product.
Agriengineering 07 00275 g010
Table 1. Protein content of the main feed ingredients.
Table 1. Protein content of the main feed ingredients.
IngredientProtein Content (%)Reference
Maize9.4[25]
Insect Meal52.8[26]
Barley11.8[27]
Soybean Meal55.0[28]
Wheat Bran12.6[29]
Fishmeal75.4[30]
Table 2. Life Cycle Inventory table.
Table 2. Life Cycle Inventory table.
Ingredients (g/kg)OriginF1F2F3F4
MaizeGreece336.0205.5650.0650.0
BarleyGreece347.0347.050.050.0
Soybean MealArgentina168.0188.7120.060.0
Wheat BranGreece30.030.0150.0150.0
Soybean OilArgentina19.054.80.00.0
FishmealDenmark30.00.00.00.0
Insect MealGreece0.0100.00.060.0
AdditivesEurope70.070.070.070.0
Transportation Processes
International Sea Transport (tkm)2.763.601.770.89
Intra-European Road Transport (tkm)0.08000
Domestic Road Transport, lorry > 20 t (tkm)0.190.130.070.03
Domestic Road Transport, lorry 10–20 t (tkm)0.070.090.070.09
Nutritional Profile
Protein Content (g/kg of feed)191.3220.7152.0150.4
Amount of feed required to provide
1 kg of protein (kg)
5.24.56.56.6
Disclaimer/Publisher’s Note: The statements, opinions and data contained in all publications are solely those of the individual author(s) and contributor(s) and not of MDPI and/or the editor(s). MDPI and/or the editor(s) disclaim responsibility for any injury to people or property resulting from any ideas, methods, instructions or products referred to in the content.

Share and Cite

MDPI and ACS Style

Vatsanidou, A.; Konstantinidi, S.; Bonos, E.; Skoufos, I. Comparative Life Cycle Assessment of Animal Feed Formulations Containing Conventional and Insect-Based Protein Sources. AgriEngineering 2025, 7, 275. https://doi.org/10.3390/agriengineering7090275

AMA Style

Vatsanidou A, Konstantinidi S, Bonos E, Skoufos I. Comparative Life Cycle Assessment of Animal Feed Formulations Containing Conventional and Insect-Based Protein Sources. AgriEngineering. 2025; 7(9):275. https://doi.org/10.3390/agriengineering7090275

Chicago/Turabian Style

Vatsanidou, Anna, Styliani Konstantinidi, Eleftherios Bonos, and Ioannis Skoufos. 2025. "Comparative Life Cycle Assessment of Animal Feed Formulations Containing Conventional and Insect-Based Protein Sources" AgriEngineering 7, no. 9: 275. https://doi.org/10.3390/agriengineering7090275

APA Style

Vatsanidou, A., Konstantinidi, S., Bonos, E., & Skoufos, I. (2025). Comparative Life Cycle Assessment of Animal Feed Formulations Containing Conventional and Insect-Based Protein Sources. AgriEngineering, 7(9), 275. https://doi.org/10.3390/agriengineering7090275

Article Metrics

Back to TopTop