Next Article in Journal
Designing CO2 Monitoring System for Agricultural Land Utilizing Non-Dispersive Infrared (NDIR) Sensors for Citizen Scientists
Previous Article in Journal
Evaluation of the Flow Properties of Coffea canephora During Storage as Affected by Roasting Level, Particle Size, and Storage Temperature
 
 
Font Type:
Arial Georgia Verdana
Font Size:
Aa Aa Aa
Line Spacing:
Column Width:
Background:
Article

A Quantitative Analysis of Nutrient Loss in Surface Runoff Using a Novel Molecularly-Imprinted-Polymer-Based Electrochemical Sensor

by
Vagheeswari Venkadesh
1,
Vivek Kamat
2,
Shekhar Bhansali
2 and
Krishnaswamy Jayachandran
1,*
1
Department of Earth and Environment, Florida International University, Miami, FL 33199, USA
2
Department of Electrical and Computer Engineering, Florida International University, Miami, FL 33199, USA
*
Author to whom correspondence should be addressed.
AgriEngineering 2025, 7(3), 83; https://doi.org/10.3390/agriengineering7030083
Submission received: 12 January 2025 / Revised: 5 March 2025 / Accepted: 13 March 2025 / Published: 18 March 2025

Abstract

Surface runoff poses a significant threat to crop production and the environment. However, most studies on soil properties have not quantified soil nutrient loss as a consequence of soil erosion. This study measures the magnitude of nutrient loss through the development of a novel electrochemical sensor designed for direct and selective detection of nitrates and phosphates in soil runoff. The sensor fabrication process utilizes molecularly imprinted polymer techniques which involve the electrodeposition of polypyrrole with the analyte onto a carbon electrode. Cyclic voltammetry (CV) analysis was performed to evaluate the sensor performance in quantifying nitrates and phosphates across three distinct sets of soil samples collected for analysis. The sensor response was linear to the nitrate concentration in the range of 0.01 M to 100 μM (R2 = 0.9906). The phosphate MIP sensor also displayed a linear response for concentrations ranging from 10 µM to 200 µM (R2 = 0.9901). The sensor exhibited high sensitivity towards nitrates and phosphates and effectively detected nutrient levels in the soil solution with a detection limit of 25 μM and 53 μM, respectively. The sensor was then evaluated for degradation and repeatability, which produced a relative standard deviation of 13.5% and 8.2% for nitrate and phosphate, respectively. Further, the loss of nutrients in different soil types indicated the need for soil characterization before the application of fertilizer to reduce the nutrient loss in the event of surface runoff.

1. Introduction

In agriculture, soil nutrients play an important role in plant growth and development; hence, understanding the dynamics of nutrient uptake, interaction, and transport is crucial for obtaining the optimum yield. Nutrients are divided into micro- and macronutrients based on the amount of nutrients required by plants. Micronutrients such as iron, zinc, boron, and manganese are taken up by plants in smaller quantities and are important for the overall health of plants. However, primary macronutrients, which include nitrogen, phosphorus, and potassium, are necessary for growth, reproduction, and for proper functioning of various biochemical, physiological, and metabolic processes [1,2]. Most of the nitrogen is taken by the plants in the form of nitrates and ammonium, which is responsible for vegetative growth of plants, photosynthetic activity, chlorophyll pigmentation, and helps in protein synthesis and acts as a signal for various physiological processes and energy metabolism [3,4]. Phosphorus accounts for the development of roots, transporting and storing energy via organic compound formation [5,6]. Potassium on the other hand is essential for the transport and regulation of water, strengthening the tissue, and synthesis of carbohydrates [7]. Although these nutrients are naturally present, plants often suffer from nutrient scarcity due to soil erosion, leaching, runoff, or bacterial denitrification [8]. Nutrient deficiency affects plant health with stunted growth, reduced yields, decreased resistance to pests and diseases, and poor plant vigor [9]. Hence, farmers supplement these imbalances in the form of chemical fertilizers to avoid any harvest reduction. Consequently, with the need to meet the growing population, the adoption of fertilizer-intensive agriculture has rapidly grown since the 1960s. To support this context, it is estimated that the global fertilizer market will reach USD 543.20 billion by 2030 at a compound annual growth rate of 5.93% [10].
Nitrates and phosphates, the two essential nutrients, are highly mobile and easily leach into nearby water sources or denitrify. Hence, regular fertilizer replenishment and microbial immobilization are necessary to limit leaching and enhance plant availability. Similarly, excessive use of these nutrients can lead to water pollution, algal blooms, and the loss of aquatic species [11]. Therefore, it is important to monitor fertilizer application and regulate the use of these nutrients. To understand nutrient dynamics and prevent eutrophication of water bodies caused by excessive nutrient runoff, it is crucial to measure and differentiate plant available nutrients accurately. The amount of total nitrogen and the relative concentrations of inorganic nitrogen, NO3, NH4+, and NO2 individually can be determined using standard laboratory techniques like potentiometric methods, cadmium reduction, ion chromatography, steam distillation, and hot KCl removal of mineralizable N [12]. Similarly, the most common methods for quantifying phosphates are ICP-MS (inductively coupled plasma mass spectrometry), HPLC (high-performance liquid chromatography), and reagent-based calorimetry [13,14,15]. Although these measurements are highly accurate, they are expensive, labor-intensive, and provide information for a single point in time. Hence, the soil runoff nutrient problem in agriculture must be quantified more frequently at high spatial resolutions over a wide area for better fertilizer inputs.
The commercial sensor that employs ion-selective electrodes (ISEs) possesses no anion recognition functionalities and responds based on the anion’s lipophilicity [16,17]. They typically respond to ions according to the Hofmeister series: large lipophilic anions >ClO4 > SCN > I > NO3 > Br > Cl > H2PO4 [18]. This series implies that commercial ISEs are more selective to perchlorates and iodides than nitrates and phosphates. Moreover, the development of portable sensors that can measure inorganic phosphate concentrations within growth media has remained a significant challenge in the research community. When phosphate is evaluated using traditional electrochemical sensors based on electrical conductivity (EC) measurements or ion-selective electrodes (ISEs), it exhibits cross-interference with other common cations, such as sulfates and nitrates [19]. The orthophosphate ion comprises four oxygen atoms covalently bonded to one P atom. This forms a hydrophilic sphere around the anion, which creates a relatively high hydration enthalpy, making it difficult to detect [20]. To address this, we investigate the feasibility of using molecularly imprinted polymers (MIPs) in electrochemical sensors based on our previous publication on microfluidics to determine nutrient loss in the event of surface runoff rapidly and selectively for point source application [21]. An MIP is a synthetic polymer with selective binding sites for a target analyte or a combination of targets that mimic natural receptor binding sites without low-temperature sensitivity and incurring the cost [22].
Over the last few years, imprinted polymers have gained widespread recognition for their ability to selectively attach to target molecules and their affordability, durability, and customizability [23]. These template cavities have been designed for a wide range of applications, namely, catalysis, chemical separation, drug delivery, solution, and gas-based sensing [24,25]. Although there are other ways to create and incorporate MIPs into sensors, our method employs electrochemical deposition because of its excellent adhesion qualities, high repeatability, ease of preparation, and controllability over film thickness and morphology [26,27]. A recent trend in sensor development has been using flexible and disposable screen-printed electrodes (SPEs) because of their low cost and ability to be mass-produced on a large scale [28]. An SPE typically consists of a chemically inert substrate on which three electrodes are screen-printed (a working electrode, a reference electrode, and a counter electrode) [29].
In this work, we have developed a highly selective nitrate and phosphate sensor for measuring nutrient runoff using polypyrrole on a commercially available screen-printed electrode. Polypyrrole (PPy) is one of the most widely studied conducting polymers because of its high conductivity, ease of preparation, flexibility, and stability as an ISE [30]. PPy is electrochemically deposited with nitrate under controlled conditions to generate selective chemical recognition sites in the polymer layers for nitrate. As PPy layers polymerize in the presence of NaNO3, pores complementary to the target nitrate ion are formed. By forming a host cavity for nitrate, the size and charge distribution of PPy in the doped state provide enhanced selectivity over conventional nitrate-selective ISEs [31]. Similarly, in the case of phosphate, sensor electrodeposition is performed in the presence of KH2PO4 on the polymer matrix. The fabricated sensor was characterized using laboratory standards and then evaluated using actual soil samples. The developed sensor exhibited a linear response in the range of 0.01 M to 100 µM with an R2 value of 0.9906 for nitrate and 0.9901 for phosphate, respectively, while demonstrating a detection limit of 25 µM for nitrate and 53 µM for phosphate. Three distinct soil samples were collected, and the nutrient levels were measured by mimicking surface runoff using the developed sensor, which were compared to the standard laboratory methods. Further, the nutrient loss during soil washes using different soil types based on the soil properties was determined. This will help in adopting a personalized fertilization strategy to limit nutrient loss due to surface runoff and leaching in the future.

2. Materials and Methods

2.1. Reagents and Instrumentation

Polypyrrole, potassium ferricyanide (K3[Fe(CN)6]), and potassium ferrocyanide (K4[Fe(CN)6]) were purchased from Sigma-Aldrich Co., St. Louis, MO, USA, and were all analytical grade. Pyrrole, being light-sensitive, was refrigerated in the dark. Sodium nitrate and potassium dihydrogen phosphate were purchased from Thermo Scientific Co., Miami, FL, USA, at 99% purity. Separate solutions of NaNO3 and KH2PO4 (1 M and 0.5 M) were prepared for electrodeposition and standardization. The polypyrrole solution was prepared by dispersing the pellets in deionized water. The stock solution of 5 mM K3[Fe(CN)6] and K4[Fe(CN)6] was prepared using deionized water. All electrochemical experiments were performed with the Autolab potentiostat/galvanostat (Eco Chemie, Utrecht, The Netherlands). For the nitrate and phosphate MIP sensors, a Zensor screen-printed electrode (SPE) consisting of a carbon working electrode (WE), a carbon counter electrode (CE), and a Ag/AgCl reference electrode (RE) was used (EDAQ, Inc., Colorado Springs, CO, USA).

2.2. Sensor Fabrication

Nitrate- and phosphate-doped sensors were fabricated by using commercially available, screen-printed electrodes (Figure 1A). A 1:1 ratio of 1 M polypyrrole and 0.5 M of NaNO3 was mixed in a 5 mL vial, where the solution was first purged with nitrogen gas to displace oxygen. The doped polymer membranes were prepared electrochemically with a constant voltage of 0 to 0.9 V for 10 cycles. During this process, the conducting polymer matrix adsorbs nitrate molecules on the surface of the carbon working electrode. Elution is carried out by immersing the electrodes in ethanol to remove the nitrate molecule from its entrapment, thereby creating a surface complementary to its shape and function. Then, electrochemical detection of nitrate is performed by placing 5 µL of nitrate solution on the working electrode for rebinding (Figure 1B). Similarly, the phosphate sensor is prepared following the same procedure utilizing a 1:1 ratio of polypyrrole and KH2PO4. The electrochemical characterization of the sensor has been described and published by our team [21].

2.3. Formation of MIP and Non-Imprinted Polymer Modified Electrode

The SPEs were pre-treated by cycling the potential between −1.5 V and 1.5 V for 10 cycles at a scan rate of 100 mV/s in 0.1 M H2SO4. Then, the SPE was washed in deionized water and dried under nitrogen gas at room temperature. Electrosynthesis of MIP films was carried out with cyclic voltammetry using a solution containing 1 M polypyrrole and 0.5 M NaNO3 at a scan rate of 50 mV/s for 10 cycles. As the polymer grows, nitrate molecules migrate towards the working electrode and are adsorbed onto the polymer matrix. This occurs when in an oxidized state, polypyrrole exits as a polyradical cation, with anions like nitrates and phosphates being electrostatically attracted into the polymerized film as counter ions during oxidation stage as illustrated in Scheme 1 [32]. A similar process is performed with KH2PO4 for the phosphate MIP sensor.
After electrodeposition, the nitrate molecules were extracted from the conducting polymer matrix to create surfaces that were complementary in both shape and functionality to nitrate. The nitrate templates were then extracted by immersing the MIP in 70% ethanol solution for 30 min to induce elution. The same procedure of electrodeposition followed by elution was carried out to fabricate a non-imprinted polymer (NIP) but without the nitrate or phosphate template. The modified MIP and NIP electrodes were then dried under nitrogen gas and stored at room temperature. For the electrochemical detection of nitrate and phosphate by MIP sensors, 5 µL of analyte solution was placed on the working electrode for 15 min. Nitrate and phosphate sensors were then electrochemically measured in 5 mM ferri–ferro solution at room temperature by scanning a voltage between −1 V and 1 V at a rate of 50 mV/s.

3. Result and Discussion

3.1. Calibration of the Electrode Using a Redox Mediator

Before setting up the experiment, the electrode is first calibrated to validate its functionality using ferri–ferro redox solution. Electrochemical characterization during sensor fabrication was performed using the same redox mediator. Hence, it is necessary to optimize the ferri–ferro concentration that influences the electrochemical signal, which exhibits a specific peak or electrode potential that ranges between +0.2 V and +0.4 V, thereby concluding that the sensor is optimized.
Here, three different concentrations of ferri–ferro ranging between 1, 2, and 5 mM were chosen. By applying a constant voltage of −1 to 1 V, the oxidation peak for each concentration was obtained. It is evident from Figure 2 that for 1 mM and 2 mM of ferri–ferro solution, the oxidation peak indicating electrode potential was obtained at +5 V, which was not within the range of the specific peak. However, for the 5 mM concentration, a more pronounced peak was obtained at +0.38 V, indicating the stability and functionality of the electrode. Hence, for further electrochemical characterization, 5 mM of ferri–ferro solution was chosen.

3.2. Optimization of Elution Time

The elution of the analyte during MIP synthesis generates complementary functional sites of the analyte. Hence, it is necessary to remove the adhered or adsorbed analyte to facilitate effective rebinding. In our sensor fabrication process, we used 70% ethanol to remove the template molecule. However, the time required to elute the template molecule in ethanol is uncertain. Hence, to optimize the elution time for effective rebinding, different time intervals of 10, 20, and 30 min were adopted. For the nitrate sensor (Figure 3A), at a 10 min time interval denoted by black line, a reduced current output was obtained at the oxidation peak, which implies the binding of a nitrate molecule onto the polymer matrix. When the elution time was prolonged for 20 and 30 min, the oxidation peak showed an increased current output. This indicated that the template molecule was completely removed, leaving functionally complimentary cavities for effective rebinding of the analyte. Similarly, in the case of a phosphate sensor, when the electrode was immersed in ethanol for a 10 and 20 min time period, the current magnitude at the oxidation peak was relatively lower compared to that obtained at 30 min (Figure 3B). Therefore, a standard elution time of 30 min was adopted for successful removal of template molecules, and the sensor surface is now ready for effective rebinding and sensing.

3.3. Fabrication of Nitrate-Specific MIP

Since the electrochemical event occurs at the surface of the working electrode, it is essential that the electrode surface is extremely clean and free of foreign matter. To remove residue particles from the fabrication, the electrode is first pretreated and then sonicated in deionized water. To facilitate a clean surface, CV scans are performed over a wide potential window. The scans can be repeated until no significant peaks are observed, and all scans are aligned as shown in Figure 4. Therefore, the electrodes were first pretreated by cycling a potential window between −1.5 V and 1.5 V at a scan rate of 100 mV/s in 0.1 M H2SO4 for 10 cycles.
The SPEs were then washed in deionized water and dried at room temperature under nitrogen gas. MIP films were electro-synthesized by applying a voltage from 0 to 0.9 V at a scan rate of 50 mV/s in a solution containing 1 M pyrrole and 0.5 M NaNO3, and it is voltametrically characterized for 10 cycles. As the polymer binds nitrate molecules, they move towards the working electrode and get adsorbed onto the polymer matrix.
After polymerization, the nitrate molecules were then removed from the conducting polymer matrix to create surfaces that were complementary in both shape and functionality to that of nitrate molecules. The nitrate templates were then extracted by immersing the MIP in 70% ethanol solution for 30 min to induce elution. The same procedure of electro-polymerization followed by elution was carried out to fabricate a non-imprinted polymer (NIP) but without the nitrate. The modified MIP and NIP electrodes were then left to dry under nitrogen gas and stored at room temperature. For the electrochemical detection of nitrate by MIP sensors, 5 µL of the analyte solution was drop-casted on the working electrode surface for 30 min at room temperature to allow the analyte to bind with the template sites. Later the sensor is placed under DI water to remove excess or unbound nitrate ions. During electrochemical analysis, the sensor was immersed in 5 mM ferri–ferro solution at room temperature, and a CV scan was performed by applying a voltage between −1 V and 1 V at a scan rate of 50 mV/s. A similar protocol was followed for the fabrication of phosphate sensors.

3.4. Electrochemical Characterization

The electrochemical behavior during the stepwise fabrication of the nitrate and phosphate MIP sensor was carried out in 5 mM potassium ferricyanide and potassium ferrocyanide solution by following a similar protocol performed by our team [21]. However, in order to facilitate real-time and direct sensing, the calibration curve was obtained by using nitrate and phosphate standard solutions instead of ferri–ferro solution. The typical cyclic voltammetry scans obtained for different concentrations of nitrate ranging from 1 M to 100 µM in water using nitrate MIP sensors at 50 mV/s are shown in Figure 5A. The figure shows an electrochemical current response whose magnitude increases as the nitrate concentrations increase. This increase in current response is due to the binding of the analyte molecules to the MIP sites, which facilitates electron transport between the electrode and the solution. The inset in Figure 5A shows a calibration curve correlating the current response magnitude with nitrate concentrations. Based on the cathodic peak current observed at 0.8 V, the calibration curve indicates a shift in the current at higher concentrations. This suggests saturation of the MIP sensor and potential unreliability. Hence, the voltammetry scans that were obtained for minute concentrations of nitrate solutions are shown in Figure 5B. At lower concentrations, a more pronounced trend in the linearity of the current was observed. This indicated that at 0.8 V, the straight fit showed a stronger correlation with the nitrate concentration, with an accuracy of R2 = 0.9906.
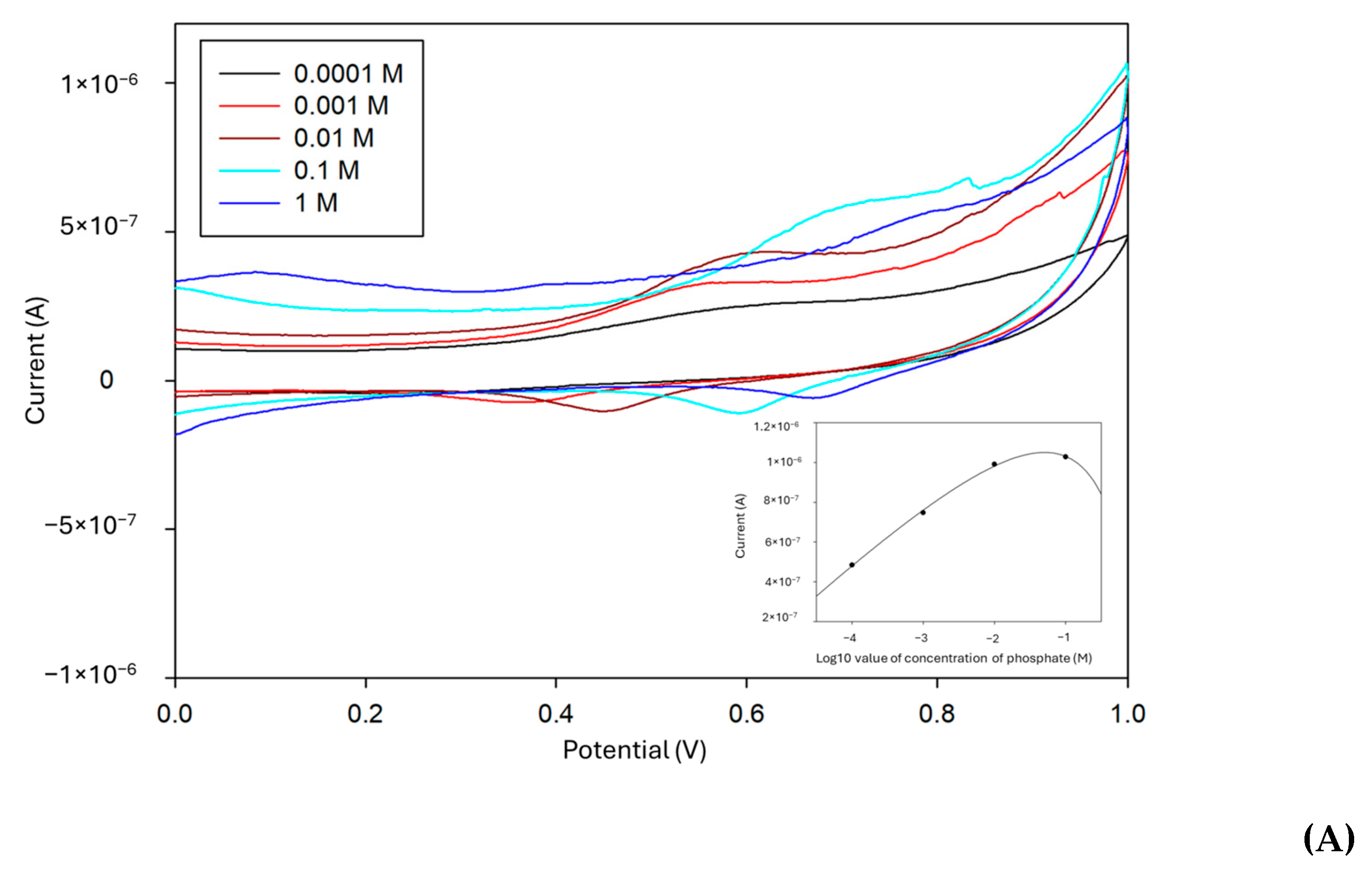
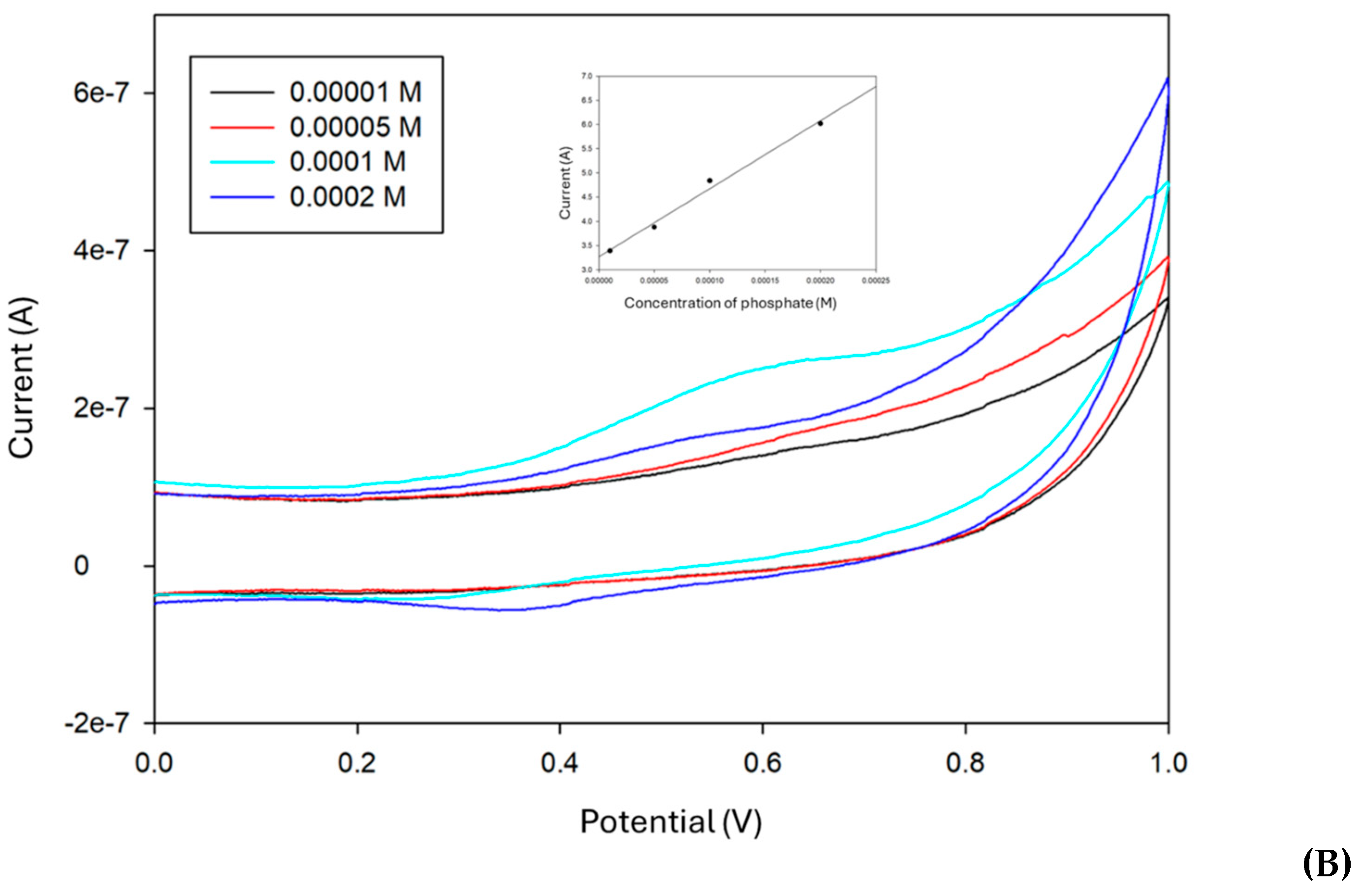
Similarly, for the phosphate, the MIP sensor was again directly immersed in the phosphate solutions of different concentrations from 1 to 100 µM. The redox curve, as shown in Figure 6A, appears insignificant at different phosphate dilutions. When plotting the fit of the curve, a parabola was obtained, indicating the sensor was getting saturated and was unreliable at higher concentrations. Hence, voltammetry scans for further dilutions ranging from 10 µM to 200 µM were obtained by applying a voltage from −1 to 1 V at a scan rate of 50 mV/s (Figure 6B). The magnitude of electrochemical current responses increases with increasing phosphate concentrations, as shown in Figure 6A. This increase in current response can be explained by the fact that analytes are bound to the MIP sites, facilitating electron transport between the electrode and the solution, thus increasing the current response. The inset in Figure 6B shows a calibration curve correlating the current response magnitude with phosphate concentrations. At 1 V, the straight fit showed a stronger correlation with phosphate concentration, with an accuracy of R2 = 0.9901.
In both cases, a high correlation coefficient indicates a strong linear relationship between the magnitude of the electrochemical current responses and the analyte concentrations. This suggests that the calibration curve can accurately measure the nitrate and phosphate concentrations based on the current response magnitude. This makes it a reliable method for quantifying nutrient levels in the solution.

3.5. Nutrient Analysis in Soil Samples

Three different soil samples were collected, consisting of agricultural organic garden soil, wetland soil, and beach volleyball court soil. Organic garden soil was chosen because of its rich organic matter content and high nutrient levels that are added during each growing season. The wetland soil sample is characterized by its high moisture content and high levels of organic material, supporting a diverse ecosystem of wetland plants and organisms. The beach volleyball court soil sample is composed of well-drained, fine sand particles and is free of organic matter, providing a firm and stable surface for beach volleyball games. All soil samples were weighed to 1gm each and diluted in 15 mL of DI water without any filtration or pretreatment. The nitrate MIP sensor was placed in the soil solution to measure the nitrate concentration, and a constant voltage of −1 to 1 V was applied at the scan rate of 50 mV/s as shown in Figure 7.
Similarly, a phosphate MIP sensor was placed directly into the soil solution to measure the phosphate concentration. The cyclic voltammetry scans were performed by applying the same voltage of −1 to 1 V at a 50 mV/s scan rate. By obtaining peak currents at 0.8 V and 1 V for nitrate and phosphate, respectively, for all soil samples, the corresponding concentration is shown in Table 1.

3.6. Nutrient Measurement Using Standard Methods

To validate the accuracy of the developed sensor to that of the laboratory standard methods, soil nutrients were tested commercially by sending out the soil samples to the LSU soil laboratory. The three soil samples were first dried to remove moisture content and sieved passing through a 2 mm mesh. The concentration of inorganic phosphate was obtained from ICP-MS using Melich 3 extractable phosphate solutions and are tabulated in Table (T2). Similarly, the total nitrogen and carbon content was obtained using a C:N analyzer is tabulated below. A comparison of the nitrate and phosphate concentration from the MIP sensor with that obtained from laboratory standard testing methods is tabulated in Table 2. In the case of nitrogen, the result obtained from the standard method was with respect to total nitrogen, whereas the sensor detected the plant available nitrate nitrogen. However, for phosphate, both methods gave the results of inorganic phosphate level. On comparing them, the phosphate sensor yielded a standard deviation of 16.09, 84.57, and 0.97 ppm for organic garden soil, wetland soil, and beach volleyball court soil, respectively, indicating relatively higher accuracy of the sensor. The percentage carbon content in each soil type represents the organic matter content in the soil.

3.7. Nutrient Leaching in Different Soil Types

Nutrient leaching in different soil types is a major issue for agricultural productivity. It can lead to nutrient deficiencies in crops, thus reducing yields. It also contributes to the contamination of surface and groundwater, which can lead to environmental problems. Hence, the developed MIP sensor was used to measure nutrient leaching in different soil types. For this study, again the three soil samples that were collected from the organic garden, wetlands, and beach volleyball court were used. Next, 2 gm of each soil sample was weighed and diluted in 14 mL of DI water. Each sample was then placed in a table shaker at a constant speed of 500 rpm for 5 min to release bound nutrients and other minerals from the soil particles. Then, the nitrate and phosphate concentration of each soil was measured by scanning the cyclic voltammetry from −1 to 1 V at a 50 mV/s scan rate. The peak currents were taken to calculate the concentration of the analyte. Then, 5 mL of the soil solution was removed and refilled with DI water until the 14 mL mark. The sample was again placed in the ultrasonic bath, and the previous steps were repeated four more times to obtain a total of five washes of soil samples.
The voltammograms produced by the leaching of nitrate and phosphate from various soil samples are shown in Figure 8. The initial nitrate concentration in the wetland soil was notably high at 330 µM during the first wash, dropping significantly to 80 µM in subsequent washes (Figure 8A). It was observed that the organic garden soil displayed a similar trend, with an initial concentration of 180 µM during the first wash followed by a substantial reduction in the following washes. This phenomenon can be attributed to the anionic nature of nitrate, which shares the same charge as the soil surface, facilitating its movement with soil water into groundwater [33]. However, the beach soil, which was expected to be nitrate-free, exhibited negligible levels of 10 µM within all washes, showing that it contains no nitrates. Therefore, it is imperative to understand the basic characteristics of nitrates and their movement in order to effectively mitigate their environmental impact.
In the case of phosphates, the soil samples were placed in an ultrasonic bath, applying a constant frequency for 5 min to release the phosphate and other bound minerals from the soil particles. The cyclic voltammogram for the three soil samples by applying a voltage of −1 to 1 V at a 50 mV/s scan rate is shown in Figure 8B. It is evident that organic garden soil had higher phosphate concentrations than wetland soil. This indicates that organic garden soil accumulates more phosphate than wetland soil, which could be the result of organic fertilizers being used and mineralization of organic matter [34]. While studying nutrient dynamics in organic garden soil, the phosphate concentration was 1700 µM during the first wash, gradually decreasing to 1400 µM, 1150 µM, 900 µM, and 800 µM in subsequent washes. However, the phosphate levels in the wetland soil remained relatively stable throughout consecutive washes, averaging around 1000 µM. This suggests that the wetland soil has a lower phosphate leaching, possibly due to wetland ecosystems’ natural filtration and nutrient cycling processes [35]. Moreover, in the beach soil, the phosphate concentration was 180 µM during the first wash and showed gradual reduction in the subsequent washes. This implies that phosphate exhibits strong adsorption with the soil particles in the presence of soil minerals, organic matter, and other free metal ions [36]. The strong binding of phosphate is facilitated by the formation of covalent bonds between phosphates and the oxide surfaces [37]. There is thus a possibility of phosphorus being effectively adsorbed onto soil particles, which will remain available for plants to take up. Conversely, high surface runoff may result in phosphorus loss from the soil, subsequently decreasing its productivity and fertility. Hence, an MIP sensor can help detect nutrient availability for plant uptake while optimizing fertilization and minimizing environmental degradation.

3.8. Degradation and Repeatability

The sensors are evaluated for their stability and degradability under laboratory conditions. For this MIP, nitrate and phosphate sensors were fabricated and assessed using known concentrations of 200 µM nitrate and 500 µM phosphate. The sensors were scanned consecutively each week to test for degradation. The nitrate sensor degraded faster after the second week (Figure 9A). The phosphate sensor, on the other hand, was stable for up to two weeks of use and gradually started to degrade, as shown in Figure 9B. The results showed that the nitrate sensor was more susceptible to degradation than that of the phosphate sensor.
A controlled fabrication process was adopted to evaluate the repeatability of the sensor. A total of five sensors were freshly prepared to detect 300 µM of nitrate and phosphate. On the basis of the current response data, the relative standard deviation (RSD) was found to be 13.5% and 8.2% for nitrate and phosphate, respectively, indicating that the sensor is repeatable (Table 3).

4. Conclusions

A novel electrochemical sensor for detecting nitrates and phosphates was developed using a molecularly imprinted technique. The MIP sensor was fabricated by electrodeposition of the polymer polypyrrole in the presence of the analyte to form its template, followed by removal by elution. The sensor response was linear to the analyte concentration in the range of 0.01 M to 100 μM (R2 = 0.9906), with a detection limit of 25 µM for nitrate and R2 = 0.9901 with a detection limit of 53 µM for phosphate. The sensor exhibited high sensitivity towards nitrates and phosphates and effectively detected nutrient levels in the soil samples directly without the need for pretreatment. The MIP sensor offers a promising solution to address nutrient leaching in agriculture. Thus, farmers can optimize fertilization practices and minimize nutrient loss by accurately measuring nutrient levels in the soil. This not only improves crop yields and reduces environmental contamination but also ensures efficient use of resources and cost savings for farmers. Additionally, investigating the feasibility of integrating the sensor with wireless communication technologies or IoT devices could enable continuous, remote monitoring of nutrient levels in real-world agricultural settings, providing farmers with timely and actionable data for precise fertilizer application.

Author Contributions

Conceptualization and funding acquisition, S.B. and K.J.; Methodology, V.K., S.B. and K.J.; Sampling and experimentation, V.V. and V.K.; Data analysis, V.V., V.K., S.B. and K.J.; Supervision, V.K., S.B. and K.J.; Writing—original draft, V.V. and V.K., Writing—review and editing, V.V., V.K., S.B. and K.J. All authors have read and agreed to the published version of the manuscript.

Funding

This work is partially supported by the National Science Foundation under Award Numbers 1827682 and 1160483, and the U.S. Department of Energy, National Nuclear Security Agency under Award Number DE-NA0003981.

Data Availability Statement

The original contributions presented in the study are included in the article, and further inquiries can be directed to the corresponding author.

Acknowledgments

We would like to thank Department of Earth and Environment for providing Teaching Assistantship for Vagheeswari Venkadesh as part of her dissertation research.

Conflicts of Interest

The authors declare no conflict of interest. The funders had no role in the design of the study; in the collection, analyses, or interpretation of data; in the writing of the manuscript; or in the decision to publish the results.

References

  1. Kumar, S.; Kumar, S.; Mohapatra, T. Interaction between macro-and micro-nutrients in plants. Front. Plant Sci. 2021, 12, 665583. [Google Scholar] [CrossRef] [PubMed]
  2. Bandhana Bose, B.B.; Srivastava, H.S. Absorption and accumulation of nitrate in plants: Influence of environmental factors. Indian J. Exp. Bot. 2001, 39, 101–110. [Google Scholar]
  3. Crawford, N.M. Nitrate: Nutrient and signal for plant growth. Plant Cell 1995, 7, 859. [Google Scholar] [PubMed]
  4. Tamme, T.; Reinik, M.; Roasto, M. Nitrates and nitrites in vegetables: Occurrence and health risks. In Bioactive Foods in Promoting Health; Academic Press: Cambridge, MA, USA, 2010; pp. 307–321. [Google Scholar]
  5. López-Arredondo, D.L.; Leyva-González, M.A.; González-Morales, S.I.; López-Bucio, J.; Herrera-Estrella, L. Phosphate nutrition: Improving low-phosphate tolerance in crops. Annu. Rev. Plant Biol. 2014, 65, 95–123. [Google Scholar] [CrossRef]
  6. Johnston, A.E.; Richards, I.R. Effectiveness of different precipitated phosphates as phosphorus sources for plants. Soil Use Manag. 2003, 19, 45–49. [Google Scholar] [CrossRef]
  7. Johnson, R.; Vishwakarma, K.; Hossen, M.S.; Kumar, V.; Shackira, A.M.; Puthur, J.T.; Abdi, G.; Sarraf, M.; Hasanuzzaman, M. Potassium in plants: Growth regulation, signaling, and environmental stress tolerance. Plant Physiol. Biochem. 2022, 172, 56–69. [Google Scholar] [CrossRef]
  8. Grant, K.N.; Macrae, M.L.; Rezanezhad, F.; Lam, W.V. Nutrient leaching in soil affected by fertilizer application and frozen ground. Vadose Zone J. 2019, 18, 1–13. [Google Scholar] [CrossRef]
  9. Abbas, S.; Javed, M.T.; Ali, Q.; Azeem, M.; Ali, S. Nutrient deficiency stress and relation with plant growth and development. In Engineering Tolerance in Crop Plants Against Abiotic Stress; CRC Press: Boca Raton, FL, USA, 2021; pp. 239–262. [Google Scholar]
  10. Mordor Intelligence. Fertilizers Market Size & Share Analysis—Growth Trends & Forecasts Up to 2030. Available online: https://www.mordorintelligence.com/industry-reports/fertilizers-market (accessed on 6 January 2025).
  11. Shukla, A.K.; Behera, S.K.; Chaudhari, S.K.; Singh, G. Fertilizer use in Indian agriculture and its impact on human health and environment. Indian J. Fertil. 2022, 18, 218–237. [Google Scholar]
  12. Brown, J.R. Recommended Chemical Soil Test Procedures for the North Central Region (No. 1001); Missouri Agricultural Experiment Station, University of Missouri: Columbia, MO, USA, 1998. [Google Scholar]
  13. Slater, C.; Cleary, J.; Lau, K.T.; Snakenborg, D.; Corcoran, B.; Kutter, J.P.; Diamond, D. Validation of a fully autonomous phosphate analyser based on a microfluidic lab-on-a-chip. Water Sci. Technol. 2010, 61, 1811–1818. [Google Scholar] [CrossRef]
  14. Zulkifli, S.N.; Rahim, H.A.; Lau, W.J. Detection of contaminants in water supply: A review on state-of-the-art monitoring technologies and their applications. Sens. Actuators B Chem. 2018, 255, 2657–2689. [Google Scholar] [CrossRef]
  15. Richardson, S.D.; Kimura, S.Y. Water analysis: Emerging contaminants and current issues. Anal. Chem. 2019, 92, 473–505. [Google Scholar] [CrossRef] [PubMed]
  16. Saez, J.A.; Navas, S.; Salat, J.; Veciana, J.; Ballabrera-Poy, J.; Garcáa-Ladona, E.; Fernández, J.P.; Sorribas, J.; Magni, P.; Satta, A.; et al. Analysis of Relevant Technical Issues and Deficiencies of the Existing Sensors and Related Initiatives Currently Set and Working in Marine Environment. New Generation Technologies for Cost-Effective Sensors; Project Report; Consiglio Nazionale delle Ricerche: Rome, Italy, 2014. [Google Scholar]
  17. Tiuftiakov, N.Y.; Zdrachek, E.; Bakker, E. Ion-Exchange and Lipophilicity Limitations of Ionic Liquid Reference Electrodes. Sens. Actuators B Chem. 2024, 407, 135474. [Google Scholar] [CrossRef]
  18. Zhang, Y.; Cremer, P.S. Interactions between macromolecules and ions: The Hofmeister series. Curr. Opin. Chem. Biol. 2006, 10, 658–663. [Google Scholar] [CrossRef] [PubMed]
  19. Li, Y.; Jiang, T.; Yu, X.; Yang, H. Phosphate sensor using molybdenum. J. Electrochem. Soc. 2016, 163, B479. [Google Scholar] [CrossRef]
  20. Bühlmann, P.; Pretsch, E.; Bakker, E. Carrier-based ion-selective electrodes and bulk optodes. 2. Ionophores for potentiometric and optical sensors. Chem. Rev. 1998, 98, 1593–1688. [Google Scholar] [CrossRef]
  21. Kamat, V.; Burton, L.; Venkadesh, V.; Jayachandran, K.; Bhansali, S. Enabling smart agriculture through sensor-integrated microfluidic chip to monitor nutrient uptake in plants. ECS Sens. Plus 2023, 2, 043201. [Google Scholar] [CrossRef]
  22. BelBruno, J.J. Molecularly imprinted polymers. Chem. Rev. 2019, 119, 94–119. [Google Scholar] [CrossRef]
  23. Van Dorst, B.; Mehta, J.; Bekaert, K.; Rouah-Martin, E.; De Coen, W.; Dubruel, P.; Blust, R.; Robbens, J. Recent advances in recognition elements of food and environmental biosensors: A review. Biosens. Bioelectron. 2010, 26, 1178–1194. [Google Scholar] [CrossRef]
  24. Schirhagl, R. Bioapplications for molecularly imprinted polymers. Anal. Chem. 2014, 86, 250–261. [Google Scholar] [CrossRef]
  25. Liu, Y.; Antwi-Boampong, S.; BelBruno, J.J.; Crane, M.A.; Tanski, S.E. Detection of secondhand cigarette smoke via nicotine using conductive polymer films. Nicotine Tob. Res. 2013, 15, 1511–1518. [Google Scholar] [CrossRef]
  26. Venkadesh, V.; Kamat, V.; Bhansali, S.; Jayachandran, K. Advanced Multi-functional Sensors for In-situ Soil Parameters for Sustainable Agriculture. Electrochem. Soc. Interface 2023, 32, 55. [Google Scholar] [CrossRef]
  27. Manickam, P.; Pasha, S.K.; Snipes, S.A.; Bhansali, S. A reusable electrochemical biosensor for monitoring of small molecules (cortisol) using molecularly imprinted polymers. J. Electrochem. Soc. 2016, 164, B54. [Google Scholar] [CrossRef]
  28. Buffon, E.; Stradiotto, N.R. A molecularly imprinted polymer on reduced graphene oxide-gold nanoparticles modified screen-printed electrode for selective determination of ferulic acid in orange peels. Microchem. J. 2021, 167, 106339. [Google Scholar] [CrossRef]
  29. Beitollahi, H.; Mahmoudi-Moghaddam, H.; Tajik, S.; Jahani, S. A modified screen printed electrode based on La3+-doped Co3O4 nanocubes for determination of sulfite in real samples. Microchem. J. 2019, 147, 590–597. [Google Scholar] [CrossRef]
  30. Ramanaviciene, A.; Ramanavicius, A. Application of polypyrrole for the creation of immunosensors. Crit. Rev. Anal. Chem. 2002, 32, 245–252. [Google Scholar] [CrossRef]
  31. Hutchins, R.S.; Bachas, L.G. Nitrate-selective electrode developed by electrochemically mediated imprinting/doping of polypyrrole. Anal. Chem. 1995, 67, 1654–1660. [Google Scholar] [CrossRef]
  32. Bendikov, T.A.; Thomas, C.H. A sensitive nitrate ion-selective electrode from a pencil lead. An analytical laboratory experiment. J. Chem. Educ. 2005, 82, 439. [Google Scholar] [CrossRef]
  33. Di, H.J.; Cameron, K.C. Nitrate leaching in temperate agroecosystems: Sources, factors and mitigating strategies. Nutr. Cycl. Agroecosystems 2002, 64, 237–256. [Google Scholar] [CrossRef]
  34. Addiscott, T.M.; Thomas, D. Tillage, mineralization and leaching: Phosphate. Soil Tillage Res. 2000, 53, 255–273. [Google Scholar] [CrossRef]
  35. Bhadha, J.H.; Harris, W.G.; Jawitz, J.W. Soil phosphorus release and storage capacity from an impacted subtropical wetland. Soil Sci. Soc. Am. J. 2010, 74, 1816–1825. [Google Scholar] [CrossRef]
  36. Gérard, F. Clay minerals, iron/aluminum oxides, and their contribution to phosphate sorption in soils—A myth revisited. Geoderma 2016, 262, 213–226. [Google Scholar] [CrossRef]
  37. Ahmed, A.A.; Leinweber, P.; Kühn, O. Advances in understanding the phosphate binding to soil constituents: A computational chemistry perspective. Sci. Total Environ. 2023, 887, 163692. [Google Scholar] [CrossRef]
Figure 1. (A) Commercially purchased SPE with carbon WE and CE and Ag/AgCl as RE; (B) drop casting of 5 µL of analyte on the WE surface.
Figure 1. (A) Commercially purchased SPE with carbon WE and CE and Ag/AgCl as RE; (B) drop casting of 5 µL of analyte on the WE surface.
Agriengineering 07 00083 g001
Scheme 1. Electrostatic binding of anion and nitrate/phosphate with the polypyrrole. Recreated from [32].
Scheme 1. Electrostatic binding of anion and nitrate/phosphate with the polypyrrole. Recreated from [32].
Agriengineering 07 00083 sch001
Figure 2. Calibration of electrodes using different ferri–ferro concentrations to establish a standard electrode potential.
Figure 2. Calibration of electrodes using different ferri–ferro concentrations to establish a standard electrode potential.
Agriengineering 07 00083 g002
Figure 3. Optimization of elution time for nitrate (A) and phosphate (B) sensors in 70% ethanol solution.
Figure 3. Optimization of elution time for nitrate (A) and phosphate (B) sensors in 70% ethanol solution.
Agriengineering 07 00083 g003
Figure 4. Pretreatment of SPE in 0.1 M H2SO4 in a potential window of −1.5 to 1.5 V for ten cycles.
Figure 4. Pretreatment of SPE in 0.1 M H2SO4 in a potential window of −1.5 to 1.5 V for ten cycles.
Agriengineering 07 00083 g004
Figure 5. (A) Electrochemical response of MIP as a function of increasing nitrate concentration from 100 µM to 1 M. Inset: calibration curve between magnitudes of response current and logarithm of nitrate concentrations. (B) Cyclic voltagram of MIP as a function of increasing nitrate concentration from 0.01 M to 100 µM. Inset: calibration curve between magnitudes of response current and logarithm of nitrate concentrations (R2 = 0.9906).
Figure 5. (A) Electrochemical response of MIP as a function of increasing nitrate concentration from 100 µM to 1 M. Inset: calibration curve between magnitudes of response current and logarithm of nitrate concentrations. (B) Cyclic voltagram of MIP as a function of increasing nitrate concentration from 0.01 M to 100 µM. Inset: calibration curve between magnitudes of response current and logarithm of nitrate concentrations (R2 = 0.9906).
Agriengineering 07 00083 g005
Figure 6. (A) Electrochemical response of MIP as a function of increasing phosphate concentration from 100 µM to 1 M. Inset: calibration curve between magnitudes of response current and logarithm of phosphate concentrations. (B) Cyclic voltagram of MIP as a function of increasing phosphate concentration from 10 µM to 100 µM. Inset: calibration curve between magnitudes of response current and logarithm of phosphate concentrations (R2 = 0.9901).
Figure 6. (A) Electrochemical response of MIP as a function of increasing phosphate concentration from 100 µM to 1 M. Inset: calibration curve between magnitudes of response current and logarithm of phosphate concentrations. (B) Cyclic voltagram of MIP as a function of increasing phosphate concentration from 10 µM to 100 µM. Inset: calibration curve between magnitudes of response current and logarithm of phosphate concentrations (R2 = 0.9901).
Agriengineering 07 00083 g006aAgriengineering 07 00083 g006b
Figure 7. (A) Illustration of the developed MIP sensor in untreated soil solution followed by elution in ethanol and rebinding with analyte molecule; (B) direct nutrient analysis in soil solution.
Figure 7. (A) Illustration of the developed MIP sensor in untreated soil solution followed by elution in ethanol and rebinding with analyte molecule; (B) direct nutrient analysis in soil solution.
Agriengineering 07 00083 g007
Figure 8. Concentration of labile nitrates (A) and inorganic phosphates (B) lost during soil washes in different soil types.
Figure 8. Concentration of labile nitrates (A) and inorganic phosphates (B) lost during soil washes in different soil types.
Agriengineering 07 00083 g008
Figure 9. Degradation studies on nitrate (A) and phosphate (B) MIP sensors.
Figure 9. Degradation studies on nitrate (A) and phosphate (B) MIP sensors.
Agriengineering 07 00083 g009
Table 1. Concentration of nitrates and phosphates in different soil types in ppm.
Table 1. Concentration of nitrates and phosphates in different soil types in ppm.
Soil TypeNitrate (ppm)Phosphate (ppm)
Organic garden soil10.54161
Wetland soil21.7123
Beach volleyball court soil0.6214
Table 2. An analysis of N and P concentration in different soil types based on the MIP sensor and the standard laboratory method.
Table 2. An analysis of N and P concentration in different soil types based on the MIP sensor and the standard laboratory method.
Soil TypeMIP Nitrate Sensor (ppm)Total N Lab (ppm)MIP Phosphate Sensor (ppm)Lab Phosphate (ppm)Carbon (%)pH
Organic garden soil10.5411,420161183.76419.2297.35
Wetland soil21.767301.233.40315.7157.36
Beach volleyball court soil0.622401415.3680.0016.26
Table 3. Repeatability studies on 300 µM of nitrate and phosphate MIP sensor.
Table 3. Repeatability studies on 300 µM of nitrate and phosphate MIP sensor.
Analyte12345SD
Nitrate (µM)30632729429630813.5
Phosphate (µM)3052942973112918.2
Disclaimer/Publisher’s Note: The statements, opinions and data contained in all publications are solely those of the individual author(s) and contributor(s) and not of MDPI and/or the editor(s). MDPI and/or the editor(s) disclaim responsibility for any injury to people or property resulting from any ideas, methods, instructions or products referred to in the content.

Share and Cite

MDPI and ACS Style

Venkadesh, V.; Kamat, V.; Bhansali, S.; Jayachandran, K. A Quantitative Analysis of Nutrient Loss in Surface Runoff Using a Novel Molecularly-Imprinted-Polymer-Based Electrochemical Sensor. AgriEngineering 2025, 7, 83. https://doi.org/10.3390/agriengineering7030083

AMA Style

Venkadesh V, Kamat V, Bhansali S, Jayachandran K. A Quantitative Analysis of Nutrient Loss in Surface Runoff Using a Novel Molecularly-Imprinted-Polymer-Based Electrochemical Sensor. AgriEngineering. 2025; 7(3):83. https://doi.org/10.3390/agriengineering7030083

Chicago/Turabian Style

Venkadesh, Vagheeswari, Vivek Kamat, Shekhar Bhansali, and Krishnaswamy Jayachandran. 2025. "A Quantitative Analysis of Nutrient Loss in Surface Runoff Using a Novel Molecularly-Imprinted-Polymer-Based Electrochemical Sensor" AgriEngineering 7, no. 3: 83. https://doi.org/10.3390/agriengineering7030083

APA Style

Venkadesh, V., Kamat, V., Bhansali, S., & Jayachandran, K. (2025). A Quantitative Analysis of Nutrient Loss in Surface Runoff Using a Novel Molecularly-Imprinted-Polymer-Based Electrochemical Sensor. AgriEngineering, 7(3), 83. https://doi.org/10.3390/agriengineering7030083

Article Metrics

Back to TopTop