Exploring the Potential of Agent-Based Models for the Problem of Transhumance Path Exits in Sub-Saharan Africa: Chad’s Routes as a Case Study
Abstract
1. Introduction
2. Materials and Methods
2.1. Study Area Description

2.2. Mathematical Modelling
3. Results
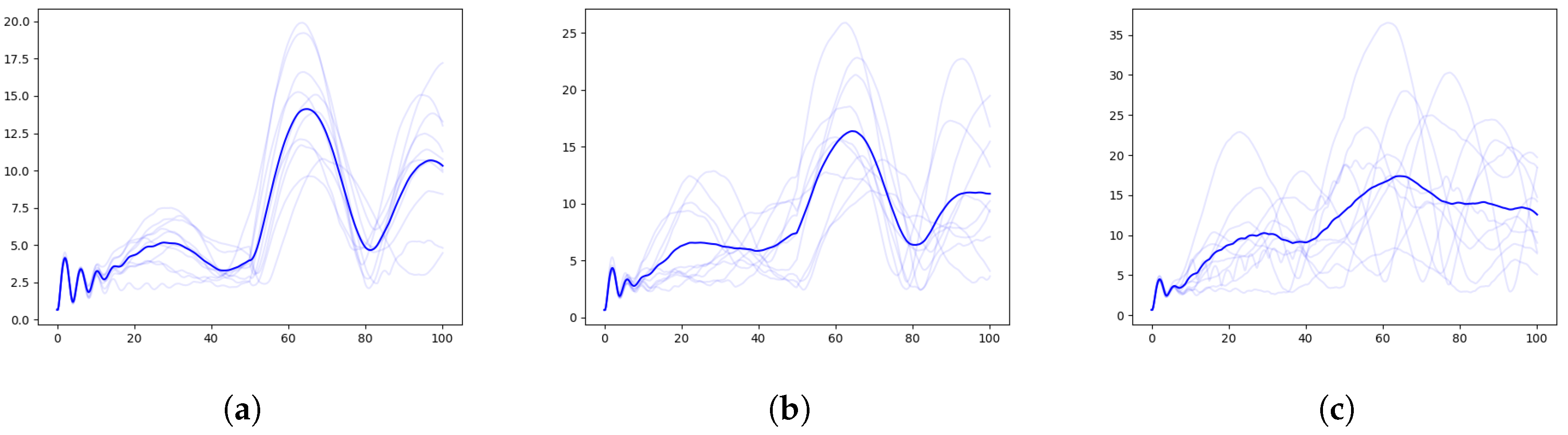
3.1. Elementary Description of Transhumance Routes
3.2. Path Exits on Synthetic Routes

3.2.1. Evolution of the Distance to Herder





3.2.2. Exit Rate and Escape Zone
3.3. Path Exits from Real Routes
4. Discussion
5. Conclusions
- 1.
- Our simulation illustrated the potential of multi-agent mathematical models for interpolating knowledge from sensors measuring the position of one or more possible agents (herders, animals, etc.).
- 2.
- We have used this model to evaluate and test on both simulated and real transhumance routes.
- 3.
- This study confirms the expected results on the impact of route shape, where shallow roads and tight corners increase the risk of animals running off the road.
- 4.
- We have provided an initial quantitative estimate of the risk of exits on synthetic routes.
- 5.
- We applied our approach on 12 real transhumance routes in Chad, describing a new decision-support tool.
- 6.
- Roads have been identified and classified according to three degrees of danger in terms of the risk of exits.
Supplementary Materials
Author Contributions
Funding
Data Availability Statement
Acknowledgments
Conflicts of Interest
References
- Katè, S.; Hounmènou, G.; Amagnide, A.; Houndonougbo, P.; Tchobo, A.; Tente, B.; Diarra, S. Changement climatique, mécanisme actuel de prévention et de gestion des conflits entre agriculteurs et éleveurs en zone agro pastorale de production cotonnière au nord Bénin: Cas de la Commune de Banikoara. Afr. Crop Sci. J. 2015, 23, 9–26. [Google Scholar]
- Diallo, O.A. Ethnic clashes, jihad, and insecurity in central Mali. Peace Rev. 2017, 29, 299–306. [Google Scholar] [CrossRef]
- Turner, M.D. Political ecology and the moral dimensions of “resource conflicts”: The case of farmer–herder conflicts in the Sahel. Political Geogr. 2004, 23, 863–889. [Google Scholar] [CrossRef]
- Gonin, A. Le foncier pastoral au Sahel, des mobilités fragilisées. Bulletin de l’Association de Géographes Français Géographies 2018, 95, 175–186. [Google Scholar] [CrossRef]
- Yoman, M.O.; Djako, A. Conflits d’usage des petits barrages pastoraux à Ferkessédougou, Nord de la Côte d’Ivoire: La difficile sédentarisation des éleveurs Peuls. Eur. Sci. J. 2016, 12, 29. [Google Scholar] [CrossRef][Green Version]
- Group, I.C. Stopping Nigeria’s Spiralling Farmer-Herder Violence; International Crisis Group: Brussels, Belgium, 2022. [Google Scholar]
- Bureau de la Coordination des Affaires Humanitaires. Tchad: Aperçu des Conflits Inter/Intracommunautaires, Janvier 2024. 2024. Available online: https://www.unocha.org/publications/report/chad/tchad-apercu-des-conflits-interintracommunautaires-janvier-2024 (accessed on 31 January 2024).
- Sule, I.M.; Odekunle, M.O. Landscapes of West Africa: A Window on a Changing World; U.S. Geological Survey EROS: Garretson, SD, USA, 2016.
- Benjaminsen, T.A.; Alinon, K.; Buhaug, H.; Buseth, J.T. Does climate change drive land-use conflicts in the Sahel? J. Peace Res. 2012, 49, 97–111. [Google Scholar] [CrossRef]
- Krätli, S.; Toulmin, C. Conflit Entre Agriculteurs et Éleveurs en Afrique Subsaharienne; IIED: London, UK, 2020. [Google Scholar]
- Akov, E.T. The resource-conflict debate revisited: Untangling the case of farmer–herdsman clashes in the North Central region of Nigeria. Afr. Secur. Rev. 2017, 26, 288–307. [Google Scholar] [CrossRef]
- Seter, H.; Theisen, O.M.; Schilling, J. All about water and land? Resource-related conflicts in East and West Africa revisited. GeoJournal 2018, 83, 169–187. [Google Scholar] [CrossRef]
- Bassett, T.J. Mobile pastoralism on the brink of land privatization in Northern Côte d’Ivoire. Geoforum 2009, 40, 756–766. [Google Scholar] [CrossRef]
- Potts, M.; Henderson, C.; Campbell, M. The Sahel: A Malthusian Challenge? Environ. Resour. Econ. 2013, 55, 501–512. [Google Scholar] [CrossRef]
- Benjaminsen, T.A.; Ba, B. Farmer–herder conflicts, pastoral marginalisation and corruption: A case study from the inland Niger delta of Mali. Geogr. J. 2009, 175, 71–81. [Google Scholar] [CrossRef]
- Gado, B.O.K.; Imorou, I.T.; Arouna, O.; Imorou, H.S.; Oumorou, M. Déterminants des itinéraires de transhumance à la périphérie de la réserve de biosphère transfrontalière du W au Bénin. J. Appl. Biosci. 2020, 152, 15650–15666. [Google Scholar] [CrossRef]
- Brottem, L.V. Environmental change and farmer-herder conflict in agro-pastoral West Africa. Hum. Ecol. 2016, 44, 547–563. [Google Scholar] [CrossRef]
- Higazi, A.; Yousuf, Z. From Cooperation to Contention: Political Unsettlement and Farmer-Pastoralist Conflicts in Nigeria; [PSRP Report, Accord]. Conciliation Resources; Conciliation Resources: London, UK, 2017; Available online: https://peacerep.org/publication/from-cooperation-to-contention-political-unsettlement-and-farmer-pastoralist-conflicts-in-nigeria/ (accessed on 28 January 2025).
- Kuusaana, E.D.; Bukari, K.N. Land conflicts between smallholders and Fulani pastoralists in Ghana: Evidence from the Asante Akim North District (AAND). J. Rural Stud. 2015, 42, 52–62. [Google Scholar] [CrossRef]
- Bouix, J. Une Analyse Compréhensive de l’Utilisation et de l’Adoption des Objets Connectés dans l’Éducation des Patients et la Promotion de la Santé: Vers une Revue Meta-Narrative. Ph.D. Thesis, Laboratoire Educations et Pratiques en Santé, UR3412, Université Sorbonne, Paris, France, 2021. [Google Scholar]
- Olaniyan, A. The Fulani–Konkomba conflict and management strategy in Gushiegu, Ghana. J. Appl. Secur. Res. 2015, 10, 330–340. [Google Scholar] [CrossRef]
- Brottem, L.V. Pastoral resource conflict in the context of Sudano–Sahelian security crises: A critical review of research. Afr. Secur. 2020, 13, 380–402. [Google Scholar] [CrossRef]
- Reynolds, C.W. Flocks, herds and schools: A distributed behavioral model. In Proceedings of the 14th Annual Conference on Computer Graphics and Interactive Techniques, Anaheim, CA, USA, 27–31 July 1987; pp. 25–34. [Google Scholar]
- Aoki, I. A simulation experiment on individual differences in schooling behaviour of fish. Bull. Jpn. Soc. Sci. Fish 1986, 52, 1115–1119. [Google Scholar] [CrossRef]
- Vicsek, T.; Czirók, A.; Ben-Jacob, E.; Cohen, I.; Shochet, O. Novel type of phase transition in a system of self-driven particles. Phys. Rev. Lett. 1995, 75, 1226. [Google Scholar] [CrossRef]
- Cucker, F.; Smale, S. Emergent behavior in flocks. IEEE Trans. Autom. Control 2007, 52, 852–862. [Google Scholar] [CrossRef]
- Gómez-Nava, L.; Bon, R.; Peruani, F. Intermittent collective motion in sheep results from alternating the role of leader and follower. Nat. Phys. 2022, 18, 1494–1501. [Google Scholar] [CrossRef]
- Rumiano, F.; Gaucherel, C.; Degenne, P.; Miguel, E.; Chamaillé-Jammes, S.; Valls-Fox, H.; Cornélis, D.; de Garine-Wichatitsky, M.; Fritz, H.; Caron, A.; et al. Combined use of remote sensing and spatial modelling: When surface water impacts buffalo (Syncerus caffer caffer) movements in savanna environments. Int. Arch. Photogramm. Remote Sens. Spat. Inf. Sci. 2021, XLIII-B3-2021, 631–638. [Google Scholar] [CrossRef]
- Lee, W.; Kim, D. Autonomous shepherding behaviors of multiple target steering robots. Sensors 2017, 17, 2729. [Google Scholar] [CrossRef] [PubMed]
- Herlin, A.; Brunberg, E.; Hultgren, J.; Högberg, N.; Rydberg, A.; Skarin, A. Animal welfare implications of digital tools for monitoring and management of cattle and sheep on pasture. Animals 2021, 11, 829. [Google Scholar] [CrossRef] [PubMed]
- Vera-Amaro, R.; Angeles, M.E.R.; Luviano-Juarez, A. Design and analysis of wireless sensor networks for animal tracking in large monitoring polar regions using phase-type distributions and single sensor model. IEEE Access 2019, 7, 45911–45929. [Google Scholar] [CrossRef]
- Gloaguen, P.; Mahévas, S.; Rivot, E.; Woillez, M.; Guitton, J.; Vermard, Y.; Etienne, M.P. An autoregressive model to describe fishing vessel movement and activity. Environmetrics 2015, 26, 17–28. [Google Scholar] [CrossRef]
- Cattiaux, P.; Delebecque, F.; Pédèches, L. Stochastic Cucker–Smale models: Old and new. Ann. Appl. Probab. 2018, 28, 3239–3286. [Google Scholar] [CrossRef]
- Fetecau, R.C.; Huang, Y.; Kolokolnikov, T. Swarm dynamics and equilibria for a nonlocal aggregation model. Nonlinearity 2011, 24, 2681–2716. [Google Scholar] [CrossRef]
- Traore, C.A.D.G.; Delay, E.; Diop, D.; Bah, A. Agent-based model for analyzing the impact of movement factors of sahelian transhumant herds. Hum.-Centric Intell. Syst. 2024, 4, 363–381. [Google Scholar] [CrossRef]
- Traore, C.A.D.G.; Delay, E.; Diop, D.; Bah, A. Agent-based model of transhumant decision-making processes in Senegal. J. Artif. Soc. Soc. Simul. 2024, 27, 5. [Google Scholar] [CrossRef]
- Gomez, C.; Aboubacar, M.S.; Ienco, D.; Feurer, D.; Jenhaoui, Z.; Rafla, A.; Teisseire, M.; Bailly, J.S. Sentinel-2 images to assess soil surface characteristics over a rainfed Mediterranean cropping system. Catena 2022, 213, 106152. [Google Scholar] [CrossRef]
- Kalenga Tshingomba, U.; Jouven, M.; Sautot, L.; Shaqura, I.; Teisseire, M. Cartographie des surfaces pastorales à l’aide des données Sentinel 2 L3A et des données ouvertes: Promesses et réalités. Rev. Int. Géomatique 2022, 30, 245–277. [Google Scholar] [CrossRef]
- Grisot, P.G.; Llaria, A.; Philibert, A.A.; Guinamard, C.; Menassol, J.B.; Flégar, M.; Jouven, M. CLOChèTE-Caractérisation du Comportement et Localisation des Ovins et des Caprins grâce aux Technologies Embarquées: Aide à la Conduite des Troupeaux et à la Valorisation des Surfaces Pastorales. Innov. Agron. 2022, 85, 47–60. [Google Scholar]
- Liechti, K.; Biber, J. Pastoralism in Europe: Characteristics and challenges of highland–lowland transhumance. Rev. Sci. Tech. 2016, 35, 561–575. [Google Scholar] [CrossRef] [PubMed]
- Huband, S.; McCracken, D.I.; Mertens, A. Long and short-distance transhumant pastoralism in Romania: Past and present drivers of change. Pastor. Res. Policy Pract. 2010, 1, 55–71. [Google Scholar]
- Baena, P.M.; Casas, R. Past, present and future of transhumancia in Spain: Nomadism in a developed country. Pastoralism 2010, 1, 73–90. [Google Scholar]






| Province | Department | Sub-Prefecture | Canton | Corridor Number |
|---|---|---|---|---|
| Batah | Batha ouest | Koudjourou | Kouka | 2 |
| Chari-Baguirmi | Baguirmi | Massenya | Massenya | 1 |
| Chari-Baguirmi | Baguirmi | Billi | Bulli | 1 |
| Guerra | Guera | Baro | Mégami | 3 |
| Logone-Occidental | Nya Pendé | Doba rural | Nancian | 1 |
| Salamat | Aboudeïa | Aboudeïa | Aboudeïa | 3 |
| Mandoul | Haraze-Mangueigne | Haraze | Haraze | 1 |
| Rtes | Width ± Std | Angles ± Std | Length ± Std | Total Length | Corridor Nb |
|---|---|---|---|---|---|
| 1 | 60 | ||||
| 2 | 58 | ||||
| 3 | 22 | ||||
| 4 | 26 | ||||
| 5 | 71 | ||||
| 6 | 47 | ||||
| 7 | 16 | ||||
| 8 | 25 | ||||
| 9 | 28 | ||||
| 10 | 52 | ||||
| 11 | 47 | ||||
| 12 | 4 | ||||
| Total | 456 |
| Route | Mean Time Outside Route for All Cows | Mean Time Outside Route per Cow | Mean % Time Outside Route per Cow | Danger Level |
|---|---|---|---|---|
| 1 | 5078.05 | 101.56 | 3.15 | 1 |
| 2 | 151.44 | 3.03 | 2.86 | 2 |
| 3 | 419.86 | 8.40 | 7.93 | 2 |
| 4 | 52.00 | 1.04 | 8.39 | 3 |
| 5 | 2219.40 | 44.39 | 3.77 | 1 |
| 6 | 1880.60 | 37.61 | 6.34 | 1 |
| 7 | 127.59 | 2.55 | 1.48 | 1 |
| 8 | 76.19 | 1.52 | 5.78 | 2 |
| 9 | 69.71 | 1.39 | 3.39 | 2 |
| 10 | 508.07 | 10.16 | 4.02 | 2 |
| 11 | 121.30 | 2.43 | 1.03 | 2 |
| 12 | 183.83 | 3.68 | 1.73 | 1 |
Disclaimer/Publisher’s Note: The statements, opinions and data contained in all publications are solely those of the individual author(s) and contributor(s) and not of MDPI and/or the editor(s). MDPI and/or the editor(s) disclaim responsibility for any injury to people or property resulting from any ideas, methods, instructions or products referred to in the content. |
© 2025 by the authors. Licensee MDPI, Basel, Switzerland. This article is an open access article distributed under the terms and conditions of the Creative Commons Attribution (CC BY) license (https://creativecommons.org/licenses/by/4.0/).
Share and Cite
Abdouna, M.; Ahmat, D.; Cloez, B.; Cotil, A.; Jones, H. Exploring the Potential of Agent-Based Models for the Problem of Transhumance Path Exits in Sub-Saharan Africa: Chad’s Routes as a Case Study. AgriEngineering 2025, 7, 60. https://doi.org/10.3390/agriengineering7030060
Abdouna M, Ahmat D, Cloez B, Cotil A, Jones H. Exploring the Potential of Agent-Based Models for the Problem of Transhumance Path Exits in Sub-Saharan Africa: Chad’s Routes as a Case Study. AgriEngineering. 2025; 7(3):60. https://doi.org/10.3390/agriengineering7030060
Chicago/Turabian StyleAbdouna, Mahamat, Daouda Ahmat, Bertrand Cloez, Adrien Cotil, and Hazaël Jones. 2025. "Exploring the Potential of Agent-Based Models for the Problem of Transhumance Path Exits in Sub-Saharan Africa: Chad’s Routes as a Case Study" AgriEngineering 7, no. 3: 60. https://doi.org/10.3390/agriengineering7030060
APA StyleAbdouna, M., Ahmat, D., Cloez, B., Cotil, A., & Jones, H. (2025). Exploring the Potential of Agent-Based Models for the Problem of Transhumance Path Exits in Sub-Saharan Africa: Chad’s Routes as a Case Study. AgriEngineering, 7(3), 60. https://doi.org/10.3390/agriengineering7030060

