Next Article in Journal
Evaluation of the Incidence of Mineral Fertilizer Entrapment in Organic Matrix of Residual Biosolids, Cellulose and Sawdust in Maize (Zea mays) Crop
Previous Article in Journal
SVMobileNetV2: A Hybrid and Hierarchical CNN-SVM Network Architecture Utilising UAV-Based Multispectral Images and IoT Nodes for the Precise Classification of Crop Diseases
 
 
Font Type:
Arial Georgia Verdana
Font Size:
Aa Aa Aa
Line Spacing:
Column Width:
Background:
Article

Evaluation of Reuse of Spent Mushroom Substrate for New Pleurotus ostreatus Crop Cycle

by
Wagner Gonçalves Vieira Junior
1,2,*,
Lucas da Silva Alves
1,
Jadson Belém de Moura
2,
Adriano Taffarel Camargo de Paula
1,
Marcos Antônio da Silva Freitas
3,
Manuel Álvarez Orti
4,
Francisco José Gea Alegría
5 and
Diego Cunha Zied
3,*
1
Programa de Pós-Graduação em Microbiologia Agropecuária, Faculdade de Ciências Agrárias e Veterinárias, Universidade Estadual Paulista “Júlio de Mesquita Filho”, Jaboticabal 14884-900, São Paulo, Brazil
2
Programa de Pós-Graduação em Sociedade, Tecnologia e Meio Ambiente, Laboratório Solos, Ecologia e Dinâmica da Matéria Orgânica (SEDMO), Centro Universitário Evangélico de Goianésia, Universidade Evangélica de Goiás, Goianésia 76385-608, Goiás, Brazil
3
Departamento de Produção Vegetal, Faculdade de Ciências Agrárias e Tecnológicas, Universidade Estadual Paulista “Júlio de Mesquita Filho, Dracena 17915-899, São Paulo, Brazil
4
Escuela Técnica Superior de Ingeniería Agronómica y de Montes y Biotecnología, Universidad de Castilla La-Mancha, 02071 Albacete, Spain
5
Centro de Investigación, Experimentación y Servicios del Champiñón (CIES), Quintanar del Rey, 16220 Cuenca, Spain
*
Authors to whom correspondence should be addressed.
AgriEngineering 2025, 7(10), 342; https://doi.org/10.3390/agriengineering7100342
Submission received: 14 August 2025 / Revised: 19 September 2025 / Accepted: 3 October 2025 / Published: 10 October 2025
(This article belongs to the Section Sustainable Bioresource and Bioprocess Engineering)

Abstract

Although considered relatively sustainable, mushroom production generates significant waste at the end of cultivation. This study investigated the reuse of Spent Mushroom Substrate (SMS) to formulate new substrates for Pleurotus ostreatus cultivation. Substrates with high (higher bran content) and low (lower bran content) nitrogen levels were prepared and supplemented with 5%, 10%, or 20% SMS across three successive cycles P. ostreatus crops. Cultivation performance was evaluated based on biological efficiency, number of mushrooms, fresh weight, and number of clusters. Substrates were chemically characterized for total nitrogen, carbon, C/N ratio, electrical conductivity, and pH. The inclusion of SMS, along with reduced bran content, did not improve P. ostreatus yield and led to lower productivity compared to control substrates. No consistent correlations were observed between chemical variables and yield, although high-N substrates generally performed better. SMS reuse, under these conditions, is not viable, but results encourage further research.

1. Introduction

Since 2000, global mushroom production has increased more than fivefold and currently remains at around 44 million tons worldwide [1]. This expansion is primarily attributed to the global demand for healthier foods, as mushrooms are recognized for their high nutritional value [2,3]. Additionally, mushrooms are often associated with the treatment of various diseases, including neurodegenerative disorders [4], cancer [5], and possess antioxidant and anti-inflammatory properties [6], among others.
Pleurotus ostreatus is one of the most widely cultivated fungi worldwide [7], using sustainable agricultural practices, particularly the use of organic waste as a nutrient source in new cultivation cycles [8]. P. ostreatus stands out not only for its adaptability [9] but also for its potential to reduce agricultural waste by using materials like sawdust, straw, promoting the circular economy and reducing natural resource waste [10].
Alongside the industry’s growth, there has been a notable increase in waste generation, specifically Spent Mushroom Substrate (SMS) [11]. Poor management of this by-product can lead to environmental issues and compromise the microbiological integrity of cultivation systems [12]. SMS is not fully degraded by the fungus, with decomposition rates ranging from 40% to 80% [13]. It consists of lignocellulosic biomass and may contain valuable compounds such as proteins, phenolic compounds, sugar polymers, among others—depending on the region and biomass used for cultivation [11,14].
SMS technologies aim to valorize a waste product with multiple potential benefits while mitigating environmental impacts [15,16,17]. Their applications—including, but not limited to, use as compost and soil amendments, bioenergy production, animal feed, and reuse in new mushroom cultivation cycles [18,19,20]—support the circular economy by returning value to the production system and reducing reliance on natural resources. Reusing SMS to formulate substrates for new cycles also helps lower production costs, but this approach remains relatively new and requires further refinement, particularly for the production of the same mushroom species [18]. The effectiveness of using SMS in the cultivation of the same species and the same industry is strengthened by the fact that it significantly reduces the cost of disposal and burning of oil during truck transportation. This application becomes even more significant if the mushroom production method adopts a substrate sterilization system, as in this study.
Therefore, the objective of this study was to evaluate the reintroduction of SMS into substrates over three production cycles of P. ostreatus, aiming to proportionally reduce the number of concentrated materials (high-N bran) and to explore its effects on cultivation performance.

2. Materials and Methods

This study was conducted at the Mushroom Research Center (CECOG), part of the School of Agricultural and Technological Sciences (FCAT) of São Paulo State University (UNESP), located on the Dracena campus. The research was divided into three stages. The first stage consisted of a comparative study between two types of substrates: one with a higher bran content (high-N) and another with a lower bran content (low-N) for the cultivation of Pleurotus ostreatus. Additionally, the reuse of Spent Mushroom Substrate (SMS) in the formulation of new production cycles was evaluated.
In the first experiment, two distinct substrates were used: high-N, with a higher amount of bran and consequently higher nitrogen content, and low-N, with a reduced bran content. In the second experiment, different SMS levels (5%, 10%, and 20%) were incorporated into the substrates, with the proportion of bran reduced accordingly. The SMS used in this phase was obtained from the first experiment. In the third experiment, the SMS generated in the second stage was reused to create new substrates, where each previous treatment led to three new SMS concentration levels. In all stages, the distinction between high-N and low-N substrates was maintained (Figure 1).

2.1. First Experiment

In the first phase, two types of substrates were used for cultivation. The high-N substrate consisted of 73% sawdust, 12% wheat bran, 8% rice bran, 3.5% corn grits, 1.5% soybean meal, and 2% limestone. The low-N substrate had a lower total bran content (15%) and consisted of 83% sawdust, 7.2% wheat bran, 4.8% rice bran, 2.1% corn grits, 0.9% soybean meal, and 2% limestone. At the end of this stage, agronomic yield data were collected for evaluation. The resulting SMS was shredded while still fresh and immediately used in the next phase.

2.2. Second Experiment

The SMS produced in the previous experiment was used in the second phase, while maintaining the distinction between high-N and low-N substrates. Each substrate received a specific SMS concentration, and the bran content was proportionally reduced. Three SMS concentrations were tested: 5%, 10%, and 20%, along with a control group without SMS (0%). In the high-N substrate, which originally contained 25% bran, the bran amount was reduced as SMS increased—for example, 5% SMS and 20% bran. The same principle applied to the low-N substrate, which had 15% initial bran. In the 20% SMS treatment, bran was completely removed, and 5% sawdust was also replaced.

2.3. Third Experiment

In the final phase, a new production cycle was conducted using different SMS doses, repeating the same concentrations from the second experiment but tested in three new proportions. For instance, the high-N substrate with 5% SMS from the previous stage was used in new formulations containing 5%, 10%, and 20% SMS. The same procedure was applied to all other concentrations, always maintaining the high-N and low-N distinction.

2.4. Substrate Preparation

Substrate formulations followed the previously described proportions. In all experiments, the high-N substrate contained 25% bran (12% wheat bran, 8% rice bran, 3.5% corn grits, 1.5% soybean meal), and the low-N substrate had 15% bran (7.2% wheat bran, 4.8% rice bran, 2.1% corn grits, 0.9% soybean meal). All substrates received 2% calcium carbonate (CaCO3) for pH adjustment. Eucalyptus sawdust was used as the base—73% in high-N and 83% in low-N substrates, except in treatments where sawdust was reduced due to SMS incorporation. Ingredients were thoroughly mixed, and moisture was adjusted to 65%. The substrate was then bagged (2 kg per bag), compacted, and autoclaved at 121 °C for 4 h.

2.5. Spawn Production and Inoculation

Spawn production followed the methodology proposed by [21], including the preparation of primary, secondary, tertiary matrices and the final spawn. For tertiary matrix and spawn, the substrate was composed of 75.5% eucalyptus sawdust, 10.8% wheat bran, 7.2% rice bran, 3.15% corn grits, 1.35% soybean meal, and 2% calcium carbonate. The strain used was P. ostreatus POS 22/03, originally from South Korea and re-isolated from growers in Mogi das Cruzes, São Paulo, Brazil. Inoculation was performed in a controlled environment under laminar flow, using 2% of the substrate’s weight. After inoculation, the blocks were sealed and transferred to an incubation room at 26–28 °C and 80–85% relative humidity.

2.6. Mushroom Production and Harvest

After colonization, the bags were opened by removing the upper part, lightly sprayed with water, and transferred to the production room, maintained at 20–22 °C and 80–85% relative humidity. Harvesting was performed manually at the optimal stage, just before full cap expansion. Mushrooms were counted and weighed for agronomic analysis.

2.7. Analyzed Variables

The experiments were evaluated for agronomic traits: productivity (harvested mushroom weight × 100/initial wet substrate weight), number of mushrooms, average mushroom weight (fresh weight/number of mushrooms), and number of clusters. Substrate and SMS chemical properties were also analyzed: C/N ratio, electrical conductivity, and pH, following methods described in the Official Analytical Methods Manual for Fertilizers and Soil Amendments [22,23].

2.8. Experimental Design and Data Analysis

All experiments followed a completely randomized design with 10 replicates. The first experiment used a simple factorial design with two substrates (high-N and low-N), totaling 20 experimental units. The second experiment employed a two-factor factorial design with two substrates and four SMS levels, totaling 80 units. The third experiment also followed a two-factor design with two substrates and different SMS concentrations (0%, 5%, 10%, 20%) from the previous stage, where each resulted in three new SMS concentrations (5%, 10%, 20%), totaling 260 experimental units.
After data collection, analysis of variance (ANOVA) was performed, and means were compared using Tukey’s test at a 5% significance level. Multivariate analysis was conducted to explore the relationships among the evaluated parameters. Principal Component Analysis (PCA) was performed using R software v4.0.5 [24], with the factoextra and ggplot2 packages employed for biplot visualization. Correlated variables were represented through network graphs, with edges indicating the strength and direction of correlations, using the qgraph and igraph packages.

3. Results

3.1. First Experiment

The reduction in nitrogen concentration led to a 22% decrease in yield compared to the treatment with the highest nitrogen concentration (high-N). A similar effect was observed on the average mushroom weight, with the high-N substrate producing mushrooms with greater weight compared to the low-nitrogen (low-N) substrate. No statistically significant differences were found in the total number of mushrooms or in the number of clusters (Table 1).
The reduction in added bran and corn grits increased the C/N ratio by 63.17%, due to the lower nitrogen concentration in the substrate. Additionally, a decrease in electrical conductivity was observed. The SMS showed higher electrical conductivity compared to the initial substrate, as well as reduced carbon and nitrogen concentrations. In the rich SMS, the C/N ratio increased, and in the poor SMS the C/N ratio decreased. In both situations the pH value decreases (Table 2).

3.2. Second Experiment

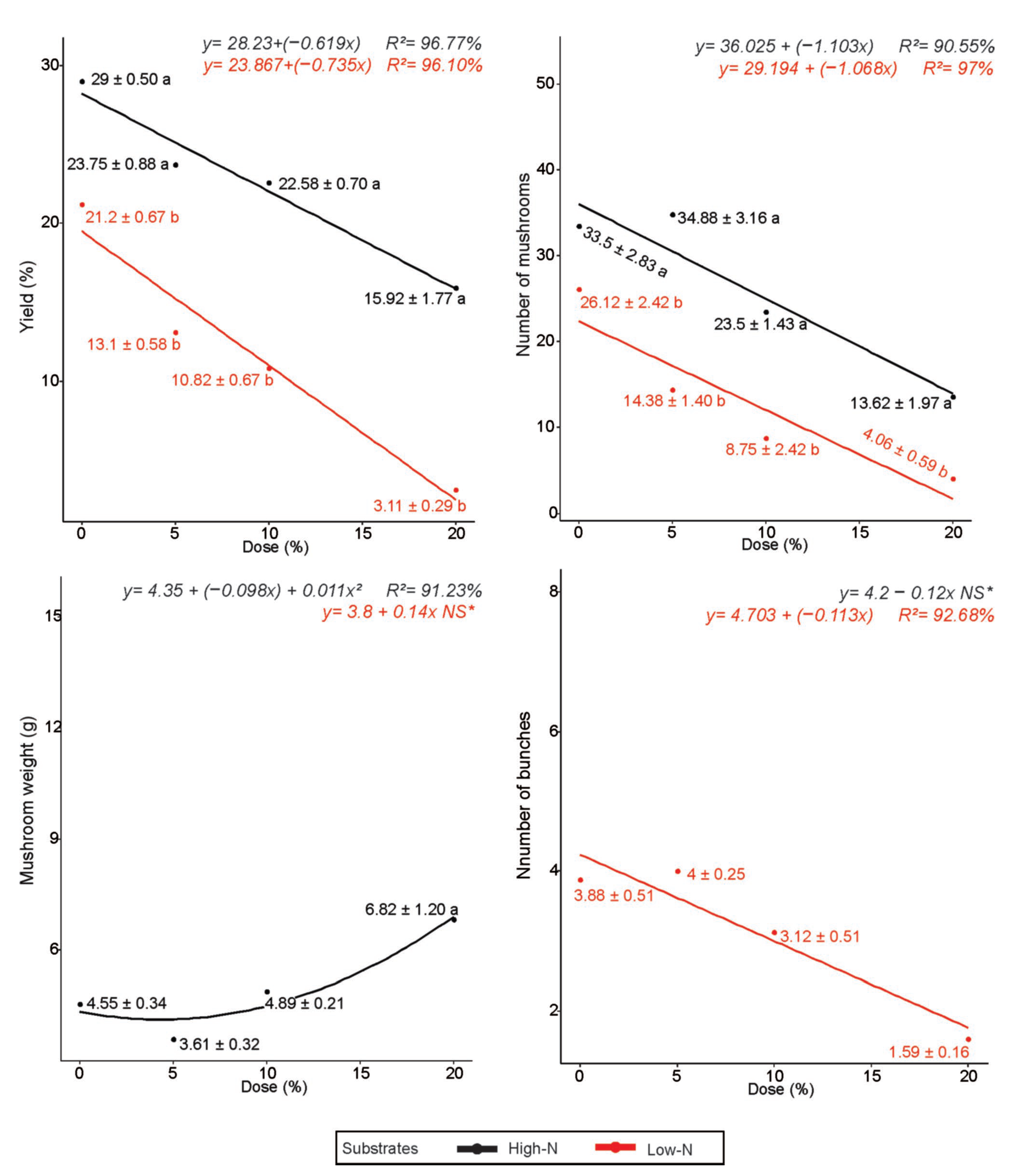
The reduction in bran and corn grits with SMS doses had no significant effect, only in mushroom weight with low-N content and number of branches with high-N content, as indicated by the regression analysis. Increasing the SMS dose, the agronomic parameters were reduced. Comparing rich and poor substrates, with the same amount of SMS, the proportional addition and reduction in bran and corn grits resulted in yield losses, with less productivity and number of mushrooms, while only the mushroom weight showed an increase in the substrate with high-N (Figure 2).
The results described in Table 3 are interesting and show that the addition of SMS reduces the nitrogen content and increases the C/N ratio. Electrical conductivity decreased as bran and corn grits were replaced by SMS.
Related to the chemical characteristics of SMS, the use of N for mushroom production was verified, increasing the C/N ratio and electrical conductivity, on the other hand acidifying the SMS.

3.3. Third Experiment

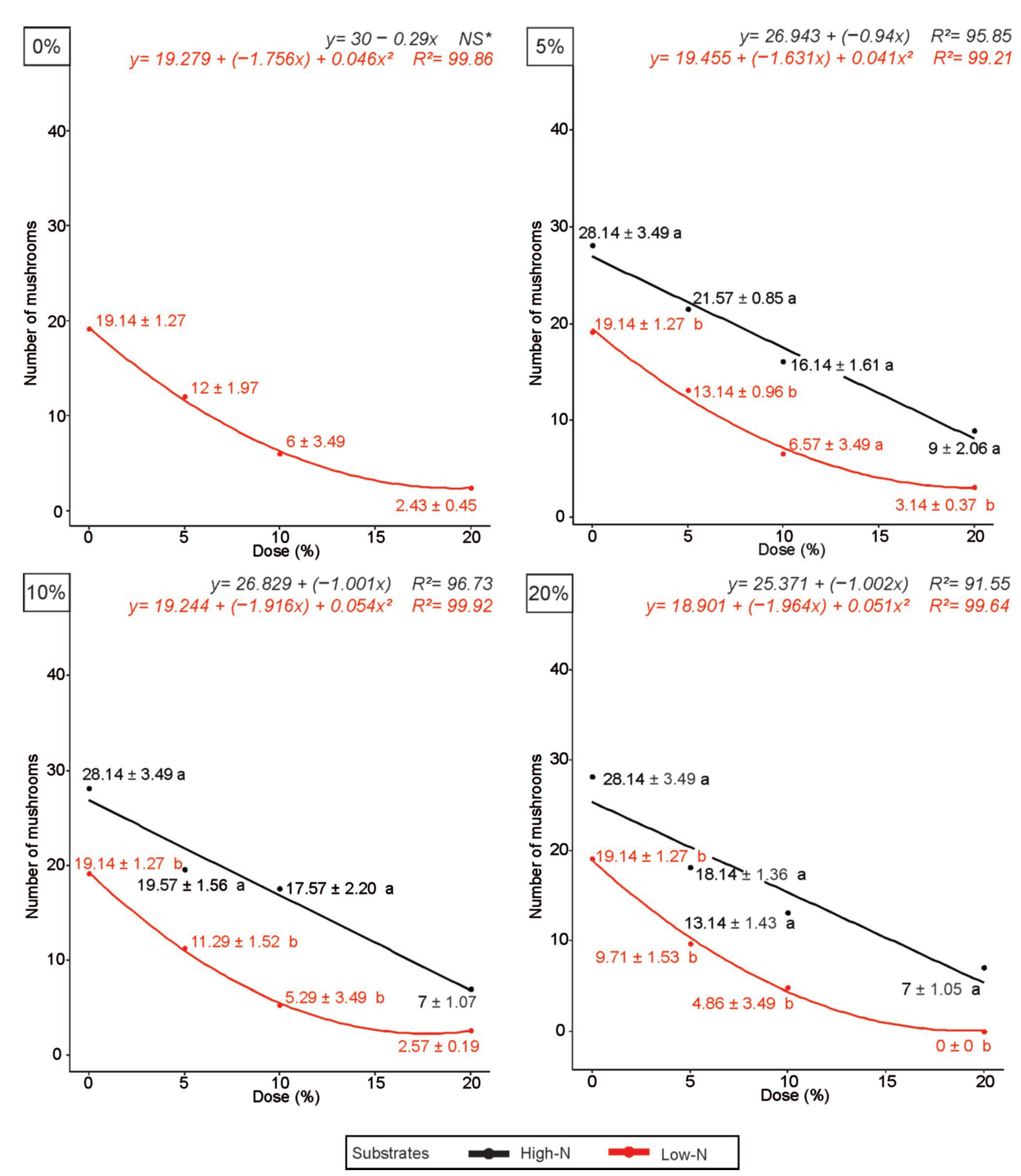
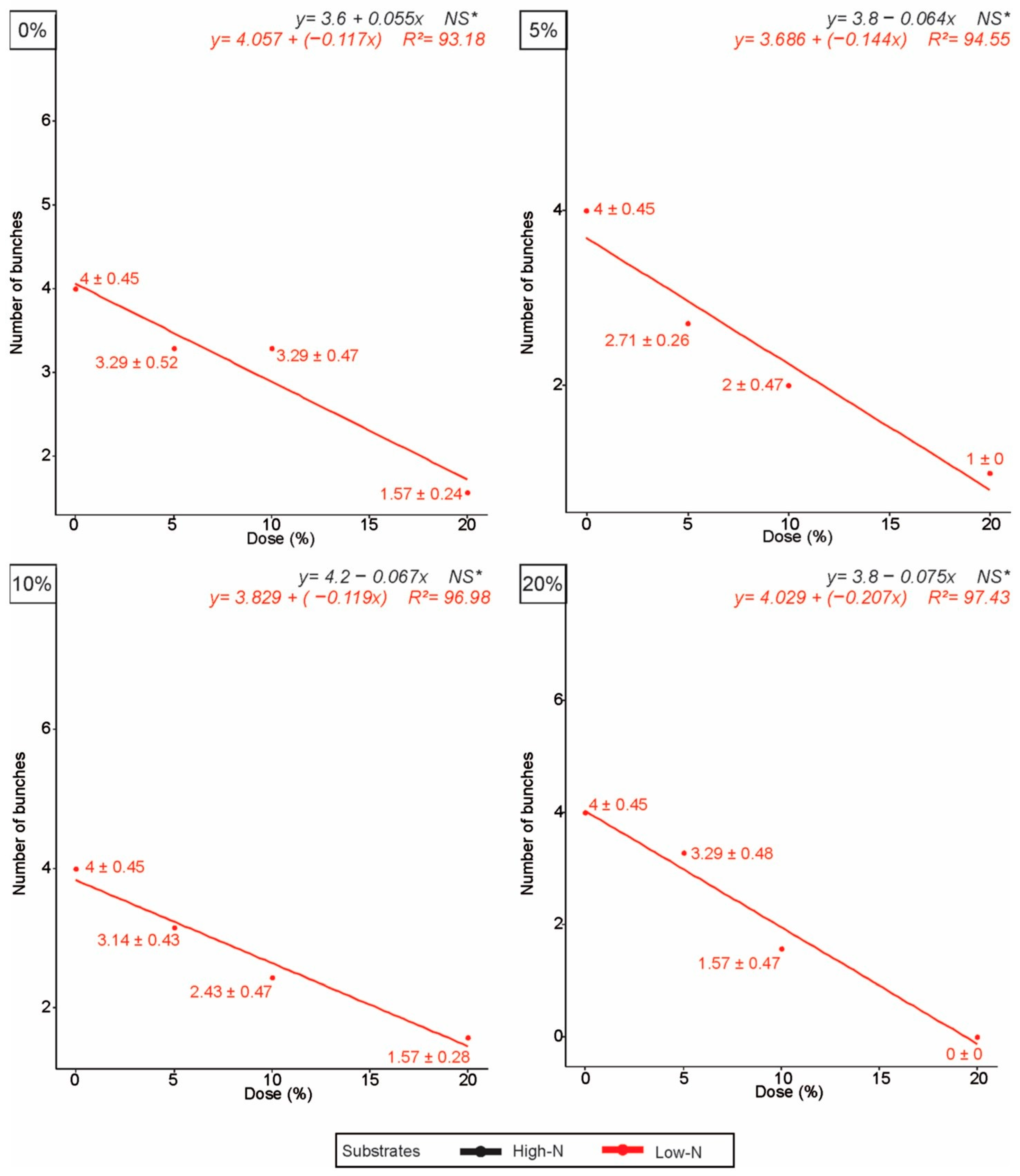
The third experiment was the most extensive, due to the large amount of SMS coming from the second experiment, which totaled 4 formulations, each with 5 doses of SMS. (Figure 3, Figure 4, Figure 5 and Figure 6).
Yield had significant effect as indicated by the regression analysis. Increasing the SMS dose the agronomic parameters were reduced. However, regression modeling of productivity indicated that the quadratic parameter (degree 2) provided a better fit to the data, suggesting reuse of 5, 10 and 20% of SMS coming from the second experiment tends to reduce the difference between the high-N and low-N substrates (Figure 2). Once again, high-N substrates presented higher mean values compared to low-N substrates.
Number of mushrooms with high-N substrates (0% SMS) had no significant effect as indicated by the regression analysis. A reduction in the number of mushrooms was also observed as SMS was added. Depending on the SMS origin (different dosages from the second experiment), different patterns could be noted; however, higher means were generally observed for the high-N substrate, with frequent statistically significant differences between high-N and low-N (Figure 3).
Weight of mushroom with low-N substrates (0, 5 and 10%) and high-N substrate (10%) had no significant effect as indicated by the regression analysis. As for mushroom weight, the reduction in bran and corn grits and the addition of SMS up to a 10% dosage reduced the means, with recovery occurring at the 20% dose in the high-N substrate. When comparing high-N and low-N substrates, no consistent pattern emerged among treatments, with statistically significant differences detected only in substrates composed of SMS originating from the 20% dose (Figure 4).
Number of bunches with high-N substrates (0, 5, 10 and 20%) had no significant effect as indicated by the regression analysis. Overall, the number of clusters decreased with SMS addition. An exception occurred in the high-N substrate with SMS of 0% origin, where the addition of the residue increased the number of clusters, with a statistically significant difference between high-N and low-N at the 20% dosage. In other cases, no statistical differences were observed between substrates (Figure 5).
The same chemical behavior was observed in the substrates of the third experiment, with reductions in nitrogen, EC and pH due to SMS addition, and increase in C/N ratio with the addition of SMS (Table 4).
To understand variable behavior across the dataset, multivariate analyses were performed. Principal Component Analysis (PCA) with biplot was applied to reduce dimensionality and identify the main variables responsible for data variability. The biplot revealed an interaction between the different substrates and the agronomic and chemical parameters. The first two dimensions, PC1 and PC2, explained 32.9% and 65.09% of the total variance, respectively. In most cases, high-N and low-N substrates formed distinct clusters, with some exceptions for substrates showing similar behavior. Productivity and number of mushrooms had the highest values in Cluster 2, while Cluster 1 showed higher values for the C/N ratio (Figure 7).
For the complete dataset (all experiments), the construction of a correlation network revealed little interaction between factors. A negative correlation was observed between the C/N ratio and nitrogen, and a positive correlation between the number of mushrooms, the number of branches, productivity and electrical conductivity (Figure 8).

4. Discussion

Two initial formulations initiated the study: one with a higher N content, containing approximately 25% bran and corn grits, and the other with a lower M content, containing approximately 15.5% bran and corn grits. These formulations are used commercially and serve as a reference for verifying substrate biodegradation and possible N release, which would affect productivity in successive crops.
The components of the substrate, as well as its nutritional balance, are among the main limiting factors for achieving high productivity [25], particularly regarding the carbon-to-nitrogen (C/N) ratio. For example, nitrogen deficiency can redirect central carbon catabolism due to the inactivation of enzymes such as phosphofructokinase and NAD+/NADP+-dependent isocitrate dehydrogenase [26]. On the other hand, low C/N ratios can promote high biomass production and the synthesis of nitrogenous cellular materials such as proteins, glucosamines, and other compounds [23,27]. Lower C/N ratios proved more effective in this study, mainly due to the observed yield differences between high-N and low-N substrates.
Therefore, the limited yields when SMS were re-used may be associated with the substrate’s inability to provide optimal nitrogen concentrations, making it ineffective for replacing concentrated materials in substrate formulation. Substrates with a C/N ratio between 15.09 and 41.02 have shown the highest yields for Pleurotus ostreatus cultivation [25]; however, the values observed in this study exceeded this range, with most substrates having an average C/N ratio greater than 50:1. This also made it possible to detect a correlation between nitrogen content and yields.
The number of mushrooms is related to factors that can influence this variable, including the strain used [28]. It was observed that the number of basidiomas is primarily associated with yield, as demonstrated by the reduced quantity in low-N substrates compared to high-N ones; thus, the lower the production, the fewer mushrooms are produced. Furthermore, a positive correlation was observed between electrical conductivity values and the number of mushrooms, likely related to the presence of salts such as calcium, magnesium, and sodium, as well as other nutrients that may affect the fruiting process [29,30]. The same result was found regarding the number of clusters produced.
Mushroom weight is also influenced by substrate formulation, nutrient availability, and other factors [31,32]. In a study by [33], cultivating P. ostreatus on different substrates showed that the higher the C/N ratio, the lower the mushroom weight. However, the present study demonstrated the opposite: as the C/N ratio increased, mushroom weight also increased.
The chemical characteristics of the substrate play a major role in mushroom development and production. A pH range of 5 to 9 is considered optimal for the development of Pleurotus spp. [34,35]. An imbalanced pH may directly affect the amount of crude protein, carbohydrates, and ash. Furthermore, substrates outside the ideal pH range may experience the formation of insoluble compounds that hinder nutrient absorption [36].
The pH values observed in this study ranged from 5.34 to 6.27, depending on the substrate used. It was noted that the substrate at the end of Pleurotus cultivation (SMS) tends to have a lower pH, with an average of 4.93, due to fungal metabolic activity, particularly through the production of organic acids such as oxalic acid [28]. The pH of the material may vary, as can its fiber composition (cellulose, hemicellulose, and lignin), which affects fungal metabolic activity and the generation of byproducts that impact the substrate’s chemical characteristics [36].
Electrical conductivity is another important chemical factor in the substrate, showing an increase when comparing the initial substrate to the spent one (SMS). This increase mainly results from the mineralization of salts [37,38,39], which can pose a challenge for reusing SMS in plant production [40]. However, it was found that electrical conductivity did not significantly impact SMS reuse in dosages up to 20%, as the reduction in concentrated materials (wheat, rice, and soybean bran, and ground corn) contributed to a substantial decrease in this parameter. This was evident in the differences between high-N and low-N substrates, where the higher concentration of concentrated materials in high-N substrates led to higher electrical conductivity values.
The main limiting factor for the use of substrates and residues in the cultivation of Pleurotus spp. is directly related to cellulose/lignin and carbon/nitrogen ratios [41]. As such, no ideal parameters were identified in this study to enable the reintegration of Pleurotus ostreatus SMS into new production cycles, considering the dosages and formulations tested. However, SMS is a residue that contains various nutrients and organic compounds in its composition [42], which may have several applications and can serve as an alternative to replace high-value materials in the mushroom production chain [18], such as bran. Reusing SMS is an urgent necessity to mitigate high-impact disposal methods, such as burning, landfilling, or direct soil dumping, among others [43].
The results obtained, particularly regarding the observed yields in P. ostreatus, may have been influenced by various production factors, intrinsically associated with the fruiting process. However, it is recognized that the primary factor is related to nutrient availability in the substrate, as both excessively low and high concentrations can directly affect fungal metabolism [28,39]. The reuse of spent mushroom substrate (SMS) for the cultivation of the same species has proven to be a viable strategy; nevertheless, the composition of the substrate must be carefully considered [44]. This approach holds significant relevance in the context of global mushroom production sustainability, especially due to its potential for waste reutilization.
In this context, this study provides a promising foundation for future research aiming to balance the chemical composition and quantity of SMS used, enabling the development of effective protocols for its reuse and application in new cultivation cycles of the same species. This could represent a significant solution for global mushroom farming, helping to reduce operational costs associated with waste disposal and minimizing the related environmental impact.

5. Conclusions

The reuse of spent P. ostreatus substrate in the formulation of new substrates for cultivating the same species proved ineffective at all tested dosages, resulting in reduced yields in both (high-N and low-N) substrates. These reductions were consistent in both high- and low-nitrogen substrates, indicating that the main limitation was the imbalance in the carbon-to-nitrogen ratio of the initial formulations. These findings establish a baseline for refining strategies aimed at improving the circular use of P. ostreatus SMS. By addressing these aspects, future research may advance towards more efficient and sustainable recycling of mushroom cultivation residues, reinforcing the role of edible fungi within circular economy frameworks.

Author Contributions

Conceptualization, W.G.V.J. and D.C.Z.; methodology, W.G.V.J., D.C.Z., M.Á.O. and F.J.G.A.; software, data curation and writing—original draft preparation, W.G.V.J.; writing—review and editing, J.B.d.M., M.Á.O., F.J.G.A. and D.C.Z.; visualization and supervision, D.C.Z., M.Á.O. and F.J.G.A.; investigation W.G.V.J., L.d.S.A., A.T.C.d.P. and M.A.d.S.F.; project administration and funding acquisition, D.C.Z. All authors have read and agreed to the published version of the manuscript.

Funding

This study was financed in part by the Coordenação de Aperfeiçoamento de Pessoal de Nível Superior—Brasil (CAPES)—Finance Code 001 (W.G.V.J. and A.T.C.P.). Grant 23/07948-1 (D.C.Z), 21/09034-1 (L.S.A.), São Paulo Research Foundation (FAPESP 2023/07948-1), and by Conselho Nacional de Desenvolvimento Cientifico e Tecnológico—CNPq (PQ 305213/2024-5 and 303268/2021-2).

Data Availability Statement

The original contributions presented in this study are included in the article. Further inquiries can be directed to the corresponding authors.

Conflicts of Interest

The authors declare no conflicts of interest.

References

  1. Bijla, S. Status of mushroom production: Global and national scenario. Mushroom Res. 2023, 32, 91–98. [Google Scholar] [CrossRef]
  2. Arshadi, N.; Nouri, H.; Moghimi, H. Increasing the Production of the Bioactive Compounds in Medicinal Mushrooms: An Omics Perspective. Microb. Cell Fact. 2023, 22, 11. [Google Scholar] [CrossRef] [PubMed]
  3. Medihi, N.I.; Haiyee, Z.A.; Patmawati; Sukor, R.; Raseetha, S. Exploring the Functional Properties and Nutritional Values of Colored Oyster Mushrooms Species (Pleurotus, Agaricomycetes): A Review. Int. J. Med. Mushrooms 2024, 26, 25–38. [Google Scholar] [CrossRef] [PubMed]
  4. Zhou, Y.; Chu, M.; Ahmadi, F.; Agar, O.T.; Barrow, C.J.; Dunshea, F.R.; Suleria, H.A.R. A Comprehensive Review on Phytochemical Profiling in Mushrooms: Occurrence, Biological Activities, Applications and Future Prospective. Food Rev. Int. 2024, 40, 924–951. [Google Scholar] [CrossRef]
  5. Nandi, S.; Sikder, R.; Rapior, S.; Arnould, S.; Simal-Gandara, J.; Acharya, K. A Review for Cancer Treatment with Mushroom Metabolites through Targeting Mitochondrial Signaling Pathway: In Vitro and in Vivo Evaluations, Clinical Studies and Future Prospects for Mycomedicine. Fitoterapia 2024, 172, 105681. [Google Scholar] [CrossRef]
  6. Chen, X.-J.; Deng, Z.; Zhang, L.-L.; Pan, Y.; Fu, J.; Zou, L.; Bai, Z.; Xiao, X.; Sheng, F. Therapeutic Potential of the Medicinal Mushroom Ganoderma Lucidum against Alzheimer’s Disease. Biomed. Pharmacother. 2024, 172, 116222. [Google Scholar] [CrossRef]
  7. Zhao, Q.; Liu, X.; Cui, L.; Ma, C. Extraction and Bioactivities of the Chemical Composition from Pleurotus Ostreaus: A Review. J. Future Foods 2024, 4, 111–118. [Google Scholar] [CrossRef]
  8. Jahedi, A.; Ahmadifar, S.; Mohammadigoltapeh, E. Revival of Wild Edible-Medicinal Mushroom (Hericium Erinaceus) Based on Organic Agro-Industrial Waste- Achieving a Commercial Protocol with the Highest Yield; Optimum Reuse of Organic Waste. Sci. Hortic. 2024, 323, 112510. [Google Scholar] [CrossRef]
  9. De Mastro, F.; Traversa, A.; Matarrese, F.; Cocozza, C.; Brunetti, G. Influence of Growing Substrate Preparation on the Biological Efficiency of Pleurotus Ostreatus. Horticulturae 2023, 9, 439. [Google Scholar] [CrossRef]
  10. Claude, I.; Aimable, N.; Mediatrice, H.; Zhou, H.; Lin, D.; Liu, P.; Lin, Z. Evaluation of the Influence of Varied Juncao Grass Substrates on Physiological and Enzymatic Reactions of Pleurotus Ostreatus. Curr. Issues Mol. Biol. 2024, 46, 9493–9502. [Google Scholar] [CrossRef]
  11. Kousar, A.; Khan, H.A.; Farid, S.; Zhao, Q.; Zeb, I. Recent Advances on Environmentally Sustainable Valorization of Spent Mushroom Substrate: A Review. Biofuels Bioprod. Biorefin. 2024, 18, 639–651. [Google Scholar] [CrossRef]
  12. Atallah, E.; Zeaiter, J.; Ahmad, M.N.; Leahy, J.J.; Kwapinski, W. Hydrothermal Carbonization of Spent Mushroom Compost Waste Compared against Torrefaction and Pyrolysis. Fuel Process. Technol. 2021, 216, 106795. [Google Scholar] [CrossRef]
  13. Rodriguez Estrada, A.E.; Jimenez-Gasco, M.d.M.; Royse, D.J. Improvement of Yield of Pleurotus Eryngii Var. Eryngii by Substrate Supplementation and Use of a Casing Overlay. Bioresour. Technol. 2009, 100, 5270–5276. [Google Scholar] [CrossRef]
  14. Najafi, B.; Faizollahzadeh Ardabili, S.; Shamshirband, S.; Chau, K. Spent Mushroom Compost (SMC) as a Source for Biogas Production in Iran. Eng. Appl. Comput. Fluid Mech. 2019, 13, 967–982. [Google Scholar] [CrossRef]
  15. Da Silva Alves, L.; Tolardo, G.; Caitano, C.E.C.; Vieira Júnior, W.G.; Gomes Freitas, P.N.; Cunha Zied, D. Use of Spent Mushroom Substrate for Cherry Tomato Seedlings; a Potential Alternative to Peat in Horticulture. Biol. Agric. Hortic. 2024, 40, 127–140. [Google Scholar] [CrossRef]
  16. Grimm, A.; dos Reis, G.S.; Dinh, V.M.; Larsson, S.H.; Mikkola, J.-P.; Lima, E.C.; Xiong, S. Hardwood Spent Mushroom Substrate–Based Activated Biochar as a Sustainable Bioresource for Removal of Emerging Pollutants from Wastewater. Biomass Conv. Bioref. 2024, 14, 2293–2309. [Google Scholar] [CrossRef]
  17. Yang, G.; Ma, Y.; Ma, X.; Wang, X.; Lu, C.; Xu, W.; Luo, J.; Guo, D. Changes in Soil Organic Carbon Components and Microbial Community Following Spent Mushroom Substrate Application. Front. Microbiol. 2024, 15, 1351921. [Google Scholar] [CrossRef]
  18. Zied, D.C.; Sánchez, J.E.; Noble, R.; Pardo-Giménez, A. Use of Spent Mushroom Substrate in New Mushroom Crops to Promote the Transition towards a Circular Economy. Agronomy 2020, 10, 1239. [Google Scholar] [CrossRef]
  19. Guo, J.; Zhang, M.; Fang, Z. Valorization of mushroom by-products: A review. J. Sci. Food Agric. 2022, 102, 5593–5605. [Google Scholar] [CrossRef]
  20. Aiduang, W.; Jatuwong, K.; Kiatsiriroat, T.; Kamopas, W.; Tiyayon, P.; Jawana, R.; Xayyavong, O.; Lumyong, S. Spent Mushroom Substrate-Derived Biochar and Its Applications in Modern Agricultural Systems: An Extensive Overview. Life 2025, 15, 317. [Google Scholar] [CrossRef]
  21. Moreaux, K. Spawn Production. In Edible and Medicinal Mushrooms; John Wiley & Sons, Ltd.: Hoboken, NJ, USA, 2017; pp. 89–128. ISBN 978-1-119-14944-6. [Google Scholar]
  22. Mapa, Ministério da Agricultura, Pecuária e Abastecimento, Brasil. Brasil Métodos Analíticos Oficiais Para Análise de Substratos Para Plantas e Condicionadores de Solo; Secretaria de Defesa Agropecuária: Brasília, Brazil, 2007; 8p. [Google Scholar]
  23. Mapa, Ministério da Agricultura, Pecuária e Abastecimento, Brasil. Manual de Métodos Analíticos Oficiais Para Fertilizantes e Corretivos; Secretaria de Defesa Agropecuária: Brasília, Brazil, 2007; 240p. [Google Scholar]
  24. R Core Team. A Language and Environment for Statistical Computing; R Core Team: Vienna, Austria, 2016. [Google Scholar]
  25. Dedousi, M.; Melanouri, E.-M.; Karayannis, D.; Kaminarides, E.-I.; Diamantopoulou, P. Utilização de Substratos Usados e Resíduos Do Cultivo de Cogumelos Para Produzir Novas Culturas de Pleurotus Ostreatus, Pleurotus Eryngii e Agaricus Bisporus. Carbon Resour Convers 2024, 7, 100196. [Google Scholar] [CrossRef]
  26. Papanikolaou, S.; Aggelis, G. Sources of Microbial Oils with Emphasis to Mortierella (Umbelopsis) Isabellina Fungus. World J. Microbiol. Biotechnol. 2019, 35, 63. [Google Scholar] [CrossRef]
  27. Papanikolaou, S.; Aggelis, G. Lipids of Oleaginous Yeasts. Part I: Biochemistry of Single Cell Oil Production. Eur. J. Lipid Sci. Technol. 2011, 113, 1031–1051. [Google Scholar] [CrossRef]
  28. Bellettini, M.B.; Fiorda, F.A.; Maieves, H.A.; Teixeira, G.L.; Ávila, S.; Hornung, P.S.; Júnior, A.M.; Ribani, R.H. Factors Affecting Mushroom Pleurotus spp. Saudi J. Biol. Sci. 2019, 26, 633–646. [Google Scholar] [CrossRef]
  29. Muswati, C.; Simango, K.; Tapfumaneyi, L.; Mutetwa, M.; Ngezimana, W. The Effects of Different Substrate Combinations on Growth and Yield of Oyster Mushroom (Pleurotus ostreatus). Int. J. Agron. 2021, 2021, 9962285. [Google Scholar] [CrossRef]
  30. Jonathan, S.G.; Fasidi, I.O. Effect of Carbon, Nitrogen and Mineral Sources on Growth of Psathyerella Atroumbonata (Pegler), a Nigerian Edible Mushroom. Food Chem. 2001, 72, 479–483. [Google Scholar] [CrossRef]
  31. Royse, D.J.; Sanchez-Vazquez, J.E. Influence of Precipitated Calcium Carbonate (CaCO3) on Shiitake (Lentinula Edodes) Yield and Mushroom Size. Bioresour. Technol. 2003, 90, 225–228. [Google Scholar] [CrossRef]
  32. Yang, W.; Guo, F.; Wan, Z. Yield and Size of Oyster Mushroom Grown on Rice/Wheat Straw Basal Substrate Supplemented with Cotton Seed Hull. Saudi J. Biol. Sci. 2013, 20, 333–338. [Google Scholar] [CrossRef]
  33. Hoa, H.T.; Wang, C.L.; Wang, C.H. The effects of different substrates on the growth, yield, and nutritional composition of two oyster mushrooms (Pleurotus ostreatus and Pleurotus cystidiosus). Microbiology 2015, 43, 423–434. [Google Scholar] [CrossRef]
  34. Sultana, R.; Hossain, I.; Chakraborty, R. Influence of Substrate pH and Watering Frequency on the Growth of Oyster Mushroom. Int. J. Plant. Biol. Res. 2018, 6, 1097. [Google Scholar]
  35. Vilas, P.M.; Jadhav, A.C.; Dhavale, M.C.; Hasabnis, S.N.; Gaikwad, A.P.; Jadhav, P.R.; Ajit, P.S. Effect of Cultural Variability on Mycellial Growth of Eleven Mushroom Isolates of Pleurotus spp. J. Pharmacogn. Phytochem. 2020, 9, 881–888. [Google Scholar]
  36. Boadu, K.B.; Nsiah-Asante, R.; Antwi, R.T.; Obirikorang, K.A.; Anokye, R.; Ansong, M. Influence of the Chemical Content of Sawdust on the Levels of Important Macronutrients and Ash Composition in Pearl Oyster Mushroom (Pleurotus Ostreatus). PLoS ONE 2023, 18, e0287532. [Google Scholar] [CrossRef] [PubMed]
  37. Ribas, L.C.C.; de Mendonça, M.M.; Camelini, C.M.; Soares, C.H.L. Use of Spent Mushroom Substrates from Agaricus Subrufescens (Syn, A. Blazei, A. Brasiliensis) and Lentinula Edodes Productions in the Enrichment of a Soil-Based Potting Media for Lettuce (Lactuca Sativa) Cultivation: Growth Promotion and Soil. Bioremediation. Bioresour. Technol. 2009, 100, 4750–4757. [Google Scholar] [CrossRef] [PubMed]
  38. Cebula, J.; Pelczar, J.; Loska, K.; Widziewicz, K. The Effect of Spent Mushroom Substrate Field Storage Conditions on Its Leachate Composition. Inż. Ochr. Śr. 2013, 16, 93–102. [Google Scholar]
  39. Narváez, L.; Bolaños, A.C.; Chaurra, A.; Zuñiga Escobar, O.; Narváez, L.; Bolaños, A.C.; Chaurra, A.; Zuñiga Escobar, O. Changes in macronutrients and physical properties during the growth of Lentinula edodes and Pleurotus ostreatus in a compost based on sugarcane bagasse agricultural waste. Chil. J. Agric. Anim. Sci. 2021, 37, 301–312. [Google Scholar] [CrossRef]
  40. Prasad, R.; Lisiecka, J.; Antala, M.; Rastogi, A. Influence of Different Spent Mushroom Substrates on Yield, Morphological and Photosynthetic Parameters of Strawberry (Fragaria × Ananassa Duch.). Agronomy 2021, 11, 2086. [Google Scholar] [CrossRef]
  41. Philippoussis, A.; Zervakis, G.; Diamantopoulou, P. Bioconversion of Agricultural Lignocellulosic Wastes through the Cultivation of the Edible Mushrooms Agrocybe aegerita, Volvariella volvacea and Pleurotus spp. World J. Microbiol. Biotechnol. 2001, 17, 191–200. [Google Scholar] [CrossRef]
  42. Lou, Z.; Sun, Y.; Zhou, X.; Baig, S.A.; Hu, B.; Xu, X. Composition Variability of Spent Mushroom Substrates during Continuous Cultivation, Composting Process and Their Effects on Mineral Nitrogen Transformation in Soil. Geoderma 2017, 307, 30–37. [Google Scholar] [CrossRef]
  43. Hřebečková, T.; Wiesnerová, L.; Hanč, A. Change in Agrochemical and Biochemical Parameters during the Laboratory Vermicomposting of Spent Mushroom Substrate after Cultivation of Pleurotus Ostreatus. Sci. Total Environ. 2020, 739, 140085. [Google Scholar] [CrossRef]
  44. Vieira Junior, W.G.; Caitano, C.E.C.; Alves, L.d.S.; Teixeira, P.A.G.; Noble, R.; Pardo, J.E.; Zied, D.C. From Waste to Resource: Sustainable Reuse of Spent Shiitake Mushroom Substrate in Subsequent Production Cycles. Int. Biodeterior. Biodegrad. 2025, 200, 106034. [Google Scholar] [CrossRef]
Figure 1. Experimental layout of treatments combining two substrates (Low-N and High-N) with different proportions of spent mushroom substrate (SMS: 0%, 5%, 10%, and 20%) across three consecutive trials.
Figure 1. Experimental layout of treatments combining two substrates (Low-N and High-N) with different proportions of spent mushroom substrate (SMS: 0%, 5%, 10%, and 20%) across three consecutive trials.
Agriengineering 07 00342 g001
Figure 2. Regression analysis for agronomic parameters of Pleurotus ostreatus, grown with different spent mushroom substrate doses. Distinct letters within the same dose indicate statistical difference between substrates by Tukey’s test at 5% probability. NS* indicates that there was no statistical difference in the regression analysis.
Figure 2. Regression analysis for agronomic parameters of Pleurotus ostreatus, grown with different spent mushroom substrate doses. Distinct letters within the same dose indicate statistical difference between substrates by Tukey’s test at 5% probability. NS* indicates that there was no statistical difference in the regression analysis.
Agriengineering 07 00342 g002
Figure 3. Regression analysis for the productivity (%) of Pleurotus ostreatus grown on substrate with different sources and doses of spent mushroom substrate. Distinct letters within the same dose indicate statistical difference between substrates by Tukey’s test at 5% probability.
Figure 3. Regression analysis for the productivity (%) of Pleurotus ostreatus grown on substrate with different sources and doses of spent mushroom substrate. Distinct letters within the same dose indicate statistical difference between substrates by Tukey’s test at 5% probability.
Agriengineering 07 00342 g003
Figure 4. Regression analysis for the number of Pleurotus ostreatus mushrooms grown on substrate with different sources and spent mushroom substrate doses. Distinct letters within the same dose indicate statistical difference between substrates by Tukey’s test at 5% probability. NS* indicates that there was no statistical difference in the regression analysis.
Figure 4. Regression analysis for the number of Pleurotus ostreatus mushrooms grown on substrate with different sources and spent mushroom substrate doses. Distinct letters within the same dose indicate statistical difference between substrates by Tukey’s test at 5% probability. NS* indicates that there was no statistical difference in the regression analysis.
Agriengineering 07 00342 g004
Figure 5. Regression analysis for the weight of Pleurotus ostreatus mushrooms grown on substrates with different sources and spent mushroom substrate doses. Distinct letters within the same dose indicate statistical differences between substrates according to Tukey’s test at 5% probability. NS* indicates that there was no statistical difference in the regression analysis.
Figure 5. Regression analysis for the weight of Pleurotus ostreatus mushrooms grown on substrates with different sources and spent mushroom substrate doses. Distinct letters within the same dose indicate statistical differences between substrates according to Tukey’s test at 5% probability. NS* indicates that there was no statistical difference in the regression analysis.
Agriengineering 07 00342 g005
Figure 6. Regression analysis for the number of Pleurotus ostreatus bunches grown on substrate with different sources and spent mushroom substrate doses. Distinct letters within the same dose indicate statistical difference between substrates by Tukey’s test at 5% probability. NS* indicates that there was no statistical difference in the regression analysis.
Figure 6. Regression analysis for the number of Pleurotus ostreatus bunches grown on substrate with different sources and spent mushroom substrate doses. Distinct letters within the same dose indicate statistical difference between substrates by Tukey’s test at 5% probability. NS* indicates that there was no statistical difference in the regression analysis.
Agriengineering 07 00342 g006
Figure 7. Principal Component Analysis (PCA) for agronomic variables: Yield, number of mushrooms (NM), weight mushroom (WM), and number of brunches (NB); and chemical variables: C/N ratio (CN), electrical conductivity (EC), nitrogen (N), and pH of Pleurotus ostreatus cultivated on different substrates with varying SMS dosages and origins across different experiments. Substrates 1 and 2 correspond to high-N and low-N, respectively (first experiment). Substrates 3–6 represent high-N substrates from the second experiment with SMS doses of 0%, 5%, 10%, and 20%, respectively, and substrates 7–10 correspond to low-N with the same dosages. The remaining numbering refers to the third experiment, using SMS dosages of 5%, 10%, and 20% from different origins (second experiment, which could be 0%, 5%, 10%, or 20%). Numbers 11–23 represent high-N substrates and 24–36 low-N substrates: 11 without SMS; 12–14 derived from 0% SMS; 15–17 from 5%; 18–20 from 10%; 21–23 from 20%; 24 without SMS; 25–27 from 0%; 28–30 from 5%; 31–33 from 10%; and 34–36 from 20%.
Figure 7. Principal Component Analysis (PCA) for agronomic variables: Yield, number of mushrooms (NM), weight mushroom (WM), and number of brunches (NB); and chemical variables: C/N ratio (CN), electrical conductivity (EC), nitrogen (N), and pH of Pleurotus ostreatus cultivated on different substrates with varying SMS dosages and origins across different experiments. Substrates 1 and 2 correspond to high-N and low-N, respectively (first experiment). Substrates 3–6 represent high-N substrates from the second experiment with SMS doses of 0%, 5%, 10%, and 20%, respectively, and substrates 7–10 correspond to low-N with the same dosages. The remaining numbering refers to the third experiment, using SMS dosages of 5%, 10%, and 20% from different origins (second experiment, which could be 0%, 5%, 10%, or 20%). Numbers 11–23 represent high-N substrates and 24–36 low-N substrates: 11 without SMS; 12–14 derived from 0% SMS; 15–17 from 5%; 18–20 from 10%; 21–23 from 20%; 24 without SMS; 25–27 from 0%; 28–30 from 5%; 31–33 from 10%; and 34–36 from 20%.
Agriengineering 07 00342 g007
Figure 8. Network visualization of all data (all experiments) for different substrates with various formulations and SMS doses in Pleurotus ostreatus production. Nodes represent measured variables: WM, mushroom weight; NM, number of mushrooms; NB, number of clusters; EC, electrical conductivity; pH, substrate pH; CN, carbon-to-nitrogen ratio; N, total nitrogen. Edges indicate Pearson correlations above 70%: green lines correspond to strong positive correlations, while red lines indicate strong negative correlations. Line thickness is proportional to the strength of the correlation.
Figure 8. Network visualization of all data (all experiments) for different substrates with various formulations and SMS doses in Pleurotus ostreatus production. Nodes represent measured variables: WM, mushroom weight; NM, number of mushrooms; NB, number of clusters; EC, electrical conductivity; pH, substrate pH; CN, carbon-to-nitrogen ratio; N, total nitrogen. Edges indicate Pearson correlations above 70%: green lines correspond to strong positive correlations, while red lines indicate strong negative correlations. Line thickness is proportional to the strength of the correlation.
Agriengineering 07 00342 g008
Table 1. Yield of Pleurotus ostreatus cultivated in substrates with different formulations.
Table 1. Yield of Pleurotus ostreatus cultivated in substrates with different formulations.
SubstratesYield (%)Mushrooms Number (u)Mushroom Weight (g)Number Bunches (u)
High-N30.66 a25.086.35 a4.16
Low-N23.9 b24.085.15 b4.33
CV (%)12.222.7821.0728.52
Distinct letters between lines indicate statistical difference by Tukey’s test at 5% probability. The absence of letters means there was no statistical difference.
Table 2. Chemical analysis of spent mushroom substrate from the first experiment, considering high-N and low-N substrates for the production of Pleurotus ostreatus.
Table 2. Chemical analysis of spent mushroom substrate from the first experiment, considering high-N and low-N substrates for the production of Pleurotus ostreatus.
SubstrateN (%)C (%)C/N RatioEC mS/cmpH
High-N0.8448.958.21.575.70
Low-N0.5147.893.61.015.69
Spent Mushroom Substrate
High-N0.6945.766.62.095.19
Low-N0.5045.790.72.065.12
Table 3. Chemical analysis of spent mushroom substrate of the second experiment, considering high-N and low-N substrates for the production of Pleurotus ostreatus.
Table 3. Chemical analysis of spent mushroom substrate of the second experiment, considering high-N and low-N substrates for the production of Pleurotus ostreatus.
FormulationsNCC/N RatioEC
%mS/cmpH
Initial substrate
High-N + 0% SMS1.3950.436.42.455.56
High-N + 5% SMS1.24049.81040.1821.9255.500
High-N + 10% SMS1.08948.95044.9411.4005.480
High-N + 20% SMS0.78848.00560.8891.3305.450
Low-N + 0% SMS1.0251.150.41.1916.02
Low-N + 5% SMS0.90050.68056.3110.9815.980
Low-N + 10% SMS0.74049.95067.5000.7715.780
Low-N + 20% SMS0.59548.45583.9500.6985.540
Spent Mushroom Substrate
SMS High-N + 0%0.9446.7749.762.784.62
SMS High-N + 5%0.9747.3148.773.134.52
SMS High-N + 10%0.846.0157.512.914.66
SMS High-N + 20%0.546.0292.042.044.66
SMS Low-N + 0%0.784861.542.844.42
SMS Low-N + 5%0.6448.575.782.165.19
SMS Low-N + 10%0.4347.45110.351.565.69
SMS Low-N + 20%0.2646.01176.961.3425.7
Table 4. Chemical analysis of substrate and spent mushroom substrate of the third experiment, considering high-N and low-N substrates for the production of Pleurotus ostreatus.
Table 4. Chemical analysis of substrate and spent mushroom substrate of the third experiment, considering high-N and low-N substrates for the production of Pleurotus ostreatus.
SubstrateNCC/N RatioEC
%mS/cmpH
High-N + 0% SMS1.2150.6041.701.966.00
High-N + 5% SMS of 0%1.1849.9042.291.706.03
High-N + 10% SMS of 0%1.1549.8042.701.445.64
High-N + 20% SMS of 0%1.0949.9045.780.935.34
High-N + 5% SMS of 5%1.1849.7041.991.726.06
High-N + 10% SMS of 5%1.1649.8043.041.485.88
High-N + 20% SMS of 5%1.1050.0045.291.005.51
High-N + 5% SMS of 10%1.1849.9042.471.716.05
High-N + 10% SMS of 10%1.1449.3043.251.465.86
High-N + 20% SMS of 10%1.0749.6046.360.955.48
High-N + 5% SMS of 20%1.1648.9042.161.666.05
High-N + 10% SMS of 20%1.1149.5044.591.375.86
High-N + 20% SMS of 20%1.0150.1049.600.785.48
Low-N + 0% SMS1.0649.9046.901.176.36
Low-N + 5% SMS of 0%1.0249.7048.730.916.18
Low-N + 10% SMS of 0%0.9949.8050.400.656.01
Low-N + 20% SMS of 0%0.9249.6054.150.435.66
Low-N + 5% SMS of 5%1.0250.1049.120.886.14
Low-N + 10% SMS of 5%0.9749.9051.230.595.93
Low-N + 20% SMS of 5%0.8949.4055.630.435.50
Low-N + 5% SMS of 10%1.0148.6048.310.786.12
Low-N + 10% SMS of 10%0.9548.9051.310.535.88
Low-N + 20% SMS of 10%0.8549.2058.160.405.40
Low-N + 5% SMS of 20%1.0049.8049.900.686.12
Low-N + 10% SMS of 20%0.9449.9053.310.505.88
Low-N + 20% SMS of 20%0.8150.1061.700.405.40
Disclaimer/Publisher’s Note: The statements, opinions and data contained in all publications are solely those of the individual author(s) and contributor(s) and not of MDPI and/or the editor(s). MDPI and/or the editor(s) disclaim responsibility for any injury to people or property resulting from any ideas, methods, instructions or products referred to in the content.

Share and Cite

MDPI and ACS Style

Vieira Junior, W.G.; da Silva Alves, L.; de Moura, J.B.; de Paula, A.T.C.; da Silva Freitas, M.A.; Orti, M.Á.; Alegría, F.J.G.; Zied, D.C. Evaluation of Reuse of Spent Mushroom Substrate for New Pleurotus ostreatus Crop Cycle. AgriEngineering 2025, 7, 342. https://doi.org/10.3390/agriengineering7100342

AMA Style

Vieira Junior WG, da Silva Alves L, de Moura JB, de Paula ATC, da Silva Freitas MA, Orti MÁ, Alegría FJG, Zied DC. Evaluation of Reuse of Spent Mushroom Substrate for New Pleurotus ostreatus Crop Cycle. AgriEngineering. 2025; 7(10):342. https://doi.org/10.3390/agriengineering7100342

Chicago/Turabian Style

Vieira Junior, Wagner Gonçalves, Lucas da Silva Alves, Jadson Belém de Moura, Adriano Taffarel Camargo de Paula, Marcos Antônio da Silva Freitas, Manuel Álvarez Orti, Francisco José Gea Alegría, and Diego Cunha Zied. 2025. "Evaluation of Reuse of Spent Mushroom Substrate for New Pleurotus ostreatus Crop Cycle" AgriEngineering 7, no. 10: 342. https://doi.org/10.3390/agriengineering7100342

APA Style

Vieira Junior, W. G., da Silva Alves, L., de Moura, J. B., de Paula, A. T. C., da Silva Freitas, M. A., Orti, M. Á., Alegría, F. J. G., & Zied, D. C. (2025). Evaluation of Reuse of Spent Mushroom Substrate for New Pleurotus ostreatus Crop Cycle. AgriEngineering, 7(10), 342. https://doi.org/10.3390/agriengineering7100342

Article Metrics

Back to TopTop