Abstract
The production of lettuce has increased significantly due to the use of hydroponic systems that rely on substrates. Disposal and acquisition costs present problems, necessitating the identification of sustainable alternatives. The present study aimed to evaluate the use of Eichhornia crassipes (water hyacinth) dry matter in a substrate for the formation of lettuce seedlings. Water plants were collected to obtain their dry matter, and twelve mixtures were formed with Sphagnum and perlite. Mixtures with more water hyacinth dry matter exhibited greater water retention. However, these mixtures also lost water at a faster rate than those containing primarily Sphagnum dry matter did. Higher percentages of germination were detected in the mixtures with water hyacinth dry matter, but these seedlings also presented higher concentrations of proline, such as 16.0 µg mL−1. The mixtures with water hyacinth dry matter presented the highest ion concentrations, mainly at high levels of humidity. Mixtures with a high proportion of water hyacinth dry matter had a greater water retention capacity and a high percentage of lettuce seed that germinated. The mixtures with a higher proportion of Sphagnum led to greater root length, greater concentrations of chlorophyll in cotyledonary leaves, and better morphological development of the seedlings.
1. Introduction
Hydroponics is an efficient system of growing plants without terrestrial soil by using a nutrient-rich water solution [1]. There are two main types: (1) solution culture, where roots are directly submerged in a nutrient solution, and (2) substrate culture, where a solid medium supports roots. In this latter type, there is intensive use of inert substrates such as rockwool, peat moss, or vermiculite [2]. Substrates play a crucial role in hydroponic practices because they provide a supportive structure for plant roots, regulate the pH, retain water and nutrients, release nutrients to plants as needed, and ensure air circulation to roots; moreover, some substrates may also aid in controlling diseases [3]. The use of substrates has allowed a better rationalization of the use of water resources and external agrochemical inputs, leading to a positive impact on both the productivity and sustainability of agricultural practices [4]. Additionally, in soilless systems, the efficiency of nutrient absorption can be improved compared to terrestrial soil-based growth [5]. Among the cultivated species, vegetables use substrates intensively both to produce fruits and for the formation of seedlings [6]. According to Chiomento et al. [7], the ideal substrate should possess a sufficient capacity to retain water, as this positively influences both the aerial and root morphology of plants; additionally, the substrate must have an appropriate density that allows roots to grow without any hindrance while providing stability for the plants; moreover, in addition to considering physical properties, chemical aspects such as maintaining a pH between 5.0 and 6.5 must also be considered.
Despite the benefits associated with hydroponics, this efficient productive system relies on the continuous and extensive utilization of growth substrates, which has led to several challenges and concerns [8]. According to Sela Saldinger et al. [9], the inappropriate use of substrates might carry pathogenic microorganisms that could lead to the rapid spread of crop disease, and even human pathogens can be introduced into the recirculation system in closed systems, potentially infecting the whole facility faster than in conventional soil-based farming. Sphagnum-based substrates are widely used in horticultural practices; however, the disposal of these substrates has become urgent; over time, as the substrate decomposes, large quantities of carbon dioxide are emitted into the atmosphere. If not disposed of correctly, this can result in contamination of nearby water sources due to the leaching of harmful substances from the substrate and residue from agrochemicals being transported [10,11]. According to Gruda [12], environmentally, the choice of the materials used to produce a substrate itself should be sustainable, and economically, the substrates should be available and affordable for the producer. Substrates such as those made from plant biomass of species that grow in humid environments could be replaced by similar options available in each region [13]. For instance, Castoldi et al. [14] reported better results in the production of lettuce seedlings with charred rice husks than with vermicompost. According to Zuffo et al. [15], a substrate consisting entirely of nest material from bees was found to be the most suitable for producing lettuce seedlings; this substrate yielded higher rates of emergence, a faster emergence speed index, longer root length, greater number of leaves, and greater shoot dry mass and total dry mass than the other substrates.
In the region where the present study was performed, the aquatic floating plants of Eichhornia crassipes, known as water hyacinth, have spread widely despite not being an original local genetic resource, whereby the species is considered invasive [16]. According to Dechassa [17], water hyacinth has dispersed widely due to reproduction by way of runners, allowing for rapid multiplication. This species also produces large quantities of seeds that remain viable for up to 30 years; additionally, outside its native South American environment, it is away from its natural enemies, which allows it to multiply quickly. Water hyacinth was also introduced to various regions as an ornamental plant due to its showy flowers [18]. Due to the large number of regions where water hyacinth plants are widespread, attempts have been made to utilize its biomass in different ways, including its various agricultural uses [19]. Water hyacinth biomass could even be used as a substrate for mushroom cultivation with minimal treatment as another alternative beyond its nuisance as a weed [20]. ElMekawy et al. [21] suggested that hydrogels derived from plant-based waste materials could be a suitable solution. The future of agricultural substrates centers on the exploration and application of environmentally friendly materials, on solutions that are sustainable, economically viable, and biodegradable, and on substrates that are versatile, cost-effective, and simple to manufacture [12]. To ensure the future success of agricultural substrates, it is crucial to explore cost-efficient methods for hydrolyzing these materials and generating soluble sugars that can be subsequently processed. In addition to addressing technological considerations, other factors, such as collection and transportation costs, integration with existing infrastructure, and striking a harmonious balance between the initial capital expenses associated with processing facilities and the economic feasibility of the energy produced, must also be considered [22].
In the study region, lettuce is a valuable agricultural and economic crop. In 2023, Mexico produced 552,940.26 t, with Guanajuato State being the leading producer at 27.4% of the total. Lettuce crops are established from pre-germinated, cultivated seedlings [23]. Thus, generating lettuce seedlings in areas where the invasive aquatic plant (Eichhornia crassipes) is problematic, and converting that biomass into a beneficial resource would represent a relevant solution for the region. The present study aimed to evaluate the use of Eichhornia crassipes dry matter in a substrate for the formation of lettuce seedlings.
2. Materials and Methods
2.1. Plant Material and Experimental Mixtures
Whole plants of water hyacinth were collected in the Yuriria Lagoon in Mexico at a latitude of 20° 13′ 39.29″ N and a longitude of 101° 8′ 10.62″ W. To obtain the dry matter, the plants were dried at 60 °C until a constant weight was reached and milled. Twelve mixtures containing water hyacinth dry matter (WH), a commercial substrate made from Sphagnum dry matter (SP) (model Peat Moss Premier, brand Pro-MIX, manufacturer Premier Tech Horticulture, type of brown peat, pH range 4.0 to 4.3, electrical conductivity < 0.25 mmhos/cm), and perlite (PE), were evaluated in the following proportions. (1) SP 100% (SP100), (2) SP 85% and PE 15% (SP85PE15), (3) SP 70% and PE 30% (SP70PE30), (4) SP 55% and PE 45% (SP55PE45), (5) SP 50% and WH 50% (SP50WH50), (6) SP 42.5%, WH 42.5%, and PE 15% (SP42.5WH42.5PE15), (7) SP 35%, WH 35%, and PE 30% (SP35WH35PE30), (8) SP 27.5%, WH 27.5%, and PE 45% (SP27.5WH27.5PE45), (9) WH 100% (WH100), (10) WH 85% and PE 15% (WH85PE15), (11) WH 70% and PE 30% (WH70PE30), (12) WH 55% and PE 45% (WH55PE45).
2.2. Variables Evaluated in the Mixtures
The water retention capacity (WRC, g H2O g substrate−1) was determined by drying the samples at 90 °C for 12 h, saturating them with distilled water for 24 h and draining them to measure their weight. Likewise, the water loss rate (WLR, g H2O h−1) was measured by recording the weight of the samples at 1 h intervals at 30 °C from 100% of the WRC using containers of 251.3 cm3 (5 cm in height and 4 cm in radius). Subsequently, at 20, 40, 60, 80, and 100% of the WRC of each experimental mixture, the electrical conductivity (EC, V) was determined with an FC-28 hygrometer (Texas Instruments Incorporated, Dallas, TX, USA). The pH was measured with a Sarter 2100 potentiometer (Ohaus, Greifensee, Switzerland). The concentrations of K+ (ppm), Na+ (ppm), Ca2+ (ppm), and NO3− (ppm) ions were determined using the LAQUAtwin Kit (Horiba, Kyoto, Japan). The compaction resistance (CR, g) was evaluated with a Brookfield CT3 texturometer (Ametek, Middleborough, MA, USA) using a cylindrical probe with a contact area of 12.5 cm2.
2.3. Lettuce Seedling Formation and Variables Evaluated
Mixtures of SP100, SP70PE30, SP35WH35PE30, and WH100 were selected, and lettuce seeds of the Siskiyou cultivar Romain type (Seminis, Irapuato, Mexico) were germinated in a growth chamber at 25 °C with a photoperiod of 12:12 h using white LED light at an intensity of 1500 lx. To maintain constant moisture levels, daily irrigations were carried out based on the weight loss corresponding to the water consumed, replacing the amount of water according to each mixture and volume used. The percentage of germination (GE, %) at fourteen days was determined. Seedlings were digitally scanned at 1200 dpi, and from the generated images, the radicle and plumule lengths (RL, PL, cm) were measured. The cotyledon area (CA, mm2) and color parameters in the CIELAB space were determined. The image measurements were performed with the software ImageJ version 1.53t. As a biochemical indicator of stress, the concentration of proline (PRL, µg mL−1) [24] was measured. Similarly, the concentrations of total, a and b chlorophyll (Chlt, Chla, Chlb, mg mL−1) were determined following the methods described by Dudek et al. [25]. A flow chart summarizing the steps is shown in Figure 1.
Figure 1.
Flow chart of the study.
2.4. Data Analysis
The experimental mixtures and lettuce seedlings were evaluated, and the data were analyzed using a completely randomized design with five replications. Tukey’s (p ≤ 0.05) mean separation test and correlation analysis were performed. The evaluations of the WRC percentages were analyzed using a randomized block design with five blocks, twelve treatments, and five replications. Statistical analyses were performed with Minitab® 16.2.3 software.
3. Results and Discussion
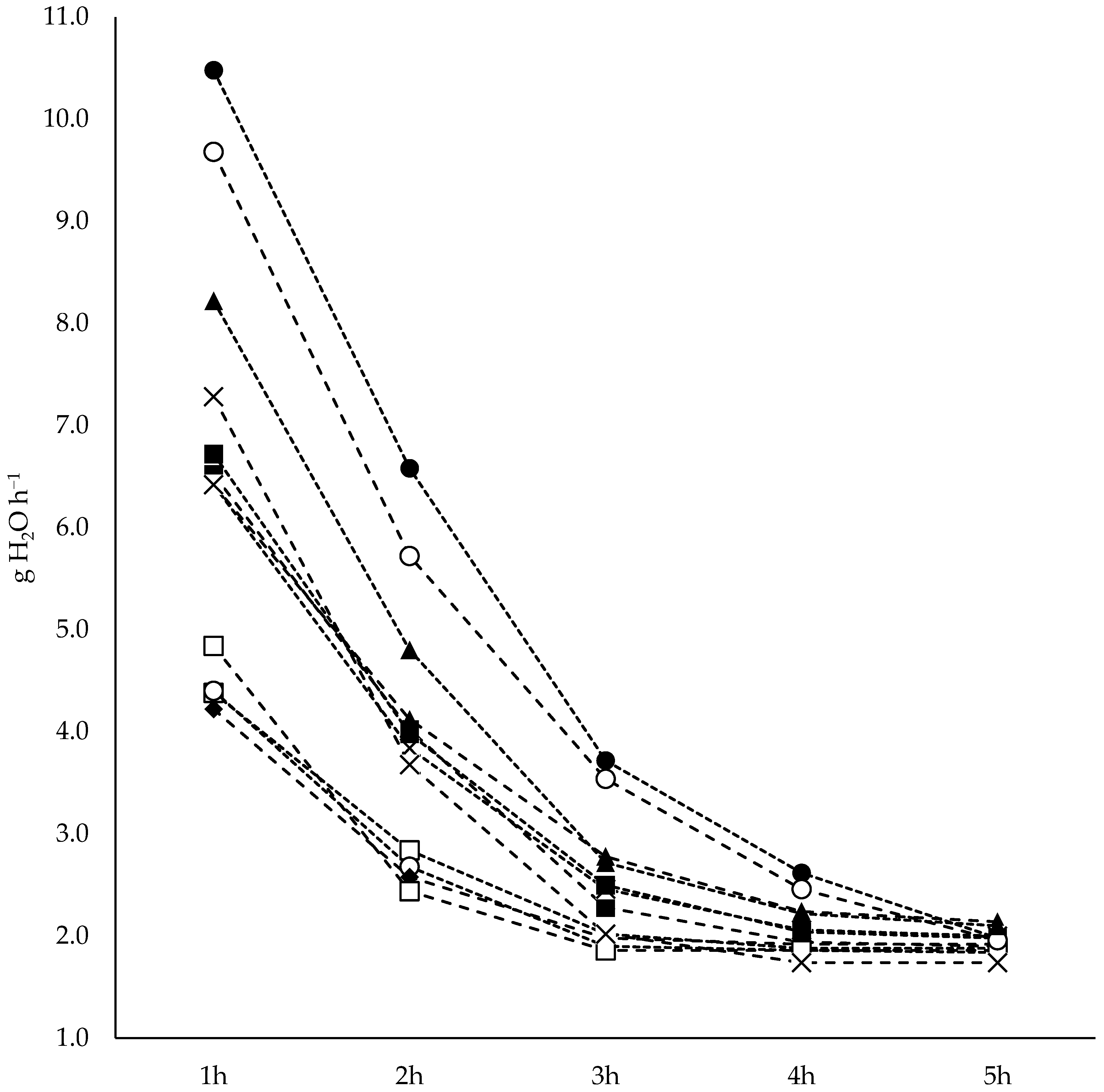
For the WRC, highly significant differences (p < 0.01) were identified, and the results for the mixtures SP100, SP85PE, SP70PE30, SP55PE45, SP50WH50, SP42.5WH42.5PE15, SP35WH35PE30, SP27.5WH27.5PE45, WH100, WH85PE15, WH70PE30, and WH55PE45 were 6.9 (ef), 5.9 (fg), 5.3 (g), 5.3 (g), 8.8 (cd), 8.2 (cde), 7.4 (de), 6.9 (ef), 10.9 (a), 10.3 (ab), 9.3 (bc), and 8.4 (cd) g H2O g substrate−1, respectively (Table 1). Highly significant differences (p < 0.01) were also identified in the WLR, and the kinetics results are presented in Figure 2. The experimental mixtures containing water hyacinth dry matter presented higher WRC values. However, the average WLR of the mixtures that included sphagnum dry matter and perlite was 3.1 g H2O h−1; that of the mixtures with sphagnum, water hyacinth and perlite was 4.6 g H2O h−1; and that of the mixtures with water hyacinth and perlite was 5.5 g H2O h−1. This indicates that the water hyacinth dry matter increased the initial water uptake but not its retention over time. One possible explanation is the aquatic origin of the species; the water hyacinth came from South America, with abundant occurrence in both the Amazon (South America) and Congo (Africa) River catchments [26]. The root system of this species has a large contact area, allowing the plants to absorb water and nutrients efficiently [27]. Sphagnum plants are commonly found in bogs, fens, marshes, and swamps in Alaska, northern Canada, northern Europe, and Siberia [28]. Water hyacinth plants are expected to always live above water, while Sphagnum plants, although they come from humid areas, are also subject to periods of dehydration, even if these periods are brief and light [29].
Table 1.
Characterization of the water retention capacities of the experimental mixtures at different percentages.
Figure 2.
Water loss rate measured at hourly intervals. SP100 (line: ---, marker: ■), SP85PE15 (line: ▪▪▪, marker: □), SP70PE30 (line: ---, marker: ●), SP55PE45 (line: ▪▪▪, marker: ○), SP50WH50 (line: ---, marker: ▲), SP42.5WH42.5PE15 (line: ▪▪▪, marker: ×), SP35WH35PE30 (line: ▪▪▪, marker: ■), SP27.5WH27.5PE45 (line: ---, marker: □), WH100 (line: ▪▪▪, marker: ●), WH85PE15 (line: ---, marker: ○), WH70PE30 (line: ▪▪▪, marker: ▲), and WH55PE45 (line: ---, marker: ×). Water hyacinth dry matter (WH), commercial substrate made from Sphagnum dry matter (SP), and perlite (PE).
Higher values of EC were identified as the WRC percentage increased in each experimental mixture. This is because water acts as a medium that facilitates the flow of electrons, and the conductivity of water is primarily due to the presence of dissolved ions [30]. Among the mixtures, the highest values were identified for those composed mainly of water hyacinth dry matter, such as WH85PE15. Fan et al. [31] also reported that electrical conductivity significantly increased in response to water hyacinth compost addition. The authors indicated that the percentage of water hyacinth compost in the substrates could reach 50% without apparently affecting the growth or product quality of Chinese cabbage. Soil pH is a measure of the acidity or basicity of the soil solution, and it influences many chemical and biological processes, especially in the case of plants [32]. Therefore, substrate pH is crucial for plant nutrition, as it directly impacts nutrient availability [33]. No significant differences in pH were detected between the percentages of the WCR, but among the mixtures, the values ranged from 5.1 to 7.8. Nutrients have an optimal pH range for root uptake; if the pH is too alkaline or acidic, some nutrients become insoluble and thus unavailable to plants [34]. The pH of a substrate plays a crucial role in determining the availability of nutrients; at acidic levels, hydrogen ions become more active and can bind to nutrients, limiting the uptake of nutrients such as phosphorus [35]. At alkaline levels, nutrients such as zinc and manganese become less available as they precipitate or form complexes that cannot be absorbed [36]. According to Su et al. [37], when using the dry matter of water hyacinth as silage, the pH must be adjusted to 4 or less.
In general, the ions K+, Na+, Ca2+, and NO3− presented higher values at higher humidity levels and in the mixtures that mainly contained water hyacinth dry matter (Table 1). The addition of plant residues to the soil or substrate facilitates the reutilization of nutrients, enhances the physical composition, and stimulates microbial processes [38]. According to Feng et al. [27], the utilization of water hyacinth dry matter has several advantages due to its high potassium content in the shoots; however, some challenges, such as the mechanical removal of plants, high hemicellulose content, and heavy metal removal, need to be addressed. SP55PE45 was the mixture that gave the greatest resistance to compaction. This was due to the high content of perlite, which improved aeration and reduced compaction in the substrate [39]. Fan et al. [31] indicated that the incorporation of water hyacinth compost increased the density of the bulk. Although the determinations were not the same between both studies, in our results, the dry matter of water hyacinth did not improve the resistance to compaction compared to that of sphagnum. The compaction of an agricultural substrate must be avoided because this condition can limit root penetration, water drainage, aeration, nutrient uptake, and microbiological activity [40].
Among the GEs of the lettuce seeds, the highest values were detected for the WH100 (90.2%), SP70PE30 (89.4%), and SP100 (92.4%) mixtures. However, for the variables RL, PL, and CA related to the morphological development of the seedlings, the highest values were presented in the mixtures SP100 and SP70PE30, and the lowest values of these variables were identified in the mixtures that included only water hyacinth dry matter (WH100 and WH70PE30). A correlation of 0.95 (p < 0.05) was identified between the CA and PL variables. Although water hyacinth dry matter has a high RWC, it is necessary to identify conditions that favor its nutrient bioavailability. Anjos et al. [41] reported that water hyacinth dry matter could be used as a substrate for the germination and initial growth of corn. However, the seedling height was 26.6 cm in comparison to 39.0 cm in the commercial substrate. The evidence indicated that advances are required regarding the nutrition provided by water hyacinth dry matter [42].
Regarding the color of the CA, significant differences (p < 0.05) were identified in the luminosity (L), with the highest values presented in the mixtures not containing water hyacinth dry matter. In coordinate a, no significant differences (p > 0.05) were identified, and all values were negative; therefore, they were in the green space. In coordinate b, significant differences (p < 0.05) were identified, and the highest values in the yellow space were presented in the AP70PE30 (191) and AP100 (19.9) mixtures; these mixtures did not contain water hyacinth dry matter. Similarly, the correlations of the L and the a and b coordinates with CA were 0.91 (p < 0.05), −0.92 (p < 0.05), and 0.95 (p < 0.01), respectively. This indicates that in the mixtures with water hyacinth dry matter, the seedlings had a lower CA and dark green color. Under stressful conditions, plants may exhibit darkening of their foliage as a protective response associated with their fundamental metabolic processes [43]. One reason is the synthesis of red, purple, or blue pigments, which, when combined with green chlorophyll, results in a darker visual appearance [44]. Additionally, a delay in the process of chlorophyll degradation leads to a subsequent loss of green pigmentation, and this phenomenon is often associated with accelerated senescence [45]. In contrast, the concentrations of Chlt (47.6 mg mL−1), Chla (29.8 mg mL−1), and Chlb (18.2 mg mL−1) were higher mainly in the SP100 mixture, where the variables related to morphological development, such as RL, PL, and CA, also presented high values (Table 2). In many species, the chlorophyll content is often used as an indicator of plant health because of its relationship with photosynthesis, development, biomass production, and, ultimately, yield [46].
Table 2.
Characterization of the seedlings formed in the selected experimental mixtures.
The highest proline concentrations were detected in the mixtures WH70PE30 (16.0 µg mL−1) and WH100 (13.3 µg mL−1). It is possible that the low nutrient bioavailability in the water hyacinth dry matter limited seedling development, as suggested by the negative correlations of PRL with PL of −0.89 (p < 0.05) and with CA of −0.94 (p < 0.05). Under stressful conditions, such as those caused by abiotic factors, plants respond by synthesizing and accumulating high levels of proline because this amino acid helps maintain cell turgor pressure by acting as a compatible solute [47]. Proline can function as a molecular chaperone, stabilizing the structures of proteins and membranes [48]. Proline can also act as a scavenger of reactive oxygen species and serve as a signaling molecule, triggering various responses in plants to adapt to stress [49].
4. Conclusions
The mixtures that contained high proportions of water hyacinth dry matter presented a greater water retention capacity; however, their rate of water loss was greater than that of the mixtures that contained Sphagnum dry matter. Although both species have developed in constant contact with water, their origins are different; water hyacinths are floating aquatic plants, and Sphagnum is a moss. The difference in their origin is related to the properties that remained in their dry matter concerning water retention. Lettuce seeds presented high germination percentages in mixtures with water hyacinth dry matter but also had relatively high concentrations of proline in the seedlings. These mixtures presented higher concentrations of ions at mainly high levels of humidity; however, greater values of root length, cotyledon area, and concentrations of chlorophyll, which are associated with better morphological development of the seedling, were detected in the mixtures with high proportions of Sphagnum dry matter. Water hyacinth plant populations are abundant and available, and their dry matter is potentially useful for the formation of lettuce seedlings; however, further studies should be performed with simple and scalable treatments that could increase the bioavailability of nutrients and improve the development of the seedlings.
Author Contributions
Conceptualization, M.I.L.-E., C.L.A.-M. and J.E.R.-N.; methodology, A.R.L.-N. and J.E.R.-N.; software, J.E.R.-N.; validation, J.C.R.-P., J.G.R.-P., A.R.L.-N. and C.L.A.-M.; formal analysis, M.I.L.-E., J.E.R.-N. and A.R.L.-N.; investigation, M.I.L.-E., C.L.A.-M. and J.E.R.-N.; resources, J.E.R.-N.; data curation, A.R.L.-N., J.C.R.-P. and J.G.R.-P.; writing—original draft preparation, M.I.L.-E. and J.E.R.-N.; writing—review and editing, C.L.A.-M.; visualization, A.R.L.-N., J.C.R.-P. and J.G.R.-P.; supervision, C.L.A.-M.; project administration, J.E.R.-N. All authors have read and agreed to the published version of the manuscript.
Funding
This research received no external funding.
Data Availability Statement
The data presented in this study are available on request from the corresponding author.
Acknowledgments
Thanks to the Tecnológico Nacional de México (TecNM) and the Universidad de Guanajuato (UG) for supporting the research and postgraduate studies of M.I.L.-E.
Conflicts of Interest
The authors declare no conflicts of interest.
References
- Macwan, J.; Pandya, D.; Pandya, H.; Mankad, A. Review on soilless method of cultivation: Hydroponics. Int. J. Recent Sci. Res. 2020, 11, 37122–37127. [Google Scholar]
- Schuch, M.W.; Tomaz, Z.F.P.; Casarin, J.V.; Moreira, R.M.; Silva, J.B.D. Advances in vegetative propagation of Olive tree. Rev. Bras. Frutic. 2019, 41, e003. [Google Scholar] [CrossRef]
- Sharma, N.; Acharya, S.; Kumar, K.; Singh, N.; Chaurasia, O.P. Hydroponics as an advanced technique for vegetable production: An overview. J. Soil Water Conserv. 2018, 17, 364–371. [Google Scholar] [CrossRef]
- Eid, A.R.; Negm, A. Improving agricultural crop yield and water productivity via sustainable and engineering techniques. In Conventional Water Resources and Agriculture in Egypt; The Handbook of Environmental Chemistry; Negm, A.M., Ed.; Springer: Cham, Switzerland, 2018; Volume 74. [Google Scholar]
- Sambo, P.; Nicoletto, C.; Giro, A.; Pii, Y.; Valentinuzzi, F.; Mimmo, T.; Lugli, P.; Orzes, G.; Mazzetto, F.; Astolfi, S.; et al. Hydroponic solutions for soilless production systems: Issues and opportunities in a smart agriculture perspective. Front. Plant Sci. 2019, 10, 923. [Google Scholar] [CrossRef] [PubMed]
- Szeląg-Sikora, A.; Sikora, J.; Niemiec, M.; Gródek-Szostak, Z.; Kapusta-Duch, J.; Kuboń, M.; Komorowska, M.; Karcz, J. Impact of integrated and conventional plant production on selected soil parameters in carrot production. Sustainability 2019, 11, 5612. [Google Scholar] [CrossRef]
- Chiomento, J.L.T.; Frizon, P.; Costa, R.C.; Trentin, N.S.; Nardi, F.S.; Calvete, E.O. Water retention of substrates potentiates the quality of lettuce seedlings. Adv. Hortic. Sci. 2019, 33, 197–204. [Google Scholar]
- Bello, A.S.; Ahmed, T.A.; Ben-Hamadou, R. Hydroponics: Innovative option for growing crops in extreme environments—The case of the Arabian Peninsula (A Review). J. Agric. Res. 2019, 4, 000235. [Google Scholar]
- Sela Saldinger, S.; Rodov, V.; Kenigsbuch, D.; Bar-Tal, A. Hydroponic Agriculture and Microbial Safety of Vegetables: Promises, Challenges, and Solutions. Horticulturae 2023, 9, 51. [Google Scholar] [CrossRef]
- Okpara, D.A.; Kharlamova, M.; Grachev, V. Proliferation of household waste irregular dumpsites in Niger Delta region (Nigeria): Unsustainable public health monitoring and future restitution. Sustain. Environ. Res. 2021, 31, 4. [Google Scholar] [CrossRef]
- Gutiérrez, A.; Orden, L.; Postemsky, P.; Iocoli, G.; Mockel, G.; Marinangeli, P. Agrowaste compost as a component of substrates for ornamental plants. Hortic. Argent. 2022, 41, 7. [Google Scholar]
- Gruda, N.S. Increasing sustainability of growing media constituents and stand-alone substrates in soilless culture systems. Agronomy 2019, 9, 298. [Google Scholar] [CrossRef]
- Velazquez-Gonzalez, R.S.; Garcia-Garcia, A.L.; Ventura-Zapata, E.; Barceinas-Sanchez, J.D.O.; Sosa-Savedra, J.C. A Review on hydroponics and the technologies associated for medium-and small-scale operations. Agriculture 2022, 12, 646. [Google Scholar] [CrossRef]
- Castoldi, G.; Freiberger, M.B.; Pivetta, L.A.; Pivetta, L.G.; Echer, M.D.M. Alternative substrates in the production of lettuce seedlings and their productivity in the field. Rev. Ciência Agronômica 2014, 45, 299–304. [Google Scholar] [CrossRef]
- Zuffo, A.M.; González Aguilera, J.; Lima, R.E.; Zaratin Alves, C. Substrates for the production of lettuce seedlings. Eur. J. Hortic. Sci. 2020, 85, 372–379. [Google Scholar] [CrossRef]
- Ayanda, O.I.; Ajayi, T.; Asuwaju, F.P. Eichhornia crassipes (Mart.) Solms: Uses, challenges, threats, and prospects. Sci. World J. 2020, 2020, 3452172. [Google Scholar] [CrossRef] [PubMed]
- Dechassa, N. Origin, distribution, impact and management of water hyacinth (Eichhornia crassipes (Martius) Solm): A review. J. Environ. Earth Sci. 2020, 10, 13–18. [Google Scholar]
- Adelodun, A.A. Appraising the control and benefits of water hyacinth (Eichhornia crassipes [Mart.] Solms). Focus 2022, 89, 89. [Google Scholar]
- Gaurav, G.K.; Mehmood, T.; Cheng, L.; Klemeš, J.J.; Shrivastava, D.K. Water hyacinth as a biomass: A review. J. Clean. Prod. 2020, 277, 122214. [Google Scholar] [CrossRef]
- Datta, A.; Maharaj, S.; Prabhu, G.N.; Bhowmik, D.; Marino, A.; Akbari, V.; Rupavatharam, S.; Sujeetha, J.A.R.P.; Anantrao, G.G.; Poduvattil, V.K.; et al. Monitoring the spread of water hyacinth (Pontederia crassipes): Challenges and future developments. Front. Ecol. Evol. 2021, 9, 631338. [Google Scholar] [CrossRef]
- El Mekawy, A.; Srikanth, S.; Bajracharya, S.; Hegab, H.M.; Nigam, P.S.; Singh, A.; Mohan, S.V.; Pant, D. Food and agricultural wastes as substrates for bioelectrochemical system (BES): The synchronized recovery of sustainable energy and waste treatment. Food Res. Int. 2015, 73, 213–225. [Google Scholar] [CrossRef]
- Sahmat, S.S.; Rafii, M.Y.; Oladosu, Y.; Jusoh, M.; Hakiman, M.; Mohidin, H. A systematic review of the potential of a dynamic hydrogel as a substrate for sustainable agriculture. Horticulturae 2022, 8, 1026. [Google Scholar] [CrossRef]
- SIAP—Servicio de Información Agroalimentaria y Pesquera, Secretaria, Secretaría de Agricultura y Desarrollo Rural, Gobierno de México. 2024. Available online: https://www.gob.mx/siap (accessed on 6 July 2024).
- Bates, L.S.; Waldren RP y Teare, I.D. Rapid determination of free proline for water-stress studies. Plant Soil 1973, 39, 205–207. [Google Scholar] [CrossRef]
- Dudek, G.; Strzelewicz, A.; Krasowska, M.; Rybak, A.; Turczyn, R. A spectrophotometric method for plant pigments determination and herbs classification. Chem. Pap. 2014, 68, 579–583. [Google Scholar] [CrossRef]
- Higuti, J.; Martens, K. Invasive South American floating plants are a successful substrate for native Central African pleuston. Biol. Invasions 2016, 18, 1191–1201. [Google Scholar] [CrossRef]
- Feng, W.; Xiao, K.; Zhou, W.; Zhu, D.; Zhou, Y.; Yuan, Y.; Xiao, N.; Wan, X.; Hua, Y.; Zhao, J. Analysis of utilization technologies for Eichhornia crassipes biomass harvested after restoration of wastewater. Bioresour. Technol. 2017, 223, 287–295. [Google Scholar] [CrossRef] [PubMed]
- Taskila, S.; Särkelä, R.; Tanskanen, J. Valuable applications for peat moss. Biomass Convers. Biorefinery 2016, 6, 115–126. [Google Scholar] [CrossRef]
- Chimona, C.; Rhizopoulou, S. Water economy via oriented root elongation of mediterranean plants: Physiological parameters. World J. Res. Rev. 2018, 6, 262671. [Google Scholar] [CrossRef]
- Gebresilasie, K.G.; Berhe, G.G.; Tesfay, A.H.; Gebre, S.E. Assessment of some physicochemical parameters and heavy metals in hand-dug well water samples of Kafta Humera Woreda, Tigray, Ethiopia. Int. J. Anal. Chem. 2021, 2021, 8867507. [Google Scholar] [CrossRef]
- Fan, R.; Luo, J.; Yan, S.; Wang, T.; Liu, L.; Gao, Y.; Zhang, Z. Use of Water Hyacinth (Eichhornia crassipes) Compost as a Peat Substitute in Soilless Growth Media. Compos. Sci. Util. 2015, 23, 237–247. [Google Scholar] [CrossRef]
- Penn, C.J.; Camberato, J.J. A critical review on soil chemical processes that control how soil pH affects phosphorus availability to plants. Agriculture 2019, 9, 120. [Google Scholar] [CrossRef]
- Neina, D. The role of soil pH in plant nutrition and soil remediation. Appl. Environ. Soil Sci. 2019, 2019, 5794869. [Google Scholar] [CrossRef]
- Gillespie, D.P.; Kubota, C.; Miller, S.A. Effects of low pH of hydroponic nutrient solution on plant growth, nutrient uptake, and root rot disease incidence of basil (Ocimum basilicum L.). HortScience 2020, 55, 1251–1258. [Google Scholar] [CrossRef]
- Abawari, R.A.; Tuji, F.A.; Yadete, D.M. Phosphate solubilizing biofertilizers and their role in bioavailable P nutrient: An overview. Int. J. Appl. Agric. Sci. 2020, 6, 162. [Google Scholar]
- Tyagi, A.; Sharma, S.; Srivastava, H.; Singh, A.; Kaila, T.; Ali, S.; Gaikwad, A.B.; Singh, N.K.; Gaikwad, K. Transcriptome profiling of two contrasting pigeon pea (Cajanus cajan) genotypes in response to waterlogging stress. Front. Genet. 2023, 13, 1048476. [Google Scholar] [CrossRef] [PubMed]
- Su, W.; Sun, Q.; Xia, M.; Wen, Z.; Yao, Z. The resource utilization of water hyacinth (Eichhornia crassipes [Mart.] Solms) and its challenges. Resources 2018, 7, 46. [Google Scholar] [CrossRef]
- Kaleem Abbasi, M.; Mahmood Tahir, M.; Sabir, N.; Khurshid, M. Impact of the addition of different plant residues on nitrogen mineralization–immobilization turnover and carbon content of a soil incubated under laboratory conditions. Solid Earth 2015, 6, 197–205. [Google Scholar] [CrossRef]
- Markoska, V.; Spalevic, V.; Gulaboski, R. A research on the influence of porosity on perlite substrate and its interaction on porosity of two types of soil and peat substrate. Poljopr. Sumar. 2018, 64, 15–29. [Google Scholar] [CrossRef]
- Page, K.L.; Dang, Y.P.; Dalal, R.C. The ability of conservation agriculture to conserve soil organic carbon and the subsequent impact on soil physical, chemical, and biological properties and yield. Front. Sustain. Food Syst. 2020, 4, 31. [Google Scholar] [CrossRef]
- Anjos, M.L.D.; Bória-Fernandez, J.A.; Peixoto-Henares, M.N. Use of Eichhornia crassipes dry matter as organic substrate for germination and initial growth of corn. Ecosistemas Recur. Agropecu. 2018, 5, 97–102. [Google Scholar] [CrossRef]
- Yan, S.H.; Song, W.; Guo, J.Y. Advances in management and utilization of invasive water hyacinth (Eichhornia crassipes) in aquatic ecosystems—A review. Crit. Rev. Biotechnol. 2017, 37, 218–228. [Google Scholar] [CrossRef]
- Osakabe, Y.; Osakabe, K.; Shinozaki, K.; Tran, L.S.P. Response of plants to water stress. Front. Plant Sci. 2014, 5, 86. [Google Scholar] [CrossRef] [PubMed]
- Oliwa, J.; Kornas, A.; Skoczowski, A. A low ratio of red/far-red in the light spectrum accelerates senescence in nest leaves of Platycerium bifurcatum. Acta Biol. Cracoviensia Ser. Bot. 2017, 59, 17–30. [Google Scholar] [CrossRef]
- Loi, M.; Villani, A.; Paciolla, F.; Mulè, G.; Paciolla, C. Challenges and opportunities of light-emitting diode (Led) as key to modulate antioxidant compounds in plants. A review. Antioxidants 2020, 10, 42. [Google Scholar] [CrossRef] [PubMed]
- Ibny, F.Y.; Jaiswal, S.K.; Mohammed, M.; Dakora, F.D. Symbiotic effectiveness and ecologically adaptive traits of native rhizobial symbionts of Bambara groundnut (Vigna subterranea L. Verdc.) in Africa and their relationship with phylogeny. Sci. Rep. 2019, 9, 12666. [Google Scholar] [CrossRef]
- Ban, Q.; Wang, X.; Pan, C.; Wang, Y.; Kong, L.; Jiang, H.; Xu, Y.; Wang, W.; Pan, Y.; Li, Y.; et al. Comparative analysis of the response and gene regulation in cold resistant and susceptible tea plants. PLoS ONE 2017, 12, e0188514. [Google Scholar] [CrossRef] [PubMed]
- Yang, D.; Ni, R.; Yang, S.; Pu, Y.; Qian, M.; Yang, Y.; Yang, Y. Functional characterization of the Stipa purpurea P5CS gene under drought stress conditions. Int. J. Mol. Sci. 2021, 22, 9599. [Google Scholar] [CrossRef]
- Hussain, İ.; Akhtar, S.; Ashraf, M.A.; Rasheed, R.; Siddiqi, E.H.; Ibrahim, M. Response of maize seedlings to cadmium application after different time intervals. ISRN Agron. 2013, 2013, 169610. [Google Scholar] [CrossRef]
Disclaimer/Publisher’s Note: The statements, opinions and data contained in all publications are solely those of the individual author(s) and contributor(s) and not of MDPI and/or the editor(s). MDPI and/or the editor(s) disclaim responsibility for any injury to people or property resulting from any ideas, methods, instructions or products referred to in the content. |
© 2024 by the authors. Licensee MDPI, Basel, Switzerland. This article is an open access article distributed under the terms and conditions of the Creative Commons Attribution (CC BY) license (https://creativecommons.org/licenses/by/4.0/).

