Research on Biomechanical Properties of Laver (Porphyra yezoensis Ueda) for Mechanical Harvesting and Postharvest Transportation
Abstract
:1. Introduction
2. Materials and Methods
2.1. Materials
2.2. Equipment and Methods
2.2.1. Biological Properties Tests
2.2.2. Mechanical Properties Tests
Tensile Test
Shear Test
Adhesive Force and Adhesiveness Test
2.3. Statistical Analysis
3. Results
3.1. Biological Properties of Laver
3.1.1. Biological Properties of Laver from Different Origins
3.1.2. Biological Properties of Laver from Different Harvest Times
3.2. Mechanical Properties of Laver
3.2.1. Tensile Properties
3.2.2. Shear Properties
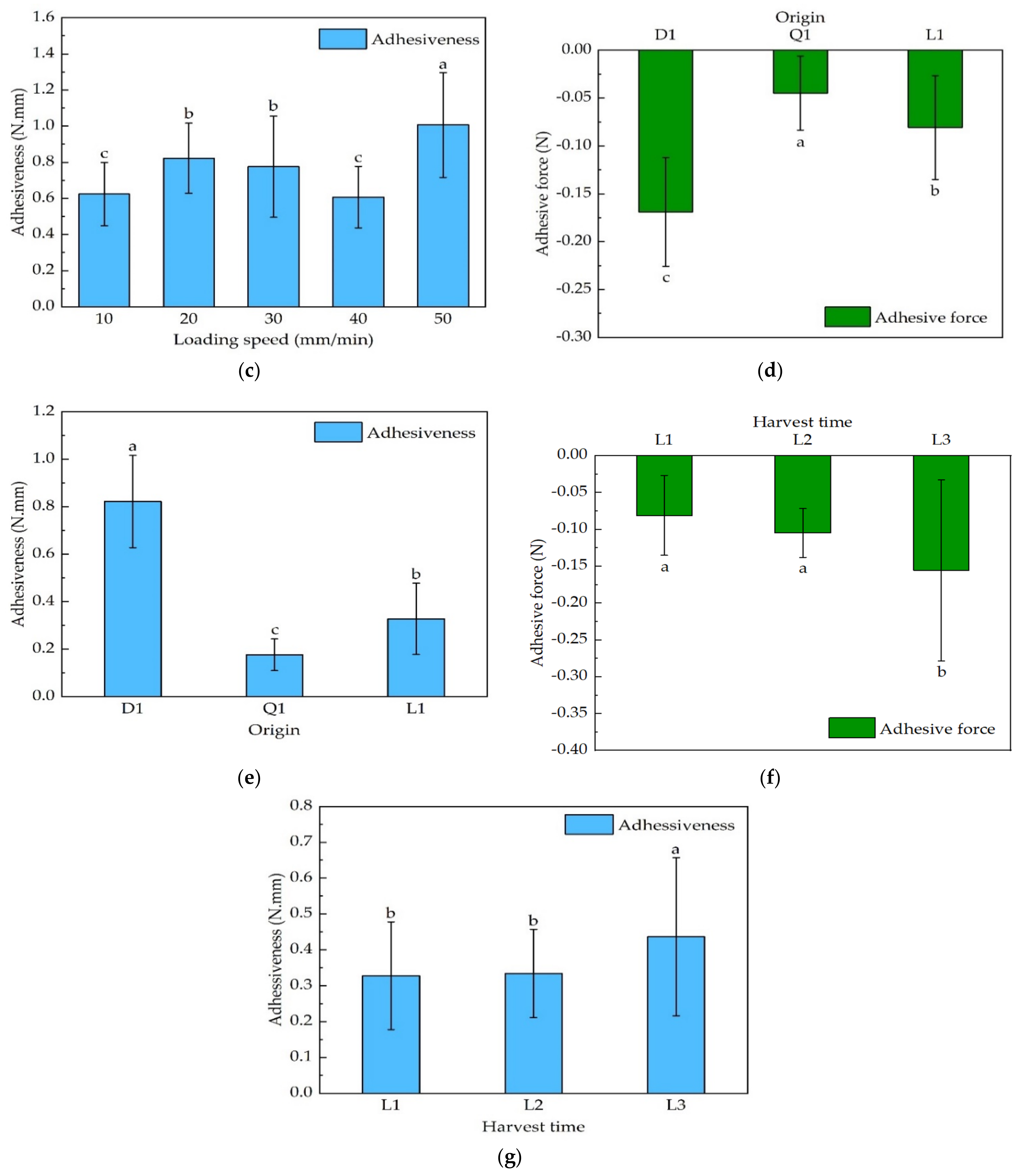
3.2.3. Adhesive Force and Adhesiveness Properties
3.3. The Relationship between Biological and Mechanical Properties
4. Discussion
4.1. Effect of Harvest Time on Width, Thickness, Length-to-Width Ratio and Tensile Strength of Laver
4.2. Effect of Origin on Length, Width, Thickness, Length-to-Width Ratio, Mass and Adhesive Force of Laver
4.3. Effect of Loading Rate on Shear Strength and Adhesiveness of Laver
4.4. The Correlation between Thickness and Tensile Strength of Laver
5. Conclusions
- (1)
- The length, width, thickness and mass of D1 laver were greater than the other two origins. The width, thickness and mass of laver increased and the length-to-width ratio decreased with increasing harvest time. The thickness and tensile strength at different harvest times were positively correlated, and the length and shear strength at different origins were negatively correlated.
- (2)
- The tensile and shear strengths of the laver decreased, and adhesive force and adhesiveness showed the opposite rule with increasing loading rate. The tensile and shear strengths of the Q1 laver and the adhesive force and adhesiveness of the D1 laver were greater than the other two origins. The harvest time was positively proportional to tensile strength, adhesive force and adhesiveness and inversely proportional to shear strength.
- (3)
- It is recommended that the tensile strength of the D1 (3.56 MPa) and the shear strength of the Q1 (4.79 MPa) laver should be used to design a harvesting knife, since those maximum strengths can be compatible with other strengths. The adhesive force and adhesiveness of the D1 (0.32 N,1.01 N·mm) laver are recommended for the design of transportation parts, which could be designed to reduce the contact force and power consumption.
Author Contributions
Funding
Institutional Review Board Statement
Informed Consent Statement
Data Availability Statement
Acknowledgments
Conflicts of Interest
References
- Cho, T.J.; Rhee, M.S. Health functionality and quality control of laver (Porphyra, Pyropia): Current issues and future perspectives as an edible seaweed. Mar. Drugs 2020, 18, 14. [Google Scholar] [CrossRef] [Green Version]
- Blouin, N.A.; Brodie, J.A.; Grossman, A.C.; Xu, P.; Brawley, S.H. Porphyra: A marine crop shaped by stress. Trends Plant Sci. 2011, 16, 29–37. [Google Scholar] [CrossRef]
- Xu, P.; Zhang, X.C.; Wang, S.J.; Zhu, J.Y. Reproduction and Development of Major Economic Marine Algae in China, 1st ed.; China Agriculture Press: Beijing, China, 2013; pp. 101–104. [Google Scholar]
- Tian, Y.; Jiang, Y.H.; Guo, Y.Y.; Zhao, Y.F.; Li, N.; Yao, L.; Yin, D.F.; Wang, L.Z. Research progress on nutritional quality and edible value of Porphyra. J. Food Saf. Qual. 2021, 12, 4929–4936. [Google Scholar]
- FAO. The State of World Fisheries and Aquaculture 2020. Sustainability in Action; FAO: Rome, Italy, 2020; pp. 31–32. [Google Scholar]
- Wang, Y.D. Study on Half-floating Cultivation Laver Harvester & Cold Storage Technology. Master’s Thesis, Shanghai Ocean University, Shanghai, China, 2003. [Google Scholar]
- Kim, B.J.; Kim, S.C.; Cho, B.H.; Shin, K.J. Development of automatic harvesting and acidic processing system for under water laver cultivation. Int. J. Curr. Res. 2017, 9, 55659–55664. [Google Scholar]
- Nakashio, H. Laver Harvester. J.P. Patent 20,060,000,88A, 5 January 2006. [Google Scholar]
- Jo, W. Get Wet Laver Collecting Apparatus. K.R. Patent 20,048,767,5Y1, 19 October 2018. [Google Scholar]
- Yada, S.; Chen, J.K.; Toda, M. Analysis of cutting mechanism of the roll type nori harvester. La mer 1996, 34, 25–32. [Google Scholar]
- Takenaka, K. Pump for laver transportation. Turbomachinery 2005, 33, 435–438. [Google Scholar]
- Jiang, K.S.; Gyu, L.S.; Gu, Y.S.; Hyun, C.B.; Kyoung, P. Laver Automatic Conveying Device. K.R. Patent 201,901,419,70A, 26 December 2019. [Google Scholar]
- Jongsik, P.; Kyungja, Y. Laver Transferring Apparatus. K.R. Patent 200,900,066,25U, 1 July 2009. [Google Scholar]
- Agriculture and Rural Fisheries Administration. China Fishery Statistical Yearbook; Agriculture Press: Beijing, China, 2021; pp. 1–158. [Google Scholar]
- Mu, G.; Tang, J.H.; Li, X.C.; Lu, W.; Zhang, H.B.; Zhang, G.C.; Zhang, Q.; Yang, J.Y.; Li, Y.Q.; Song, Q. Laver Cuts Ship. C.N. Patent 1,115,127,75A, 11 August 2020. [Google Scholar]
- Mu, G.; Tang, J.H.; Lu, W.; Zhai, Y.L.; Zhang, H.B.; Chen, Z.; Chang, H.; Song, Q.; Yang, J.Y.; Li, Y.Q.; et al. Laver Cut Device. C.N. Patent 2,125,735,71U, 23 February 2021. [Google Scholar]
- He, P.M.; Zhang, Z.Y.; Zhang, X.C.; Ma, J.H. Seaweed Cultivation, 1st ed.; Science Press: Beijing, China, 2018; pp. 174–228. [Google Scholar]
- Zhu, J.Y.; Yan, X.H.; Ding, L.P.; Zhang, X.C.; Lu, Q.Q.; Xu, P. Color Atlas of Chinese Laver, 1st ed.; China Agriculture Press: Beijing, China, 2016; pp. 52–131. [Google Scholar]
- Zhang, X.; Wang, H.; Fang, E.J.; Gao, Y.; Guo, B.; Liu, K.F.; Xu, X.F.; Chen, W. A Preliminary study on the cultivation of Porphyra yezoensis in Bohai bay. Trans. Oceanol. Limnol. 2019, 147–152. [Google Scholar]
- Morikawa, T.; Mine, T. The effect of salinity on the thallus thickness of Pyropia yezoensis. Bull. Saga Prefectural Ariake Fish.Res. Deve. Cent. 2017, 28, 1–3. [Google Scholar]
- Levine, I.A.; Sahoo, D. Porphyra: Harvesting Gold from the Sea, 1st ed.; IK International Pvt Ltd.: Bangalore, India, 2010; pp. 1–92. [Google Scholar]
- Yada, S.; Chen, J.K.; Toda, M. A study on cutting mechanism of the suction type nori harvester. La mer 1995, 33, 177–184. [Google Scholar]
- Shimada, Y. Physiological and morphological characters of the three wild strains of Porphyra yezoensis collected from Hokkaido. Aquac. Sci. 2010, 58, 473–479. [Google Scholar]
- Kim, J.B.; Lee, W.C.; Kim, H.C.; Choi, H.G.; Park, J.I.; Cho, Y.; Park, H.H. Photosynthetic characteristics of Porphyra yezoensis Ueda measured in situ by Diving Pulse-Amplitude Modulated (PAM) fluorometry on the southwestern coast of the Korean peninsula. Korean J. Environ. Biol. 2012, 30, 210–218. [Google Scholar]
- Zhang, Y.Y.; Yan, X.H. India-endemic Pyropia radi (Bangiales, Rhodophyta): Biology and life history. Ooceanol. Limnol. Sin. 2014, 45, 52–59. [Google Scholar]
- Diao, H.M. Study on the Basic Properties of Wheat Straw from Different Areas. Master’s Thesis, Nanjing Agricultural University, Jiangsu, China, 2014. [Google Scholar]
- Lou, Y.F.; Yang, Y.B.; Ou, M.Y.; Zhang, Y.H.; Zhang, L.Y.; Pan, J.M.; Zhang, Y.H. Analysis of mechanical and threshing properties about main flue-cured tobacco varieties in partial areas. Guizhou Agric. Sci. 2019, 47, 131–134. [Google Scholar]
- Zhang, Y.H.; Wu, Z.W.; Du, Y.G.; Liu, Z.Y.; Wei, H.Q.; Xi, N.S.; Jia, T.; Deng, G.D. Factors influencing adhesive force and ordering efficiency of tobacco leaves. Tob. Sci. Technol. 2014, 17–19. [Google Scholar]
- Yu, Q.W.; Du, J.S.; Chen, X.; Liang, W.; Shen, Y.J.; Du, Y.G.; Zhang, Y.H.; Zhang, Y.J. Analysis on mechanical properties of three flue-cured tobacco cultivars in Bijie tobacco growing area. Hunan Agric. Sci. 2018, 78–80+84. [Google Scholar]
- Wang, Y.J.; Ying, M.M.; Zhou, Q.H.; Xu, C.L.; Quan, W. Comparison on growth parameters and sequestration efficiency of carbon, nitrogen and phosphorus between two strains of Pyropia haitanensis. J. Shanghai Ocean Univ. 2019, 28, 535–541. [Google Scholar]
- Niwa, K.; Furuita, H.; Yamamoto, T. Changes of growth characteristics and free amino acid content of cultivated Porphyra yezoensis Ueda (Bangiales Rhodophyta) blades with the progression of the number of harvests in a nori farm. J. Appl. Phycol. 2008, 20, 687–693. [Google Scholar] [CrossRef]
- Song, W.L. Study on hightemperature-resisitance of the new varieties “Shenfu No.1” and “Shenfu No.2” of Porphyra haitanensis by cultivation at sea area. J. Shanghai Ocean Univ. 2016, 25, 522–527. [Google Scholar]
- Masuda, Y.; Yamada, H.; Yokoo, K.; Kawamura, Y. Changes of the water content rate and the thickness of cell wall in nori thalli on every harvest. Bull. Saga Prefectural Ariake Fish. Res. Dev. Cent. 2014, 27, 55–59. [Google Scholar]
- Chen, C.S.; Liang, Y.; Xu, Y.; Xie, C.T.; Ji, D.H.; Wang, P.H.; Shi, X.Z.; Zhao, L.M. Selective breeding and comparison of economic traits of the new thin-thallus strain Porphyra haitanensis. Prog. Fish. Sci. 2009, 30, 100–105. [Google Scholar]
- Li, P.Q.; Liu, W.C.; Zhang, P.; Deng, H.Q. Sea area test of Porphyra haitanensis refrigeration Net. J. Zhejiang Agric. Sci. 2019, 60, 796–800. [Google Scholar]
- Kamuwara, T. History and processing of traditional food nori. Jpn. J. Phycol. 2004, 52, 89–92. [Google Scholar]
- Zhang, M.R.; Lu, Q.Q.; Chen, S.Y.; Hu, C.M.; Zhou, W.; Jiang, H.X.; Zhu, M.X. Study on e-valuation methods of Porphyra yezoensis. Fish. Sci. Technol. Inf. 2011, 38, 273–283. [Google Scholar]
- O’Dogherty, M.J.; Huber, J.A.; Dyson, J.; Marshall, C.J. A study of the physical and mechanical properties of wheat straw. J. Agric. Eng. Res. 1995, 62, 133–142. [Google Scholar] [CrossRef]
- Sun, L.X.; Sun, H.; Wang, Y.N.; Zhang, J.D.; Huang, M. The study on bolt quality of rape for oilseed-vegetable-dual-purpose in different picking periods. Qual. Saf. Agro Prod. 2021, 74–79. [Google Scholar]
- Chen, T.C. Study on Mechanical Properties of Kelp and Design of Mechanisms for Knotting Kelp. Master’s Thesis, Southeast University, Nanjing, China, 2018. [Google Scholar]
- Hassan-Beygi, S.R.; Ghozhdi, H.V.; Khazaei, J. Picking force of saffron flower and shear strength of saffron stalk. Electron. J. Pol. Agric. Univ. 2010, 13, 1–11. [Google Scholar]
- Chattopadhyay, P.S.; Pandey, K.P. Mechanical properties of sorghum stalk in relation to quasi-static deformation. J. Agric. Eng. Res. 1999, 73, 199–206. [Google Scholar] [CrossRef]
- Heidari, A.; Chegini, G.; Kianmehr, M.H.; Hassan-Beygi, S.R.; Khazaei, J. Influence of knife bevel angle, rate of loading and stalk section on some engineering parameters of lilium stalk. Iran. J. Energy Environ. 2012, 3, 333–340. [Google Scholar] [CrossRef]
- Ding, H.C.; Lv, F.; Wu, H.X.; Yan, X.H. Selection and characterization of an improved strain produced by inter-species hybridization between Pyropia sp. from India and Pyropia haitanensis from China. Aquaculture 2018, 491, 177–183. [Google Scholar] [CrossRef]
- Mandang, T.; Sinambela, R.; Pandianuraga, N. Physical and mechanical characteristics of oil palm leaf and fruits bunch stalks for bio-mulching. Earth Environ. Sci. IOP Conf. Ser. 2018, 196, 012015. [Google Scholar] [CrossRef]
- Ma, Y.H. Agricultural Material Science, 1st ed.; Chemical Industry Press: Beijing, China, 2015; pp. 35–41. [Google Scholar]
- Li, L.; Deng, G.R.; Li, G.J.; Zheng, S.; Cui, Z.D. Test and analysis on shearing mechanical properties of fibrous roots of galangal. J. Chin. Agric. Mech. 2020, 41, 116–120. [Google Scholar]
- Liu, J.M.; Zhao, D.; Zhao, J. Study of the cutting mechanism of oil tree peony stem. Forests 2020, 11, 760. [Google Scholar] [CrossRef]
- Jiang, S.; Wang, H.O. TPA and effect of experimental conditions on TPA test apples slices. Food Sci. 2004, 25, 68–71. [Google Scholar]
- Razavi, S.M.; Karazhiyan, H. Rheological and textural characteristics of date paste. Int J. Food Prop. 2012, 15, 281–291. [Google Scholar] [CrossRef]
- Li, Z.Y.; Fu, J.; Luo, X.W. Tensile properties and fracture mechanisms of corn bract for corn peeling device design. Agriculture 2021, 11, 796. [Google Scholar] [CrossRef]
- Mu, G. Research on Mechanical Properties Tests of Clam and Key Issues of Dredge Machinery. Ph.D. Thesis, Dalian University of Technology, Dalian, China, 2019. [Google Scholar]
- Benvenutti, M.A.; Gordon, I.J.; Poppi, D.P.; Crowther, R.; Spinks, W.; Moreno, F.C. The horizontal barrier effect of stems on the foraging behaviour of cattle grazing five tropical grasses. Livest. Sci. 2009, 126, 229–238. [Google Scholar] [CrossRef]
- Liu, M.; Fernando, D.; Daniel, G.; Madsen, B.; Meyer, A.S.; Ale, M.T.; Thygesen, A. Effect of harvest time and field retting duration on the chemical composition, morphology and mechanical properties of hemp fibers. Ind. Crop. Prod. 2015, 69, 29–39. [Google Scholar] [CrossRef]
- Jacobs, A.A.A.; Scheper, J.A.; Benvenutti, M.A.; Gordon, I.J.; Poppi, D.P.; Elgersma, A. Tensile fracture properties of seven tropical grasses at different phenological stages. Grass Forage Sci. 2011, 66, 551–559. [Google Scholar] [CrossRef]
- Zhang, W.B.; Fei, B.H.; Tian, G.L.; Yue, X.H.; Jiang, Z.H. Comparative study on growth and Phenotypic traits of phyllostachys edulis in different areas. J. Northeast For. Univ. 2019, 47, 1–5. [Google Scholar]
- Guo, Y.J.; Wang, P.X.; Zhou, K.B.; Chen, J. Effects of producing regions on the cultivation traits differences of Camellia vietnamensis in Hainan Province. J. For. Environ. 2019, 39, 431–437. [Google Scholar]
- Chang, C. Comprehensive Evaluation and Distribution Pattern of Agronomic Characters and Quality of Leymus Chinensis Germplasm Resources. Ph.D. Thesis, Inner Mongolia Agricultural University, Hohhot, China, 2020. [Google Scholar]
- Eideh, R.A.; Elkarmi, A. Allometric relationships of malva parviflora growing in two different bioclimatic regions. J. Plant Biol. 2005, 48, 319–325. [Google Scholar] [CrossRef]
- Lee, D.G.; Kim, Y.S.; Shin, H.T.; Kang, S.K.; Park, S.G. Ilex crenata for. microphylla Rehder’s leaf variations according to different altitudes of east-west slopes of Hallasan. J. Korean Inst. For. Recreat. 2012, 16, 9–14. [Google Scholar]
- Lee, J.; Ha, I.; Kim, H.; Choi, S.; Lee, S.; Kang, J.; Boyhan, G.E. Regional differences in onion bulb quality and nutrient content, and the correlation between bulb characteristics and storage loss. Hortic. Sci. Technol. 2016, 34, 807–817. [Google Scholar]
- Bai, X.; Li, Y.; Su, S.P.; Zhao, X.X. Response of leaf anatomical characteristics of Nitraria tangutorum bobr. from different populations to habitats. Acta Bot. Boreal. Occident. Sin. 2013, 33, 1986–1993. [Google Scholar]
- Ma, Q.H.; Xu, J.R.; Wang, G.X.; Yao, L.X.; Li, Y.Y. Studies on the fruit quality and AFLP markers of Ziziphus jujuba cv. dongzao from Hebei and Shandong province. For. Res. 2009, 22, 48–54. [Google Scholar]
- Wu, Y.D.; Liu, H.F.; Guan, F.C.; Zong, X.C.; Lu, X.; Cai, C.P.; Sang, L.Q. Study on variation of phenotypic character of Armeniacaholosericea fruits. J. Southwest Minzu Univ. 2019, 45, 254–258. [Google Scholar]
- Yang, H.Q.; Zhou, J.H.; Li, Y.P.; Ma, W.G.; Yang, C.; Duan, F.Y.; Hu, J.J. Analysis of physical characteristics of tobacco leaves from different cultivars and different production areas in Yunnan. Acta Tab. Sin. 2008, 14, 30–36. [Google Scholar]
- Adawiyah, D.R.; Sasaki, T.; Kohyama, K. Characterization of arenga starch in comparison with sago starch. Carbohydr. Polym. 2013, 92, 2306–2313. [Google Scholar] [CrossRef]
- Bourne, M.C.; Kenny, J.F.; Barnard, J. Computer-assisted readout of data from texture profile analysis curves 1. J. Texture Stud. 1978, 9, 481–494. [Google Scholar] [CrossRef]
- Bourne, M.C.; Comstock, S.H. Effect of degree of compression on texture profile parameters. J. Texture Stud. 1981, 12, 201–216. [Google Scholar] [CrossRef]
- Zong, X.X.; Yan, Q.Q.; Li, Z.G.; Wang, L.; Li, L.Y.; Bian, Y.F.; Liu, H. Effect of different casein on quality of block processed cheese. Food Res. Dev. 2019, 40, 63–67. [Google Scholar]
- Xu, B.; Jiang, H.Y.; Fan, M.D.; Chen, Y.Q.; Wang, R.L.; Du, J.S.; Zhang, Y.H. Threshing and redrying technology based on typical mechanical characteristics of tobacco leaves of cv. “CB-1. Tob. Sci. Technol. 2020, 53, 80–86+106. [Google Scholar]
- Heidari, A.; Chegini, G.R. Determining the shear strength and picking force of rose flower. Electron. J. Pol. Agric. Univ. 2011, 14, 13. [Google Scholar]
- Tavakoli, H.; Mohtasebi, S.S.; Jafari, A. Effect of moisture content and loading rate on the shearing characteristics of barley straw by internode position. Agric. Eng. Int. CIGR J. 2009, 11, 1176–1186. [Google Scholar]
- Kamandar, M.R.; Massah, J.; Khanali, M. Quasi-static and impact cutting behavior definition of privet stem. Agric. Eng. Int. CIGR J. 2018, 20, 70–80. [Google Scholar]
- Song, Z.H.; Song, H.L.; Geng, A.J.; Li, Y.D.; Yan, Y.F.; Li, F.D. Experiment on cutting characteristics of cotton stalk with double supports. Trans. Chin. Soc. Agric. Eng. 2015, 31, 37–45. [Google Scholar]
- Wang, X.B.; Guo, X.F.; Lou, W.N. Effect of test conditions on the texture properties of noodles. J. Henan Univ. Technol. 2009, 30, 14–17. [Google Scholar]
- Li, Y.H.; Chan, R.F.; Zhang, L.S.; Wang, Z.Y.; Chen, H.; Han, J.C.; Liu, G.J. The optimization of texture determination of fresh peach by using texture analyzer TPA. J. Hebei Agric. Sci. 2016, 20, 95–100. [Google Scholar]
- Xu, X.; He, J.Y.; Xu, G.X.; Liu, G.Y.; He, J.F. Effects of test conditions on measured texture parameters of set yogurt. Food Sci. 2013, 34, 263–267. [Google Scholar]
- Wang, X.B.; Guo, X.F.; Hao, L.P. Influences of testing conditions on texture property measurement results of cooked rice. J. Henan Univ. Technol. 2013, 34, 40–43. [Google Scholar]
- Lang, K.H.; Zhou, X.Q.; Zhang, Y.R. Effect of test conditions on the gel properties of rice. Cereal Feed. Ind. 2012, 1–4. [Google Scholar]
- Guo, F.; Li, Y.Y.; Zhang, S.B. Demonstration of mechanical properties of polyester films with different thickness. Shanghai Plast. 2018, 1–5. [Google Scholar]
- Zhang, B.; Shi, J.A.; Guo, H.L.; Zong, J.Q.; Liu, J.X. Influence of leaf age, irrigation and fertilization on leaf tensile strength of Cynodon dactylon and Zoysia japonica. Grassl. Sci. 2018, 64, 91–99. [Google Scholar] [CrossRef]










| Experiment No. | Fixed Variables | Independent Variables | Dependent Variables | ||
|---|---|---|---|---|---|
| Factors | Levels | Factors | Levels | ||
| 10 mm/min | |||||
| Origin | D | 20 mm/min | |||
| 1 | Harvest time | 1 | Loading rate | 30 mm/min | |
| 40 mm/min | Tensile strength | ||||
| 50 mm/min | Shear strength | ||||
| Loading rate | 20 mm/min | D | Adhesive force Adhesiveness | ||
| 2 | Harvest time | 1 | Origin | Q | |
| L | |||||
| Origin | L | 1 | |||
| 3 | Loading rate | 20 mm/min | Harvest time | 2 | |
| 3 | |||||
| Factors | Variables | Tensile Strength (MPa) | Shear Strength (MPa) | Adhesive Force (N) | Adhesiveness (N·mm) | 
|---|---|---|---|---|---|
| Origin | Length (mm) | −0.145 | −0.218 * | −0.291 ** | 0.415 ** | 
| Width (mm) | −0.053 | −0.182 | −0.359 ** | 0.462 ** | |
| Thickness (mm) | −0.109 | −0.148 | −0.400 ** | 0.596 ** | |
| Mass (g) | −0.128 | −0.184 | −0.381 ** | 0.546 ** | |
| Length-to-width ratio | −0.058 | −0.040 | 0.098 | −0.075 | |
| Harvest time | Length (mm) | −0.108 | −0.002 | 0.081 | −0.076 | 
| Width (mm) | 0.246 * | −0.221 * | −0.292 ** | 0.248 * | |
| Thickness (mm) | 0.333 ** | −0.161 | −0.273 ** | 0.236 * | |
| Mass (g) | 0.217 * | −0.135 | −0.386 ** | 0.294 ** | |
| Length-to-width ratio | −0.258 * | 0.109 | 0.278 ** | −0.209 * | 
| Publisher’s Note: MDPI stays neutral with regard to jurisdictional claims in published maps and institutional affiliations. | 
© 2022 by the authors. Licensee MDPI, Basel, Switzerland. This article is an open access article distributed under the terms and conditions of the Creative Commons Attribution (CC BY) license (https://creativecommons.org/licenses/by/4.0/).
Share and Cite
Lu, W.; Li, X.; Zhang, G.; Tang, J.; Ni, S.; Zhang, H.; Zhang, Q.; Zhai, Y.; Mu, G. Research on Biomechanical Properties of Laver (Porphyra yezoensis Ueda) for Mechanical Harvesting and Postharvest Transportation. AgriEngineering 2022, 4, 48-66. https://doi.org/10.3390/agriengineering4010004
Lu W, Li X, Zhang G, Tang J, Ni S, Zhang H, Zhang Q, Zhai Y, Mu G. Research on Biomechanical Properties of Laver (Porphyra yezoensis Ueda) for Mechanical Harvesting and Postharvest Transportation. AgriEngineering. 2022; 4(1):48-66. https://doi.org/10.3390/agriengineering4010004
Chicago/Turabian StyleLu, Wei, Xiuchen Li, Guochen Zhang, Jiahong Tang, Shang Ni, Hanbing Zhang, Qian Zhang, Yilin Zhai, and Gang Mu. 2022. "Research on Biomechanical Properties of Laver (Porphyra yezoensis Ueda) for Mechanical Harvesting and Postharvest Transportation" AgriEngineering 4, no. 1: 48-66. https://doi.org/10.3390/agriengineering4010004
APA StyleLu, W., Li, X., Zhang, G., Tang, J., Ni, S., Zhang, H., Zhang, Q., Zhai, Y., & Mu, G. (2022). Research on Biomechanical Properties of Laver (Porphyra yezoensis Ueda) for Mechanical Harvesting and Postharvest Transportation. AgriEngineering, 4(1), 48-66. https://doi.org/10.3390/agriengineering4010004
 
         
                                                
 
       