Radiometric Infrared Thermography of Solar Photovoltaic Systems: An Explainable Predictive Maintenance Approach for Remote Aerial Diagnostic Monitoring
Highlights
- The considered radiometric infrared thermography dataset, indicating accurate temperature radiation values, played a critical role in developing and training an ensemble of computationally lightweight convolutional neural network (CNN) models that achieved a high accuracy for the remote diagnosis of solar photovoltaic (SPV) panels.
- Explainability techniques, encompassing perceptive explainability, portraying the most relevant radiometric image data features, and mathematical interpretability, displaying multiclass feature clustering, can be used to unveil the mechanisms underlying CNN models’ diagnostic process.
- Aerial intelligent diagnostic monitoring, exploiting lightweight CNN models, can be used in the large-scale SPV energy systems' life-long operations and maintenance processes for quick and early-stage decision making to consistently achieve the targeted electric power output.
- Policymakers, capital investors, SPV energy system consultants for engineering design and planning, intelligent engineering project contractors and managers, utility electric power suppliers, and SPV energy system operators could receive long-term techno-economic and functional safety benefits by adopting intelligent diagnostic systems, with explainability techniques helping in creating a trust for the functioning of such systems.
Abstract
1. Introduction
1.1. Thermal Degradation and Aerial Thermographic Inspection
1.2. Predictive Maintenance and Fault Diagnosis
1.3. Related Works
1.4. Motivation and Contribution
2. Materials and Methods
2.1. SPV Data Characteristics
2.2. Dataset Preparation and Visualization
2.3. Experimental Workflow
2.4. Convolutional Neural Network Model
2.5. Explainable Artificial Intelligence Methods
2.5.1. Perceptive Explainability
2.5.2. Mathematical Interpretability
2.6. Performance Evaluation Metrics
2.7. Experimental Resources
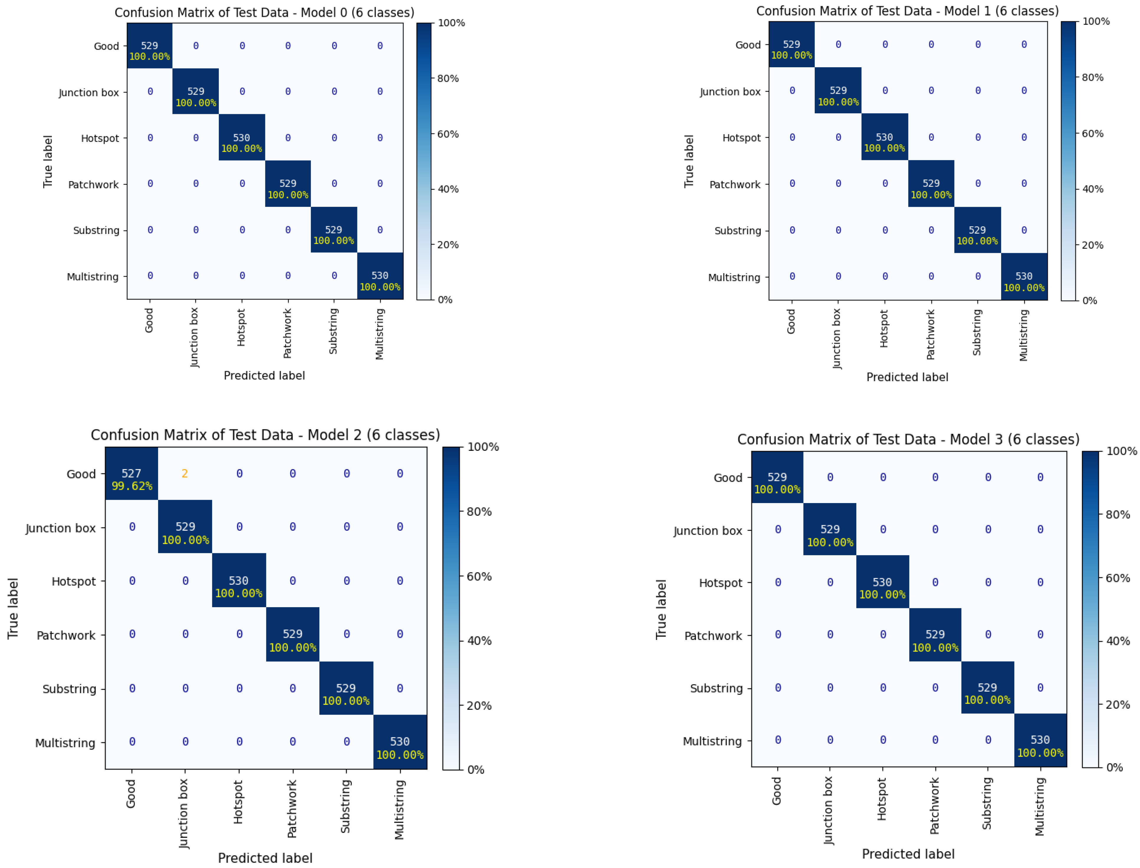
3. Results
Outcome of Resampling SPV Radiometric Dataset
4. Discussion
Limitations
5. Conclusions
Author Contributions
Funding
Data Availability Statement
Acknowledgments
Conflicts of Interest
Abbreviations
| Acronym | Meaning |
| AI | Artificial intelligence |
| ANN | Artificial Neural Network |
| CAM | Class activation map |
| CNN | Convolutional neural network |
| DL | Deep learning |
| XAI | Explainable Artificial Intelligence |
| FDD | Fault detection and diagnosis |
| GLCM | Gray Level Co-occurrence Matrix |
| IFDD | Intelligent fault detection and diagnosis |
| IRT | Infrared Radiated Thermographic |
| mAP | Mean Average Precision |
| ML | Machine learning |
| PdM | Predictive maintenance |
| PID | Potential Induced Degradation |
| PID-sc | PID effect by shunted cells |
| RANSAC | Random sample consensus |
| rgSIFT | Red-Green Scale-Invariant Feature Transform |
| RPCA | Robust Principal Component Analysis |
| SMOTE | Synthetic Minority Over-sampling Technique |
| SPV | Solar photovoltaic |
| t-SNE | t-Distributed Stochastic Neighbor Embedding |
| UMAP | Uniform Manifold Approximation and Projection |
References
- REN21. Renewables 2023 Global Status Report Collection, Renewables in Energy Supply. Paris, 2023. Available online: https://www.ren21.net/wp-content/uploads/2019/05/GSR-2023_Energy-Supply-Module.pdf (accessed on 7 November 2023).
- United Nations. The Sustainable Development Goals Report 2023: Special Edition—Towards a Rescue Plan for People and Planet. 2023. Available online: https://unstats.un.org/sdgs/report/2023/ (accessed on 28 December 2023).
- EurObserv’ER. Photovoltaic Barometer. May 2023. Available online: https://www.eurobserv-er.org/photovoltaic-barometer-2023/ (accessed on 21 October 2023).
- IRENA. Renewable Capacity Statistics 2023. Abu Dhabi, 2023. Available online: https://www.irena.org/Publications/2023/Mar/Renewable-capacity-statistics-2023 (accessed on 18 October 2023).
- IRENA. Renewable Energy Statistics 2023. Abu Dhabi, 2023. Available online: https://www.irena.org/Publications/2023/Jul/Renewable-energy-statistics-2023 (accessed on 18 October 2023).
- SolarPower Europe. Global Market Outlook for Solar Power 2022–2026. 2022. Available online: https://www.solarpowereurope.org/insights/market-outlooks/global-market-outlook-for-solar-power-2022 (accessed on 15 November 2023).
- SolarPower Europe. Global Market Outlook for Solar Power 2023–2027. 2023. Available online: https://www.solarpowereurope.org/insights/market-outlooks/global-market-outlook-for-solar-power-2023-2027-1 (accessed on 15 November 2023).
- Bosman, L.B.; Leon-Salas, W.D.; Hutzel, W.; Soto, E.A. PV system predictive maintenance: Challenges, current approaches, and opportunities. Energies 2020, 13, 1398. [Google Scholar] [CrossRef]
- Ramirez-Vergara, J.; Bosman, L.B.; Wollega, E.; Leon-Salas, W.D. Review of forecasting methods to support photovoltaic predictive maintenance. Clean. Eng. Technol 2022, 8, 100460. [Google Scholar] [CrossRef]
- BS EN 13306:2017; Maintenance—Maintenance Terminology. BSI Standards Limited: London, UK, 2018.
- Keisang, K.; Bader, T.; Samikannu, R. Review of Operation and Maintenance Methodologies for Solar Photovoltaic Microgrids. Front. Energy Res. 2021, 9, 730230. [Google Scholar] [CrossRef]
- Livera, A.; Theristis, M.; Micheli, L.; Fernandez, E.F.; Stein, J.S.; Georghiou, G.E. Operation and Maintenance Decision Support System for Photovoltaic Systems. IEEE Access 2022, 10, 42481–42496. [Google Scholar] [CrossRef]
- IEC TS 62446-3:2017; Photovoltaic (PV) Systems—Requirements for Testing, Documentation and Maintenance—Part 3: Photovoltaic Modules and Plants—Outdoor Infrared Thermography. 2017. Available online: https://webstore.iec.ch/publication/28628 (accessed on 18 November 2022).
- Fidali, M. Thermographic Criteria of Evaluation of Technical Condition of Machinery and Equipment. Meas. Autom. Monit. 2015, 61, 245–248. [Google Scholar]
- ISO 18436-7:2008(E); Condition Monitoring and Diagnostics of Machines—Requirements for Qualification and Assessment of Personnel—Part 7: Thermography (ISO 18436-7). ISO: Geneva, Switzerland, 2008. Available online: https://www.iso.org/standard/34956.html (accessed on 22 October 2022).
- The British Institute of Non-Destructive Testing. Specific Requirements for Qualification and PCN Certification of Condition Monitoring and Diagnostic Personnel for Infrared Thermography (CM/GEN APPENDIX B, Issue 7). Northampton, January 2022. Available online: www.bindt.org (accessed on 22 October 2022).
- Venkatakrishnan, G.R.; Rengaraj, R.; Tamilselvi, S.; Harshini, J.; Sahoo, A.; Saleel, C.A.; Abbas, M.; Cuce, E.; Jazlyn, C.; Shaik, S.; et al. Detection, location, and diagnosis of different faults in large solar PV system—A review. Int. J. Low-Carbon Technol. 2023, 18, 659–674. [Google Scholar] [CrossRef]
- Panasonic. 530–550 Watt (Anchor by Panasonic) 144 Half-Cell Mono PERC Module Datasheet. LT, 2023. Available online: https://lssth.panasonic.com/products/energy/product_finder/img/solar002.pdf (accessed on 9 October 2023).
- Solar Electric UK. Glass/Glass Model No STKM-72-330 (330 Wp Monocrystalline 72 Cell Module) Datasheet. 2023. Available online: http://www.solarelectricuk.com/datasheets/Glass-Model-STKM-72-330-Monocrystalline-Cell-Module.pdf (accessed on 9 November 2023).
- Solar Electric UK. Glass/Glass Model No STKP-72-310 (310 Wp Polycrystalline 72 Cell Module) Datasheet. 2023. Available online: http://www.solarelectricuk.com/datasheets/Glass-Model-STKP-72-310-Polycrystalline-Cell-Module.pdf (accessed on 9 November 2023).
- Trina Solar. Tallmax Framed 252 Layout Mono Half-Cut (470–490 Watt, 20.8% Efficiency) Datasheet. 2022. Available online: https://static.trinasolar.com/sites/default/files/DT-M-0007%20E%20Datasheet_TallmaxM_DE15V%28II%29_NA_EN_2022_A_web.pdf (accessed on 9 November 2023).
- Owen-Bellini, M.; Hacke, P.; Miller, D.C.; Kempe, M.D.; Spataru, S.; Tanahashi, T.; Mitterhofer, S.; Jankovec, M.; Topič, M. Advancing reliability assessments of photovoltaic modules and materials using combined-accelerated stress testing. Prog. Photovolt. Res. Appl. 2021, 29, 64–82. [Google Scholar] [CrossRef]
- Omazic, A.; Oreski, G.; Halwachs, M.; Eder, G.C.; Hirschl, C.; Neumaier, L.; Pinter, G.; Erceg, M. Relation between degradation of polymeric components in crystalline silicon PV module and climatic conditions: A literature review. Sol. Energy Mater. Sol. Cells 2019, 192, 123–133. [Google Scholar] [CrossRef]
- Nivelle, P.; Tsanakas, J.A.; Poortmans, J.; Daenen, M. Stress and strain within photovoltaic modules using the finite element method: A critical review. Renew. Sustain. Energy Rev. 2021, 145, 111022. [Google Scholar] [CrossRef]
- Du, Y.; Wang, L.; Tao, W. Modeling, imaging and resistance analysis for crystalline silicon photovoltaic modules failure on thermal cycle test. Eng. Fail. Anal. 2020, 118, 104818. [Google Scholar] [CrossRef]
- Kim, J.; Rabelo, M.; Padi, S.P.; Yousuf, H.; Cho, E.C.; Yi, J. A review of the degradation of photovoltaic modules for life expectancy. Energies 2021, 14, 4278. [Google Scholar] [CrossRef]
- Eder, G.C.; Voronko, Y.; Dimitriadis, S.; Knöbl, K.; Újvári, G.; Berger, K.A.; Halwachs, M.; Neumaier, L.; Hirschl, C. Climate specific accelerated ageing tests and evaluation of ageing induced electrical, physical, and chemical changes. Prog. Photovolt. Res. Appl. 2019, 27, 934–949. [Google Scholar] [CrossRef]
- Hasan, K.; Yousuf, S.B.; Tushar, M.S.H.K.; Das, B.K.; Das, P.; Islam, M.S. Effects of different environmental and operational factors on the PV performance: A comprehensive review. Energy Sci. Eng. 2022, 10, 656–675. [Google Scholar] [CrossRef]
- Santhakumari, M.; Sagar, N. A review of the environmental factors degrading the performance of silicon wafer-based photovoltaic modules: Failure detection methods and essential mitigation techniques. Renew. Sustain. Energy Rev. 2019, 110, 83–100. [Google Scholar] [CrossRef]
- Aghaei, M.; Fairbrother, A.; Gok, A.; Ahmad, S.; Kazim, S.; Lobato, K.; Oreski, G.; Reinders, A.; Schmitz, J.; Theelen, M.; et al. Review of degradation and failure phenomena in photovoltaic modules. Renew. Sustain. Energy Rev. 2022, 159, 112160. [Google Scholar] [CrossRef]
- Dhimish, M.; Alrashidi, A. Photovoltaic Degradation Rate Affected by Different Weather Conditions: A Case Study Based on PV Systems in the UK and Australia. Electronics 2020, 9, 650. [Google Scholar] [CrossRef]
- Rahman, T.; Mansur, A.A.; Lipu, M.S.H.; Rahman, M.S.; Ashique, R.H.; Houran, M.A.; Elavarasan, R.M.; Hossain, E. Investigation of Degradation of Solar Photovoltaics: A Review of Aging Factors, Impacts, and Future Directions toward Sustainable Energy Management. Energies 2023, 16, 3706. [Google Scholar] [CrossRef]
- Sun, C.; Zou, Y.; Qin, C.; Zhang, B.; Wu, X. Temperature effect of photovoltaic cells: A review. Adv. Compos. Hybrid Mater. 2022, 5, 2675–2699. [Google Scholar] [CrossRef]
- Di Lorenzo, G.; Stracqualursi, E.; Micheli, L.; Celozzi, S.; Araneo, R. Prognostic Methods for Photovoltaic Systems’ Underperformance and Degradation: Status, Perspectives, and Challenges. Energies 2022, 15, 6413. [Google Scholar] [CrossRef]
- Gonzalo, A.P.; Marugán, A.P.; Márquez, F.P.G. Survey of maintenance management for photovoltaic power systems. Renew. Sustain. Energy Rev. 2020, 134, 110347. [Google Scholar] [CrossRef]
- Yu, J.; Zhang, Y. Challenges and opportunities of deep learning-based process fault detection and diagnosis: A review. Neural Comput. Appl. 2022, 35, 211–252. [Google Scholar] [CrossRef]
- Abubakar, A.; Almeida, C.F.M.; Gemignani, M. Review of Artificial Intelligence-Based Failure Detection and Diagnosis Methods for Solar Photovoltaic Systems. Machines 2021, 9, 328. [Google Scholar] [CrossRef]
- IEC 61508-1:2010; Functional Safety of Electrical/Electronic/Programmable Electronic Safety-Related Systems—Part 1: General Requirements. International Electrotechnical Commission: Geneva, Switzerland, 2010.
- Li, W.; Huang, R.; Li, J.; Liao, Y.; Chen, Z.; He, G.; Yan, R.; Gryllias, K. A perspective survey on deep transfer learning for fault diagnosis in industrial scenarios: Theories, applications and challenges. Mech. Syst. Signal. Process 2022, 167, 108487. [Google Scholar] [CrossRef]
- Kaitouni, S.I.; Abdelmoula, I.A.; Es-sakali, N.; Mghazli, M.O.; Er-retby, H.; Zoubir, Z.; El Mansouri, F.; Ahachad, M.; Brigui, J. Implementing a Digital Twin-based fault detection and diagnosis approach for optimal operation and maintenance of urban distributed solar photovoltaics. Renew. Energy Focus 2024, 48, 100530. [Google Scholar] [CrossRef]
- Afridi, Y.S.; Ahmad, K.; Hassan, L. Artificial intelligence based prognostic maintenance of renewable energy systems: A review of techniques, challenges, and future research directions. Int. J. Energy Res. 2022, 46, 21619–21642. [Google Scholar] [CrossRef]
- Akram, M.W.; Li, G.; Jin, Y.; Chen, X. Failures of Photovoltaic modules and their Detection: A Review. Appl. Energy 2022, 313, 118822. [Google Scholar] [CrossRef]
- Alwar, S.; Samithas, D.; Boominathan, M.S.; Balachandran, P.K.; Mihet-Popa, L. Performance Analysis of Thermal Image Processing-Based Photovoltaic Fault Detection and PV Array Reconfiguration—A Detailed Experimentation. Energies 2022, 15, 8450. [Google Scholar] [CrossRef]
- Haidari, P.; Hajiahmad, A.; Jafari, A.; Nasiri, A. Deep learning-based model for fault classification in solar modules using infrared images. Sustain. Energy Technol. Assess. 2022, 52, 102110. [Google Scholar] [CrossRef]
- Kurukuru, V.S.B.; Haque, A.; Khan, M.A.; Tripathy, A.K. Fault Classification for Photovoltaic Modules Using Thermography and Machine Learning Techniques. In Proceedings of the 2019 International Conference on Computer and Information Sciences (ICCIS): Jouf University—Aljouf—Kingdom of Saudi Arabia, Sakaka, Saudi Arabia, 3–4 April 2019; Institute of Electrical and Electronics Engineers (IEEE): Piscataway, NJ, USA, 2019. [Google Scholar] [CrossRef]
- Le, M.; Van Su, L.; Khoa, N.D.; Dao, V.D.; Hung, V.N.; Thi, V.H.H. Remote anomaly detection and classification of solar photovoltaic modules based on deep neural network. Sustain. Energy Technol. Assess. 2021, 48, 101545. [Google Scholar] [CrossRef]
- Korkmaz, D.; Acikgoz, H. An efficient fault classification method in solar photovoltaic modules using transfer learning and multi-scale convolutional neural network. Eng. Appl. Artif. Intell. 2022, 113, 104959. [Google Scholar] [CrossRef]
- Duranay, Z.B. Fault Detection in Solar Energy Systems: A Deep Learning Approach. Electronics 2023, 12, 4397. [Google Scholar] [CrossRef]
- Pamungkas, R.F.; Utama, I.B.K.Y.; Jang, Y.M. A Novel Approach for Efficient Solar Panel Fault Classification Using Coupled UDenseNet. Sensors 2023, 23, 4918. [Google Scholar] [CrossRef]
- Alves, R.H.F.; Júnior, G.A.D.D.; Marra, E.G.; Lemos, R.P. Automatic fault classification in photovoltaic modules using Convolutional Neural Networks. Renew. Energy 2021, 179, 502–516. [Google Scholar] [CrossRef]
- Ali, M.U.; Saleem, S.; Masood, H.; Kallu, K.D.; Masud, M.; Alvi, M.J.; Zafar, A. Early hotspot detection in photovoltaic modules using color image descriptors: An infrared thermography study. Int. J. Energy Res. 2022, 46, 774–785. [Google Scholar] [CrossRef]
- Pathak, S.P.; Patil, D.S.; Patel, S. Solar panel hotspot localization and fault classification using deep learning approach. Procedia Comput. Sci. 2022, 204, 698–705. [Google Scholar] [CrossRef]
- Mellit, A. An embedded solution for fault detection and diagnosis of photovoltaic modules using thermographic images and deep convolutional neural networks. Eng. Appl. Artif. Intell. 2022, 116, 105459. [Google Scholar] [CrossRef]
- Wang, Q.; Paynabar, K.; Pacella, M. Online automatic anomaly detection for photovoltaic systems using thermography imaging and low rank matrix decomposition. J. Qual. Technol. 2021, 54, 503–516. [Google Scholar] [CrossRef]
- Henry, C.; Poudel, S.; Lee, S.W.; Jeong, H. Automatic detection system of deteriorated PV modules using drone with thermal camera. Appl. Sci. 2020, 10, 3802. [Google Scholar] [CrossRef]
- Jeong, H.; Kwon, G.R.; Lee, S.W. Deterioration Diagnosis of Solar Module Using Thermal and Visible Image Processing. Energies 2020, 13, 2856. [Google Scholar] [CrossRef]
- Wang, X.; Yang, W.; Qin, B.; Wei, K.; Ma, Y.; Zhang, D. Intelligent monitoring of photovoltaic panels based on infrared detection. Energy Rep. 2022, 8, 5005–5015. [Google Scholar] [CrossRef]
- Manno, D.; Cipriani, G.; Ciulla, G.; Di Dio, V.; Guarino, S.; Brano, V.L. Deep learning strategies for automatic fault diagnosis in photovoltaic systems by thermographic images. Energy Convers. Manag. 2021, 241, 114315. [Google Scholar] [CrossRef]
- Zefri, Y.; Elkettani, A.; Sebari, I.; Lamallam, S.A. Thermal Infrared and Visual Inspection of Photovoltaic Installations by UAV Photogrammetry—Application Case: Morocco. Drones 2018, 2, 41. [Google Scholar] [CrossRef]
- FLIR Commercial Systems B.V. Thermal Imaging Cameras: A Fast and Reliable Tool for Testing Solar Panels (Technical Note). 2018. Available online: http://support.flir.com/appstories/AppStories/Electrical&Mechanical/Testing_solar_panels_EN.pdf (accessed on 9 November 2023).
- Liu, Y.; Yu, W.; Rahayu, W.; Dillon, T. An Evaluative Study on IoT Ecosystem for Smart Predictive Maintenance (IoT-SPM) in Manufacturing: Multiview Requirements and Data Quality. IEEE Internet Things J. 2023, 10, 11160–11184. [Google Scholar] [CrossRef]
- Buerhop, C.; Jahn, U.; Hoyer, U.; Lerche, B.; Wittmann, S. Abschlussbericht der Machbarkeitsstudie zur Überprüfung der Qualität von Photovoltaik-Modulen Mittels Infrarot-Aufnahmen (Final Report of the Feasibility Study to Quality Testing in Photovoltaic Modules Using Infrared Imaging—Correlation of Infrared Measurement and Electrical Measurement—ZAE Bayern e.V. Dept. 3: Thermal Sensors and Photovoltaics, Erlangen). 2007. Available online: https://demo.fp-werbung.com/projekt_sev-home/wp-content/uploads/2018/12/IR-Handbuch.pdf (accessed on 9 November 2023).
- International Energy Agency. Review on Infrared and Electroluminescence Imaging for PV Field Applications (Report IEA-PVPS T13-10:2018). 2018. Available online: https://iea-pvps.org/wp-content/uploads/2020/01/Review_on_IR_and_EL_Imaging_for_PV_Field_Applications_by_Task_13.pdf (accessed on 9 November 2023).
- Wang, Q.; Paynabar, K.; Pacella, M. Drone-Based Thermography Image Dataset of Photovoltaic Systems. Available online: https://tandf.figshare.com/articles/dataset/Online_automatic_anomaly_detection_for_photovoltaic_systems_using_thermography_imaging_and_low_rank_matrix_decomposition/15123655 (accessed on 15 November 2023).
- Minh, D.; Wang, H.X.; Li, Y.F.; Nguyen, T.N. Explainable artificial intelligence: A comprehensive review. Artif. Intell. Rev. 2021, 55, 3503–3568. [Google Scholar] [CrossRef]
- Linardatos, P.; Papastefanopoulos, V.; Kotsiantis, S. Explainable AI: A Review of Machine Learning Interpretability Methods. Entropy 2020, 23, 18. [Google Scholar] [CrossRef]
- Tjoa, E.; Guan, C. A Survey on Explainable Artificial Intelligence (XAI): Toward Medical XAI. IEEE Trans Neural Netw Learn Syst. 2021, 32, 4793–4813. [Google Scholar] [CrossRef]
- Hussain, S.M.; Buongiorno, D.; Altini, N.; Berloco, F.; Prencipe, B.; Moschetta, M.; Bevilacqua, V.; Brunetti, A. Shape-Based Breast Lesion Classification Using Digital Tomosynthesis Images: The Role of Explainable Artificial Intelligence. Appl. Sci. 2022, 12, 6230. [Google Scholar] [CrossRef]
- Altini, N.; Brunetti, A.; Puro, E.; Taccogna, M.G.; Saponaro, C.; Zito, F.A.; De Summa, S.; Bevilacqua, V. NDG-CAM: Nuclei Detection in Histopathology Images with Semantic Segmentation Networks and Grad-CAM. Bioengineering 2022, 9, 475. [Google Scholar] [CrossRef]
- Altini, N.; Puro, E.; Taccogna, M.G.; Marino, F.; De Summa, S.; Saponaro, C.; Mattioli, E.; Zito, F.A.; Bevilacqua, V. Tumor Cellularity Assessment of Breast Histopathological Slides via Instance Segmentation and Pathomic Features Explainability. Bioengineering 2023, 10, 396. [Google Scholar] [CrossRef] [PubMed]
- Prencipe, B.; Delprete, C.; Garolla, E.; Corallo, F.; Gravina, M.; Natalicchio, M.I.; Buongiorno, D.; Bevilacqua, V.; Altini, N.; Brunetti, A. An Explainable Radiogenomic Framework to Predict Mutational Status of KRAS and EGFR in Lung Adenocarcinoma Patients. Bioengineering 2023, 10, 747. [Google Scholar] [CrossRef] [PubMed]
- Erhan, D.; Bengio, Y.; Courville, A.C.; Vincent, P. Visualizing Higher-Layer Features of a Deep Network. In Proceedings of the ICML 2009 Workshop on Learning Feature Hierarchies, Montréal, QC, Canada, 14–18 June 2009. [Google Scholar]
- Nguyen, A.; Yosinski, J.; Clune, J. Understanding Neural Networks via Feature Visualization: A Survey. arXiv 2019, arXiv:1904.08939. [Google Scholar] [CrossRef]
- Smilkov, D.; Thorat, N.; Kim, B.; Viégas, F.; Wattenberg, M. SmoothGrad: Removing Noise by Adding Noise. arXiv 2017, arXiv:1706.03825. [Google Scholar] [CrossRef]
- Simonyan, K.; Vedaldi, A.; Zisserman, A. Deep Inside Convolutional Networks: Visualising Image Classification Models and Saliency Maps. arXiv 2014, arXiv:1312.6034. [Google Scholar] [CrossRef]
- Van Der Maaten, L.; Hinton, G. Visualizing Data using t-SNE. J. Mach. Learn. Res. 2008, 9, 2579–2605. [Google Scholar]
- McInnes, L.; Healy, J.; Melville, J. UMAP: Uniform Manifold Approximation and Projection for Dimension Reduction. February 2018. Available online: https://arxiv.org/abs/1802.03426v3 (accessed on 23 February 2024).
- FLIR® Systems Inc. Radiometric JPEG Images. Available online: https://flir.custhelp.com/app/answers/detail/a_id/1729/~/radiometric-jpeg-images (accessed on 31 October 2023).
- Teledyne FLIR LLC. FLIR® Thermal Studio Suite (Analysis and Reporting Software). Available online: https://www.flir.com/products/flir-thermal-studio-suite/?vertical=condition%20monitoring&segment=solutions (accessed on 31 October 2023).




















| Author | Dataset and Classes | Feature/Image Processing Technique | Algorithm/Tool | Results |
|---|---|---|---|---|
| [43] | Color IR-thermal images, 6 classes (healthy solar PV modules, shaded, partially shaded, cracked, hotspot-affected, and delamination) | Mean, standard deviation, entropy, and norm | ANN, MATLAB® | 92.3% |
| [56] | Visible and IR-thermal image overlap/feature mapping, 2 classes | MSER using solar PV blue-color, temperature metrics (min, max, avg, high, and low threshold), abnormal area in %age, RANSAC | Homography conversion using RANSAC algorithm | 97% |
| [44] | IR-thermal image, 3 classes (healthy, hotspot, and hot substring), 70 × 50 pixels | Median blurring, grayscale conversion, Adobe Photoshop® | VGG-16, dropout value = 0.15, learning rate = 0.001, Only fully connected layers set for training, Adam optimizer moments = 0.9 and 0.999 | 98% |
| [45] | Grayscale image, 8 classes, 20 × 35 pixels | GLCM, 5 texture features (correlation, contrast, energy, entropy, and homogeneity) | ANN (multi-layer perceptron—MLP), 5-input layers, 12-hidden layers, 8-output layers, MSE to measure error, training algorithm: scaled conjugate gradient backpropagation, | 91.7% |
| [58] | False-color RGB and grayscale image, 2 balanced classes, 12,096 image size | Homogenization, normalization, DWT, thresholding, and a combination of box blur and Sobel Feldman filters, augmentation: zoom, flip, rotate | CNN (4 convolution layers alternating with pooling, flatten, 2 fully connected), number of perceptrons at fully connected layer = 20% input size, dropout = 0.1, batch size: 5, 10, kernel size: 3, filter size: 32, 64, 128, 256 | 100% (sectioned image) |
| [46] | Grayscale images, 12 classes, 24 × 40 pixels | Augmentation: horizontal flip, vertical flip, ±20% size translation, optional SMOTE, | ResNet, ensemble (15 models using methods combination), L2 regularization = 0.01 weight factor to all conv layers to reduce overfitting, stride = 1, 2 (decided by conv layer), filters = 64, parameters = 1.5 M | 86% |
| [47] | Grayscale images, 12 classes (selected 11-class classification), 24 × 40 pixels | Augmented oversampling (brightness ± 30%, reverse × 2, 180° rotation × 1) | AlexNet-based multi-scale TL with 3-parallel branches, parameters = 42 M | 93.51% |
| [48] | Grayscale images, 12 classes, 24 × 40 pixels | Resize: 224 × 224, exemplar patches: 56 × 56, 28 × 28, NCA feature selector | Exemplar EfficientNet B0, SVM classifier, 10-fold cross-validation algorithm | 93.93% |
| [49] | Grayscale images, 12 classes, 24 × 40 pixels | Augmentation: geometric transformation and GAN | Lightweight coupled UDenseNet, parameters: 13.9 M | 95.72% |
| [50] | Grayscale images, 12 classes (selected 8-class classification), 24 × 40 pixels | Augmentation: geometric transformations (vertical flip, horizontal flip, and 0.2-width shift) | CNN, 10-fold cross-validation | 78.85% |
| [51] | Pseudo-color RGB IR-thermal, 3 classes, 71 × 71 pixels | rgSIFT | k-Nearest Neighbor (k-NN) ML algorithm | 98.7% |
| [52] | Grayscale image, 5 classes (single cell hotspot, multi-cell hotspot, diode fault, PID defect, and dust and shadow hotspot), 320 × 240 pixels | Histogram equalization, data Augmentation, normalization | Fault classifier: ResNet-50, learning rate: 0.01, RMSProp optimizer, batch size: 32, hotspot identifier with bounding box: ResNet-101 (F-RCNN) | F1-score: 85.37%, Mean Avg Precision (mAP): 67% |
| [53] | Pseudo-color RGB IR-thermal, 4 classes, 224 × 224 pixels | Denoising: median filter, augmentation: image data generator, zero-padding | CNN (16 layers): 4 Conv, 4 MaxPool, 1 AvgPool, 1 dropout, 1 flatten, 5 dense (64, 32, 16, 8, 4) | 95.55% |
| [57] | Converted true-color thermal image, 4 classes (safety-glass cracks, safety-glass pollution defects, SPV power unit defects, and healthy SPV panels), 320 × 240 pixels | Masked image, augmentation: mirror, flip, cropped zoom, 4-contour-shape combination (perimeter, aspect ratio, contour area, and ratio of contour area to the area of contour’s outer rectangle) | Combination of U-Net segmentation and decision tree (DT) classifier, learning rate: 0.00001, batch size: 10, | 99.8% |
| [54] | Grayscale thermal image, 2 classes | Perspective transformation: TILT, image binarization: Otsu’s method, median filtering and thresholding | RPCA | Accuracy: 93.68%, F1-score: 78.23% |
| Layer (Type) | Output Shape | Number of Parameters |
|---|---|---|
| conv2d (Conv2D) | (None, 104, 64, 32) | 320 |
| batch_normalization (Batch Normalization) | (None, 104, 64, 32) | 128 |
| max_pooling2d (MaxPooling2D) | (None, 52, 32, 32) | 0 |
| conv2d_1 (Conv2D) | (None, 48, 28, 64) | 51,264 |
| batch_normalization_1 (Batch Normalization) | (None, 48, 28, 64) | 256 |
| max_pooling2d_1 (MaxPooling2D) | (None, 24, 14, 64) | 0 |
| conv2d_2 (Conv2D) | (None, 18, 8, 128) | 401,536 |
| batch_normalization_2 (Batch Normalization) | (None, 18, 8, 128) | 512 |
| max_pooling2d_2 (MaxPooling2D) | (None, 9, 4, 128) | 0 |
| global_max_pooling2d (GlobalMaxPooling2D) | (None, 128) | 0 |
| Dense (Dense) | (None, 128) | 16,512 |
| Dropout (Dropout) | (None, 128) | 0 |
| dense_1 (Dense) | (None, 6) | 774 |
| Total params: 471,302 (1.80 MB) | ||
| Trainable params: 470,854 (1.80 MB) | ||
| Non-trainable params: 448 (1.75 KB) | ||
Disclaimer/Publisher’s Note: The statements, opinions and data contained in all publications are solely those of the individual author(s) and contributor(s) and not of MDPI and/or the editor(s). MDPI and/or the editor(s) disclaim responsibility for any injury to people or property resulting from any ideas, methods, instructions or products referred to in the content. |
© 2024 by the authors. Licensee MDPI, Basel, Switzerland. This article is an open access article distributed under the terms and conditions of the Creative Commons Attribution (CC BY) license (https://creativecommons.org/licenses/by/4.0/).
Share and Cite
Qureshi, U.R.; Rashid, A.; Altini, N.; Bevilacqua, V.; La Scala, M. Radiometric Infrared Thermography of Solar Photovoltaic Systems: An Explainable Predictive Maintenance Approach for Remote Aerial Diagnostic Monitoring. Smart Cities 2024, 7, 1261-1288. https://doi.org/10.3390/smartcities7030053
Qureshi UR, Rashid A, Altini N, Bevilacqua V, La Scala M. Radiometric Infrared Thermography of Solar Photovoltaic Systems: An Explainable Predictive Maintenance Approach for Remote Aerial Diagnostic Monitoring. Smart Cities. 2024; 7(3):1261-1288. https://doi.org/10.3390/smartcities7030053
Chicago/Turabian StyleQureshi, Usamah Rashid, Aiman Rashid, Nicola Altini, Vitoantonio Bevilacqua, and Massimo La Scala. 2024. "Radiometric Infrared Thermography of Solar Photovoltaic Systems: An Explainable Predictive Maintenance Approach for Remote Aerial Diagnostic Monitoring" Smart Cities 7, no. 3: 1261-1288. https://doi.org/10.3390/smartcities7030053
APA StyleQureshi, U. R., Rashid, A., Altini, N., Bevilacqua, V., & La Scala, M. (2024). Radiometric Infrared Thermography of Solar Photovoltaic Systems: An Explainable Predictive Maintenance Approach for Remote Aerial Diagnostic Monitoring. Smart Cities, 7(3), 1261-1288. https://doi.org/10.3390/smartcities7030053

