ROC Calculation for Burst Traffic Packet Detection—An Old Problem, Newly Revised
Abstract
1. Introduction
Related Work and Contribution
- We derive the PDF of the cross-correlation metric for different preamble sequence types, including differentially encoded PN sequences.
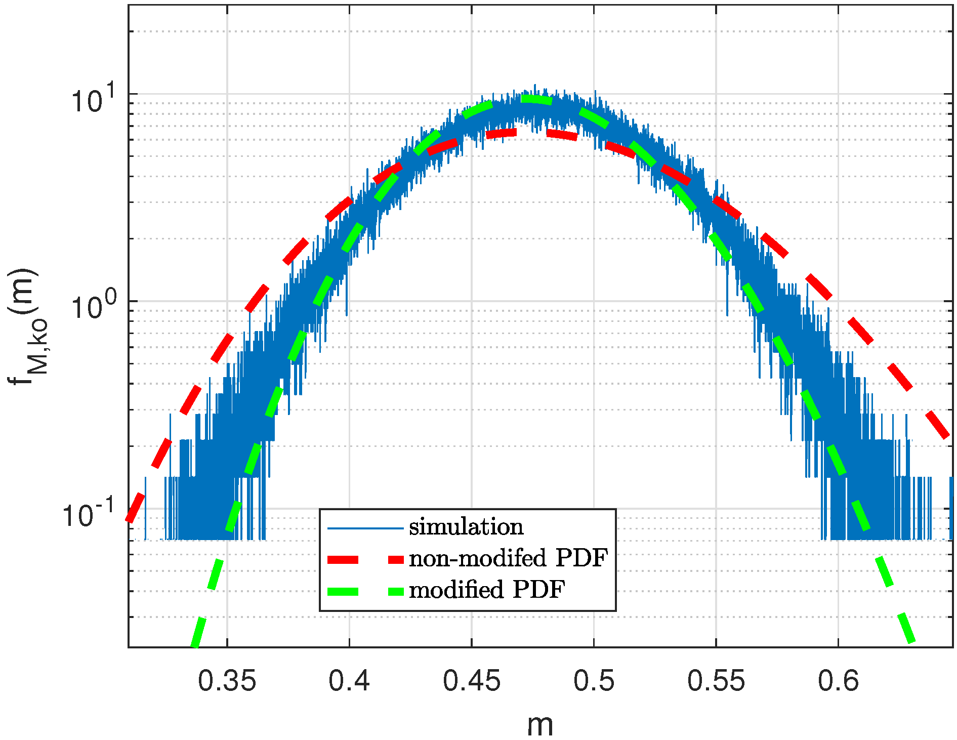
- We show that the standard Ricean PDF assumption should not be used for differentially encoded PN sequences. In addition, we demonstrate that the AGC will have a considerable impact on the PDF shape, which also limits the usage of the Ricean assumption for non-differentially modulated preamble types.
- We will illustrate how to perform ROC calculation under realistic AGC conditions and under high carrier frequency offset, which is typical for LEO satellite communications.
2. Signal Model and Cross-Correlation
2.1. Baseband Signal Model
2.2. Preamble Signal Types
2.3. Differentially Modulated PN Sequences
2.4. Oversampling and Polyphase Timing
3. The ROC Concept
3.1. Basic Concept
- The threshold shall be high enough in order to avoid random noise to fire a burst detection event. This would result in a so-called false alarm, where denotes the probability of false alarm accordingly.
- The threshold shall be low enough in order to ensure that even weak cross-correlation peaks of the incoming preamble sequence are still being detected. If the threshold detector misses a valid packet start, this results in a miss-detection event. The miss-detection probability represents the variable .
3.2. Power Normalization and AGC
4. PDF Derivation of the Cross-Correlation Metric
4.1. PDF for CAZAC and PN Sequences
- Differentially modulated PN sequences are used in packet detection;
4.2. PDF Parameters Under Channel Attenuation and Signal Scaling
4.3. PDF for Differentially Modulated PN Sequences
5. PDF Parametrization Depending on AGC Settings
5.1. Non-Differentially Modulated Sequences
5.2. Non-Differentially Modulated Sequences
5.3. Differentially Modulated Sequences
6. Best Common Metric of ROC
7. Conclusions
Funding
Data Availability Statement
Conflicts of Interest
Abbreviations
| AGC | Automatic gain control |
| BCM | Best common metric |
| BPSK | Binary phase shift keying |
| DFT | Discrete Fourier transformation |
| DL | Down link |
| CAZAC | Constant amplitude zero auto-correlation |
| CFO | Carrier frequency offset |
| CRC | Cyclic redundancy check |
| FA | False alarm |
| FZC | Frank–Zhadoff–Chu |
| LEO | Low Earth orbit |
| ML | Maximum likelihood |
| MODCOD | Modulation and coding scheme |
| OFDM | Orthogonal frequency division multiplex |
| OFDMA | Orthogonal frequency division multiple access |
| PD | Packet Detection |
| Probability density function | |
| PHY | Physical layer |
| PN | Pseudo-noise |
| QPSK | Quadrature phase shift keying |
| ROC | Receiver operating characteristics |
| RRC | Root raised cosine |
| Rx | Receiver |
| RV | Random variable |
| SNR | Signal to noise ratio |
| WLAN | Wireless Local Area Network |
Appendix A. Variance Equation for Cross-Terms
| 1 | 1 | 2 | 0 |
| 1 | −1 | 0 | 2 |
| −1 | 1 | 0 | −2 |
| −1 | −1 | −2 | 0 |
References
- Humphreys, T.E.; Iannucci, P.A.; Komodromos, Z.M.; Graff, A.M. Signal Structure of the Starlink Ku-Band Downlink. IEEE Trans. Aerosp. Electron. Syst. 2023, 59, 6016–6030. [Google Scholar] [CrossRef]
- Zou, K.H.; O’Malley, A.J.; Mauri, L. Receiver-Operating Characteristic Analysis for Evaluating Diagnostic Tests and Predictive Models. Circulations 2007, 115, 654–657. [Google Scholar] [CrossRef] [PubMed]
- Zou, J.; Xu, C. Frequency Offset Tolerant Synchronization Signal Design in NB-IoT. Sensors 2018, 18, 4077. [Google Scholar] [CrossRef] [PubMed]
- Rajan, A.K.; Bandai, M. Win CoAP: A Window-Based Congestion Control Approach for Burst Traffic in IoT Networks. IEEE Access 2025, 13, 77973–77989. [Google Scholar] [CrossRef]
- Bhatt, T.; Sundaramurthy, V.; Zhang, J.; McCain, D. Initial Synchronization for 802.16e Downlink. In Proceedings of the 2006 Fortieth Asilomar Conference on Signals, Systems and Computers, Pacific Grove, CA, USA, 29 October–1 November 2006; pp. 701–706. [Google Scholar] [CrossRef]
- Su, C.; Chen, L.-K.; Cheung, K.-W. Theory of burst-mode receiver and its applications in optical multiaccess networks. J. Light. Technol. 1997, 15, 590–606. [Google Scholar] [CrossRef]
- Dawood, M.; Narayanan, R.M. Receiver operating characteristics for the coherent UWB random noise radar. IEEE Trans. Aerosp. Electron. Syst. 2001, 37, 586–594. [Google Scholar] [CrossRef]
- Ossieur, P.; Verhulst, D.; Martens, Y.; Chen, W.; Bauwelinck, J.; Qiu, X.-Z.; Vandewege, J. A 1.25-gb/s burst-mode receiver for GPON applications. IEEE J. Solid-State Circuits 2005, 40, 1180–1189. [Google Scholar] [CrossRef]
- Cheng, Z.; Gao, G.; Huang, H.; Sun, Y.-E.; Du, Y.; Wang, H. BurstDetector: Real-Time and Accurate Across-Period Burst Detection in High-Speed Networks. In Proceedings of the IEEE INFOCOM 2024—IEEE Conference on Computer Communications, Vancouver, BC, Canada, 20–23 May 2024; pp. 2338–2347. [Google Scholar] [CrossRef]
- de Almeida, I.B.F.; Chafii, M.; Nimr, A.; Fettweis, G. Alternative Chirp Spread Spectrum Techniques for LPWANs. IEEE Trans. Green Commun. Netw. 2021, 5, 1846–1855. [Google Scholar] [CrossRef]
- Boumard, S.; Mammela, A. Time domain synchronization using Newman chirp training sequences in AWGN channels. In Proceedings of the IEEE International Conference on Communications, ICC 2005, Seoul, Republic of Korea, 16–20 May 2005; Volume 2, pp. 1147–1151. [Google Scholar] [CrossRef]
- Ng, J.C.L.; Letaief, K.B.; Murch, R.D. Complex optimal sequences with constant magnitude for fast channel estimation initialization. IEEE Trans. Commun. 1998, 46, 305–308. [Google Scholar] [CrossRef]
- Heiskala, J.; Terry, J. OFDM Wireless LANs: A Theoretical and Practical Guide; SAMS Publishing: Carmel, IN, USA, 2001. [Google Scholar]
- Krondorf, M.; Bittner, S.; Plettemeyer, D.; Knopp, A.; Wikelski, M. ICARUS—Very Low Power Satellite-Based IoT. Sensors 2022, 17, 6329. [Google Scholar] [CrossRef] [PubMed]
- Hofmann, C.; Knopp, A. Ultranarrowband Waveform for IoT Direct Random Multiple Access to GEO Satellites. IEEE Internet Things J. 2019, 6, 10134–10149. [Google Scholar] [CrossRef]
- Krondorf, M.; Goblirsch, M.; Gaudenzi, R.; Cocco, G.; Toptsidis, N.; Acar, G. Towards the implementation of advanced random access schemes for satellite IoT. Int. J. Satell. Commun. Netw. 2020, 38, 177–199. [Google Scholar] [CrossRef]
- Chu, D. Polyphase codes with good periodic correlation properties. IEEE Trans. Inf. Theory 1972, 18, 531–532. [Google Scholar] [CrossRef]
- Frank, R.; Zadoff, S.; Heimiller, R. Phase shift pulse codes with good periodic correlation properties. IRE Trans. Inf. Theory 1962, 8, 381–382. [Google Scholar] [CrossRef]
- Martinez, A.B.; Kumar, A.; Chafii, M.; Fettweis, G. A New Approach for Accurate Time Synchronization Using Chirp Signals. In Proceedings of the IEEE Vehicular Technology conference (VTC Spring 2020), Antwerp, Belgium, 25 May–31 July 2020. [Google Scholar] [CrossRef]
- Simon, M.K. Probability Distributions Involving Gaussian Random Variables; Kluwer Academic Publishers: New York, NY, USA, 2002. [Google Scholar]
- Carmichael, J.D. A Waveform Detector That Targets Template-Decorrelated Signals and Achieves Its Predicted Performance, Part I: Demonstration with IMS Data. Bull. Seismol. Soc. Am. 2016, 106, 1998–2012. [Google Scholar] [CrossRef]















| [dB] | L | W | ||
|---|---|---|---|---|
| −8 | 1027 | 4 | 0.006 | |
| −8 | 2051 | 4 | 0.006 | |
| −5 | 1027 | 4 | 0.02 | |
| −5 | 519 | 8 | 0.02 | |
| −5 | 515 | 4 | 0.02 | |
| −3 | 263 | 8 | 0.03 | |
| −3 | 259 | 4 | 0.04 | |
| −3 | 519 | 8 | 0.03 | |
| −3 | 515 | 4 | 0.03 | |
| 0 | 135 | 8 | 0.08 | |
| 0 | 131 | 4 | 0.08 | |
| 3 | 67 | 4 | 0.19 |
| [dB] | L | CFO | ||
|---|---|---|---|---|
| −13 | 1023 | 0.01 | ||
| −13 | 1023 | 0.01 | ||
| −13 | 1023 | 0.01 | ||
| −8 | 511 | 0.02 | ||
| −8 | 511 | 0.04 | ||
| −8 | 255 | 0.03 | ||
| −8 | 255 | 0.04 | ||
| −5 | 255 | 0.03 | ||
| −5 | 255 | 0.06 | ||
| −5 | 127 | 0.05 | ||
| −5 | 127 | 0.08 | ||
| −3 | 127 | 0.03 | ||
| −3 | 127 | 0.10 | ||
| −3 | 100 | 0.11 | ||
| −3 | 100 | 0.11 | ||
| 0 | 63 | 0.14 | ||
| 0 | 63 | 0.18 | ||
| 0 | 63 | 0.18 |
Disclaimer/Publisher’s Note: The statements, opinions and data contained in all publications are solely those of the individual author(s) and contributor(s) and not of MDPI and/or the editor(s). MDPI and/or the editor(s) disclaim responsibility for any injury to people or property resulting from any ideas, methods, instructions or products referred to in the content. |
© 2025 by the author. Licensee MDPI, Basel, Switzerland. This article is an open access article distributed under the terms and conditions of the Creative Commons Attribution (CC BY) license (https://creativecommons.org/licenses/by/4.0/).
Share and Cite
Krondorf, M. ROC Calculation for Burst Traffic Packet Detection—An Old Problem, Newly Revised. Signals 2025, 6, 57. https://doi.org/10.3390/signals6040057
Krondorf M. ROC Calculation for Burst Traffic Packet Detection—An Old Problem, Newly Revised. Signals. 2025; 6(4):57. https://doi.org/10.3390/signals6040057
Chicago/Turabian StyleKrondorf, Marco. 2025. "ROC Calculation for Burst Traffic Packet Detection—An Old Problem, Newly Revised" Signals 6, no. 4: 57. https://doi.org/10.3390/signals6040057
APA StyleKrondorf, M. (2025). ROC Calculation for Burst Traffic Packet Detection—An Old Problem, Newly Revised. Signals, 6(4), 57. https://doi.org/10.3390/signals6040057

