A Novel Clustering Algorithm Integrating Gershgorin Circle Theorem and Nonmaximum Suppression for Neural Spike Data Analysis
Abstract
1. Introduction
- Demonstrates the robustness and efficiency of G–NMS across various noisy neural recordings, ranging from low to high SNRs.
- Highlights the effective integration of deep learning techniques and eigenvalue inclusion theorems in G–NMS, marking a significant advancement in the clustering domain and contributing significantly to the body of research in this field.
2. Materials and Methods
2.1. Methodology
2.1.1. Preprocessing
2.1.2. Covariance Matrices
2.1.3. Projection of Covariance Matrices to Tangent Plane
2.1.4. Vertical Matrix Transformation
2.1.5. Gershgorin Circle Theorem
2.1.6. Nonmaximum Suppression


2.1.7. Kernel Density Estimation
2.2. Datasets
2.2.1. Dataset 1
2.2.2. Dataset 2
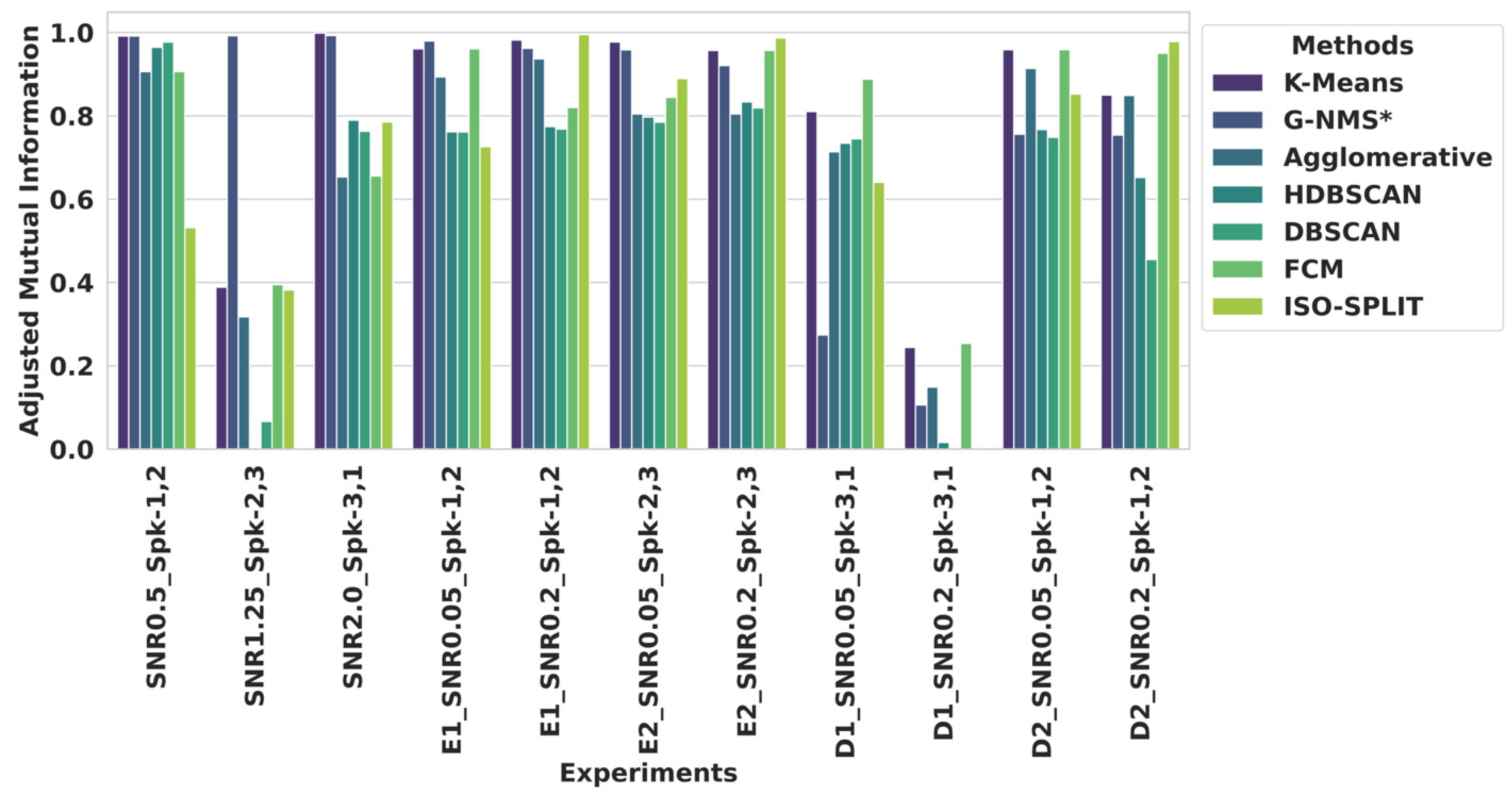
3. Results and Discussion
4. Conclusions
Supplementary Materials
Author Contributions
Funding
Data Availability Statement
Acknowledgments
Conflicts of Interest
References
- Carter, M.; Shieh, J.C. Electrophysiology. In Guide to Research Techniques in Neuroscience; Academic Press: Cambridge, MA, USA, 2015. [Google Scholar]
- Rey, H.G.; Pedreira, C.; Quiroga, R.Q. Past, present and future of spike sorting techniques. Brain Res. Bull. 2015, 119, 106–117. [Google Scholar] [CrossRef] [PubMed]
- Lewicki, M.S. A review of methods for spike sorting: The detection and classification of neural action potentials. Netw. Comput. Neural Syst. 1998, 9, R53. [Google Scholar] [CrossRef]
- MacQueen, J. Some methods for classification and analysis of multivariate observations. In Proceedings of the Fifth Berkeley Symposium on Mathematical Statistics and Probability, Davis Davis, CA, USA, 27 December 1965–7 January 1966; University of California: Oakland, CA, USA, 1967; Volume 1, pp. 281–297. [Google Scholar]
- Salganicoff, M.; Sarna, M.S.L.; Gerstein, G.L. Unsupervised waveform classification for multi-neuron recordings: A real-time, software-based system. I. Algorithms and implementation. J. Neurosci. Methods 1988, 25, 181–187. [Google Scholar] [CrossRef] [PubMed]
- Chah, E.; Hok, V.; Della-Chiesa, A.; Miller, J.J.H.; O’Mara, S.M.; Reilly, R.B. Automated spike sorting algorithm based on Laplacian eigenmaps and k-means clustering. J. Neural Eng. 2011, 8, 016006. [Google Scholar] [CrossRef] [PubMed]
- Caro-Martín, C.R.; Delgado-García, J.M.; Gruart, A.; Sánchez-Campusano, R. Spike sorting based on shape, phase, and distribution features, and K-TOPS clustering with validity and error indices. Sci. Rep. 2018, 8, 17796. [Google Scholar] [CrossRef] [PubMed]
- Bezdek, J.C.; Ehrlich, R.; Full, W. FCM: The fuzzy c-means clustering algorithm. Comput. Geosci. 1984, 10, 191–203. [Google Scholar] [CrossRef]
- Zouridakis, G.; Tam, D.C. Identification of reliable spike templates in multi-unit extracellular recordings using fuzzy clustering. Comput. Methods Programs Biomed. 2000, 61, 91–98. [Google Scholar] [CrossRef] [PubMed]
- Nayak, J.; Naik, B.; Behera, H. Fuzzy C-means (FCM) clustering algorithm: A decade review from 2000 to 2014. In Computational Intelligence in Data Mining—Volume 2, Proceedings of the International Conference on CIDM, Bhubaneswar, India, 5–6 December 2015; Springer: Berlin/Heidelberg, Germany, 2015; pp. 133–149. [Google Scholar]
- Ester, M.; Kriegel, H.P.; Sander, J.; Xu, X. A density-based algorithm for discovering clusters in large spatial databases with noise. In KDD; AAAI: Washington, DC, USA, 1996; Volume 96, pp. 226–231. [Google Scholar]
- Campello, R.J.; Moulavi, D.; Sander, J. Density-based clustering based on hierarchical density estimates. In Knowledge Discovery and Data Mining, Proceedings of the Pacific-Asia Conference, Gold Coast, QLD, Australia, 14–17 April 2013; Springer: Berlin/Heidelberg, Germany, 2013; pp. 160–172. [Google Scholar]
- Ackermann, M.R.; Blömer, J.; Kuntze, D.; Sohler, C. Analysis of agglomerative clustering. Algorithmica 2014, 69, 184–215. [Google Scholar] [CrossRef]
- Magland, J.F.; Barnett, A.H. Unimodal clustering using isotonic regression: ISO-SPLIT. arXiv 2015, arXiv:1508.04841. [Google Scholar]
- Veerabhadrappa, R.; Hassan, M.U.; Zhang, J.; Bhatti, A. Compatibility evaluation of clustering algorithms for contemporary extracellular neural spike sorting. Front. Syst. Neurosci. 2020, 14, 34. [Google Scholar] [CrossRef]
- Pachitariu, M.; Steinmetz, N.; Kadir, S.; Carandini, M.; Kenneth, D.H. Kilosort: Realtime spike-sorting for extracellular electrophysiology with hundreds of channels. BioRxiv 2016, 061481. [Google Scholar] [CrossRef]
- Pouzat, C.; Detorakis, G.I. Spysort: Neuronal spike sorting with python. arXiv 2014, arXiv:1412.6383. [Google Scholar]
- Zhang, T.; Azghadi, M.R.; Lammie, C.; Amirsoleimani, A.; Genov, R. Spike sorting algorithms and their efficient hardware implementation: A comprehensive survey. J. Neural Eng. 2023, 20, 021001. [Google Scholar] [CrossRef] [PubMed]
- Gershgorin, S.A. Über die Abgrenzung der Eigenwerte einer Matrix. Izv. Akad. Nauk. SSSR 1931, 6, 749–754. [Google Scholar]
- Neubeck, A.; Van Gool, L. Efficient non-maximum suppression. In Proceedings of the 18th International Conference on Pattern Recognition, Hong Kong, China, 20–24 August 2006; Volume 3, pp. 850–855. [Google Scholar]
- Yger, F.; Berar, M.; Lotte, F. Riemannian approaches in brain-computer interfaces: A review. IEEE Trans. Neural Syst. Rehabil. Eng. 2016, 25, 1753–1762. [Google Scholar] [CrossRef]
- Patel, S.A.; Smith, R.; Yildirim, A. Gershgorin circle theorem-based featureextraction for biomedical signal analysis. Front. Neuroinformatics 2024, 18, 1395916. [Google Scholar] [CrossRef]
- Patel, S.A.; Yildirim, A. Overcoming Dimensionality Constraints: A Gershgorin Circle Theorem-Based Feature Extraction for Weighted Laplacian Matrices in Computer Vision Applications. J. Imaging 2024, 10, 121. [Google Scholar] [CrossRef] [PubMed]
- Xie, L.; Huang, J.; Tan, E.; He, F.; Liu, Z. The Stability Criterion and Stability Analysis of Three-Phase Grid-Connected Rectifier System Based on Gerschgorin Circle Theorem. Electronics 2022, 11, 3270. [Google Scholar] [CrossRef]
- Chen, Y. A tutorial on kernel density estimation and recent advances. Biostat. Epidemiol. 2017, 1, 161–187. [Google Scholar] [CrossRef]
- Bernert, M.; Yvert, B. An attention-based spiking neural network for unsupervised spike-sorting. Int. J. Neural Syst. 2019, 29, 1850059. [Google Scholar] [CrossRef]
- Adamos, D.A.; Kosmidis, E.K.; Theophilidis, G. Performance evaluation of PCA-based spike sorting algorithms. Comput. Methods Programs Biomed. 2008, 91, 232–244. [Google Scholar] [CrossRef] [PubMed]
- Patel, S.A.; Yildirim, A. Non-stationary neural signal to image conversion framework for image-based deep learning algorithms. Front. Neuroinformatics 2023, 17, 1081160. [Google Scholar] [CrossRef] [PubMed]
- Quiroga, R.Q.; Nadasdy, Z.; Ben-Shaul, Y. Unsupervised spike detection and sorting with wavelets and superparamagnetic clustering. Neural Comput. 2004, 16, 1661–1687. [Google Scholar] [CrossRef] [PubMed]
- Patel, S.A. G-NMS_Clustering [Sourecode]. 2024. Available online: https://github.com/sahaj432/G-NMS_Clustering.git (accessed on 13 February 2024).





| Dataset | Experiment Grouping | Experiments Labels | No. of Epochs |
|---|---|---|---|
| Dataset 1 | S1 | SNR0.5_Spk-1,2 | Spk1 = 6423, Spk2 = 6595 |
| SNR1.25_Spk-2,3 | Spk2 = 6394, Spk3 = 6587 | ||
| SNR2.0_Spk-3,1 | Spk1 = 5553, Spk3 = 6597 | ||
| Dataset 2 | E1 | E1_SNR0.05_Spk-1,2 | Spk1 = 1165, Spk2 = 1157 |
| E1_SNR0.2_Spk-1,2 | Spk1 = 1198, Spk2 = 1128 | ||
| E2 | E2_SNR0.05_Spk-2,3 | Spk2 = 1113, Spk3 = 1167 | |
| E2_SNR0.2_Spk-2,3 | Spk2 = 1188, Spk3 = 1152 | ||
| D1 | D1_SNR0.05_Spk-3,1 | Spk1 = 1115, Spk3 =1155 | |
| D1_SNR0.2_Spk-3,1 | Spk1 = 1136, Spk3 =1179 | ||
| D2 | D2_SNR0.05_Spk-1,2 | Spk1 = 1117, Spk2 = 1135 | |
| D2_SNR0.2_Spk-1,2 | Spk1 = 1151, Spk2 = 1195 |
| Experiments | IoU (α) | Gaussian Kernel Bandwidth (h) | ACC |
|---|---|---|---|
| SNR0.5_Spk-1,2 | 0.1 | 0.4 | 99.930 |
| SNR1.25_Spk-2,3 | 0.1 | 0.2 | 99.938 |
| SNR2.0_Spk-3,1 | 0.1 | 0.1 | 99.942 |
| E1_SNR0.05_Spk-1,2 | 0.5 | 0.4 | 99.784 |
| E1_SNR0.2_Spk-1,2 | 0.1 | 0.2 | 99.570 |
| E2_SNR0.05_Spk-2,3 | 0.3 | 0.1 | 99.517 |
| E2_SNR0.2_Spk-2,3 | 0.1 | 0.2 | 99.017 |
| D1_SNR0.05_Spk-3,1 | 0.5 | 0.1 | 79.823 |
| D1_SNR0.2_Spk-3,1 | 0.4 | 0.06 | 68.639 |
| D2_SNR0.05_Spk-1,2 | 0.4 | 0.1 | 94.855 |
| D2_SNR0.2_Spk-1,2 | 0.4 | 0.1 | 95.907 |
Disclaimer/Publisher’s Note: The statements, opinions and data contained in all publications are solely those of the individual author(s) and contributor(s) and not of MDPI and/or the editor(s). MDPI and/or the editor(s) disclaim responsibility for any injury to people or property resulting from any ideas, methods, instructions or products referred to in the content. |
© 2024 by the authors. Licensee MDPI, Basel, Switzerland. This article is an open access article distributed under the terms and conditions of the Creative Commons Attribution (CC BY) license (https://creativecommons.org/licenses/by/4.0/).
Share and Cite
Patel, S.A.; Yildirim, A. A Novel Clustering Algorithm Integrating Gershgorin Circle Theorem and Nonmaximum Suppression for Neural Spike Data Analysis. Signals 2024, 5, 402-416. https://doi.org/10.3390/signals5020020
Patel SA, Yildirim A. A Novel Clustering Algorithm Integrating Gershgorin Circle Theorem and Nonmaximum Suppression for Neural Spike Data Analysis. Signals. 2024; 5(2):402-416. https://doi.org/10.3390/signals5020020
Chicago/Turabian StylePatel, Sahaj Anilbhai, and Abidin Yildirim. 2024. "A Novel Clustering Algorithm Integrating Gershgorin Circle Theorem and Nonmaximum Suppression for Neural Spike Data Analysis" Signals 5, no. 2: 402-416. https://doi.org/10.3390/signals5020020
APA StylePatel, S. A., & Yildirim, A. (2024). A Novel Clustering Algorithm Integrating Gershgorin Circle Theorem and Nonmaximum Suppression for Neural Spike Data Analysis. Signals, 5(2), 402-416. https://doi.org/10.3390/signals5020020

