A Periodic Extension to the Fokas Method for Acoustic Scattering by an Infinite Grating
Abstract
1. Introduction
2. Statement of the Diffraction Grating Problem
3. The Fokas Method
3.1. Integral Formulation
3.2. Global Relation of the Unit Cell
3.2.1. Convex Decomposition
3.2.2. Quasi-Periodic Collocation Points
4. Numerical Implementation
4.1. Approximate Global Relation and Choice of Basis Functions
4.2. Correcting for Endpoint Singularities
4.3. Conditioning and Limiting Parameter Values
5. Reconstructing the Full Solution
5.1. Green’s Identity
5.2. Effective Reflection and Transmission Coefficients
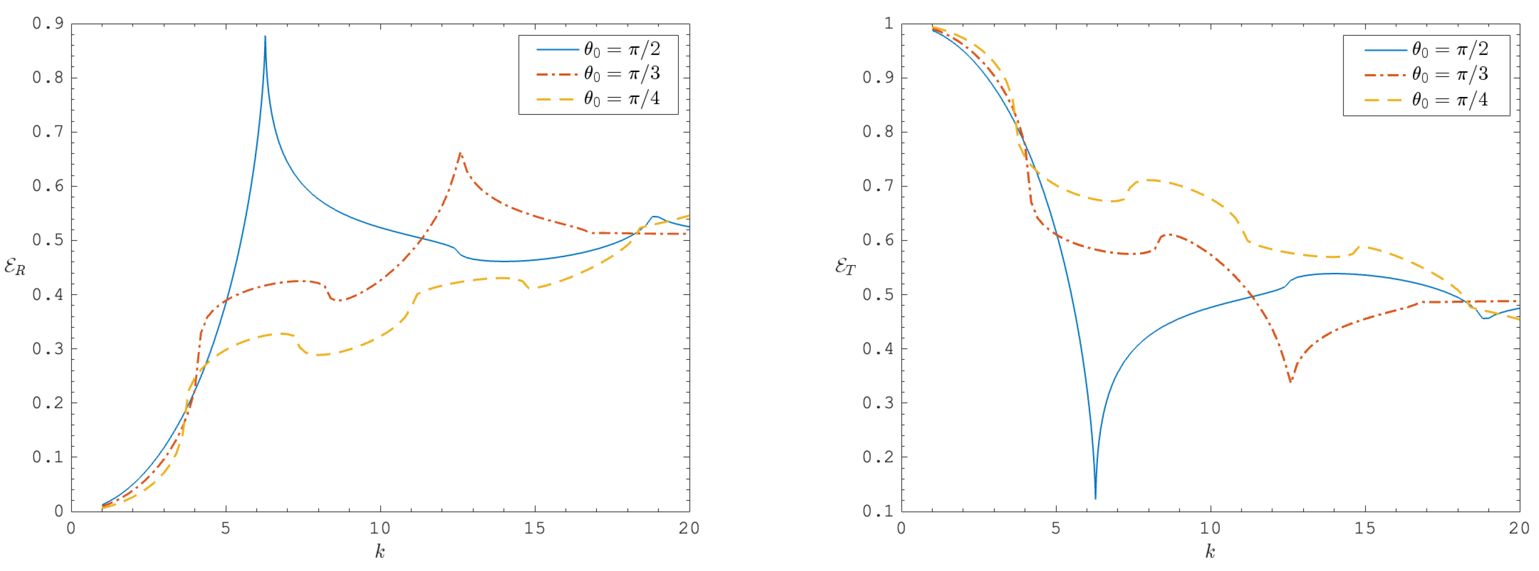
6. Results
Verification Using Homogenised Compliance
7. Conclusions
Author Contributions
Funding
Data Availability Statement
Conflicts of Interest
References
- Mahashabde, A.; Wolfe, P.; Ashok, A.; Dorbian, C.; He, Q.; Fan, A.; Lukachko, S.; Mozdzanowska, A.; Wollersheim, C.; Barrett, S.R.; et al. Assessing the environmental impacts of aircraft noise and emissions. Prog. Aerosp. Sci. 2011, 47, 15–52. [Google Scholar] [CrossRef]
- Yang, M.; Sheng, P. Sound Absorption Structures: From Porous Media to Acoustic Metamaterials. Annu. Rev. Mater. Res. 2017, 47, 83–114. [Google Scholar] [CrossRef]
- Cummer, S.A.; Christensen, J.; Alù, A. Controlling sound with acoustic metamaterials. Nat. Rev. Mater. 2016, 1, 16001. [Google Scholar] [CrossRef]
- Smith, M.J.A. Wave Propagation Through Periodic Structures in Thin Plates. Ph.D. Thesis, University of Auckland, Auckland, New Zealand, 2013. [Google Scholar]
- Geyer, T.F.; Sarradj, E.; Fritzsche, C. Nature-inspired porous airfoils for sound reduction. In Nature-Inspired Fluid Mechanics; Springer: Berlin/Heidelberg, Germany, 2014; Volume 119, pp. 355–370. [Google Scholar] [CrossRef]
- Ayton, L.J.; Colbrook, M.J.; Geyer, T.F.; Chaitanya, P.; Sarradj, E. Reducing aerofoil-turbulence interaction noise through chordwise-varying porosity. J. Fluid Mech. 2021, 906, A1. [Google Scholar] [CrossRef]
- Chaitanya, P.; Joseph, P.; Chong, T.P.; Priddin, M.J.; Ayton, L.J. On the noise reduction mechanisms of porous aerofoil leading edges. J. Sound Vib. 2020, 485, 115574. [Google Scholar] [CrossRef]
- Palleja-Cabre, S.; Chaitanya, P.; Joseph, P.; Kim, J.W.; Priddin, M.J.; Ayton, L.J.; Geyer, T.F.; Chong, T.P. Downstream porosity for the reduction of turbulence-aerofoil interaction noise. J. Sound Vib. 2022, 541, 117–324. [Google Scholar] [CrossRef]
- Crighton, D.G.; Dowling, A.P.; Williams, J.E.F.; Heckl, M.; Leppington, F.G. Modern Methods in Analytical Acoustics; Springer: London, UK, 1992. [Google Scholar] [CrossRef]
- Noble, B. Methods Based on the Wiener-Hopf Technique; Pergamon Press: Oxford, UK, 1958. [Google Scholar] [CrossRef]
- Daniele, V.G.; Lombardi, G. Scattering and Diffraction by Wedges 1: The Wiener-Hopf Solution—Theory; Wiley: Hoboken, NJ, USA, 2020. [Google Scholar] [CrossRef]
- Chehade, S.; Kamta Djakou, A.; Darmon, M.; Lebeau, G. The spectral functions method for acoustic wave diffraction by a stress-free wedge: Theory and validation. J. Comput. Phys. 2019, 377, 200–218. [Google Scholar] [CrossRef]
- Chehade, S.; Darmon, M.; Lebeau, G. 2D elastic plane-wave diffraction by a stress-free wedge of arbitrary angle. J. Comput. Phys. 2019, 394, 532–558. [Google Scholar] [CrossRef]
- Erbaş, B.; Abrahams, D.I. Scattering of sound waves by an infinite grating composed of rigid plates. Wave Motion 2007, 44, 282–303. [Google Scholar] [CrossRef]
- Erbaş, B. Scattering of Waves in Ducts and by Periodic Structures. Ph.D. Thesis, Univeristy of Manchester, Manchester, UK, 2002. [Google Scholar]
- Achenbach, J.D.; Li, Z.L. Reflection and transmission of scalar waves by a periodic array of screens. Wave Motion 1986, 8, 225–234. [Google Scholar] [CrossRef]
- Leppington, F.G.; Levine, H. Reflexion and transmission at a plane screen with periodically arranged circular apertures or elliptical apertures. J. Fluid Mech. 1973, 61, 109–127. [Google Scholar] [CrossRef]
- Fokas, A.S. A Unified Approach to Boundary Value Problems; Society for Industrial and Applied Mathematics: Philadelphia, PA, USA, 2008. [Google Scholar]
- Nicholls, D.P.; Tammali, V. A high-order perturbation of surfaces (HOPS) approach to Fokas integral equations: Vector electromagnetic scattering by periodic crossed gratings. Appl. Numer. Math. 2016, 101, 1–17. [Google Scholar] [CrossRef]
- Arens, T.; Chandler-Wilde, S.N.; DeSanto, J.A. On Integral Equation and Least Squares Methods for Scattering by Diffraction Gratings. Commun. Comput. Phys. 2006, 1, 1010–1042. [Google Scholar]
- Chandler-Wilde, S.N.; Langdon, S. Acoustic scattering: High frequency boundary element methods and unified transform methods. arXiv 2014, arXiv:1410.6137. [Google Scholar]
- DeSanto, J.A. Exact boundary integral equations for scattering of scalar waves from perfectly reflecting infinite rough surfaces. Wave Motion 2008, 45, 918–926. [Google Scholar] [CrossRef]
- Desanto, J. Spectral Methods for Gratings. In Gratings: Theory and Numeric Applications; Popov, E., Ed.; AMU (PUP): Marseille, France, 2012; pp. 3.1–3.38. Available online: www.fresnel.fr/numerical-grating-book (accessed on 5 August 2024).
- Fokas, A.S. A unified transform method for solving linear and certain nonlinear PDEs. Proc. R. Soc. Lond. Ser. A Math. Phys. Eng. Sci. 1997, 453, 1411–1443. [Google Scholar] [CrossRef]
- Spence, E.A. Boundary Value Problems for Linear Elliptic PDEs. Ph.D. Thesis, University of Cambridge, Cambridge, UK, 2010. [Google Scholar]
- Ashton, A.C.L. Elliptic PDEs with constant coefficients on convex polyhedra via the unified method. J. Math. Anal. Appl. 2015, 425, 160–177. [Google Scholar] [CrossRef]
- Fokas, A.S.; Kapaev, A.A. On a transform method for the Laplace equation in a polygon. IMA J. Appl. Math. 2003, 68, 355–408. [Google Scholar] [CrossRef]
- Colbrook, M.J.; Fokas, T.S.; Hashemzadeh, P. A Hybrid Numerical-Analytical Technique for Elliptic PDEs. SIAM J. Sci. Comput. 2019, 41, A1066–A1090. [Google Scholar] [CrossRef]
- Smitheman, S.A.; Spence, E.A.; Fokas, A.S. A spectral collocation method for the Laplace and modified Helmholtz equations in a convex polygon. IMA J. Numer. Anal. 2009, 30, 1184–1205. [Google Scholar] [CrossRef]
- Hashemzadeh, P.; Fokas, A.S.; Smitheman, S.A. A numerical technique for linear elliptic partial differential equations in polygonal domains. Proc. R. Soc. A Math. Phys. Eng. Sci. 2015, 471, 20140747. [Google Scholar] [CrossRef] [PubMed]
- Colbrook, M.J.; Ayton, L.J.; Fokas, A.S. The unified transform for mixed boundary condition problems in unbounded domains. Proc. A 2019, 20180605. [Google Scholar] [CrossRef]
- Strutt, J.W. The Theory of Sound; Dover Publications: New York, NY, USA, 1945. [Google Scholar] [CrossRef]
- Kirsch, A. Diffraction by periodic structures. In Inverse Problems in Mathematical Physics; Päivärinta, L., Somersalo, E., Eds.; Springer: Berlin/Heidelberg, Germany, 1993; pp. 87–102. [Google Scholar] [CrossRef]
- Figotin, A.; Kuchment, P. Band-Gap Structure of Spectra of Periodic Dielectric and Acoustic Media. I. Scalar Model. SIAM J. Appl. Math. 1996, 56, 68–88. [Google Scholar] [CrossRef]
- Colbrook, M.J.; Flyer, N.; Fornberg, B. On the Fokas method for the solution of elliptic problems in both convex and non-convex polygonal domains. J. Comp. Phys. 2018, 374, 996–1016. [Google Scholar] [CrossRef]
- Ashton, A.C. The Fundamental k-Form and Global Relations. Symmetry Integr. Geom. Methods Appl. 2008, 33, 1–15. [Google Scholar] [CrossRef]
- Fulton, S.; Fokas, A.; Xenophontos, C. An analytical method for linear elliptic PDEs and its numerical implementation. J. Comput. Appl. Math. 2004, 167, 465–483. [Google Scholar] [CrossRef]
- Maierhofer, G.; Huybrechs, D. An analysis of least-squares oversampled collocation methods for compactly perturbed boundary integral equations in two dimensions. J. Comput. Appl. Math. 2022, 416, 114500. [Google Scholar] [CrossRef]
- Challa, D.P.; Mantile, A.; Sini, M. Characterization of the acoustic fields scattered by a cluster of small holes. Asymptot. Anal. 2020, 118, 235–268. [Google Scholar] [CrossRef]
- Nethercote, M.A.; Kisil, A.V.; Assier, R.C. Diffraction of Acoustic Waves by a Wedge of Point Scatterers. SIAM J. Appl. Math. 2022, 82, 872–898. [Google Scholar] [CrossRef]
- Foldy, L.L. The Multiple Scattering of Waves. I. General Theory of Isotropic Scattering by Randomly Distributed Scatterers. Phys. Rev. 1945, 67, 107–119. [Google Scholar] [CrossRef]
- Linton, C.M.; Martin, P.A. Semi-Infinite Arrays of Isotropic Point Scatterers. A Unified Approach. SIAM J. Appl. Math. 2004, 64, 1035–1056. [Google Scholar] [CrossRef]
- Fokas, A.; Kaxiras, E. Modern Mathematical Methods for Scientists and Engineers; WORLD SCIENTIFIC (EUROPE): Singapore, 2023. [Google Scholar] [CrossRef]
- Linton, C. The Green’s Function for the Two-Dimensional Helmholtz Equation in Periodic Domains. J. Eng. Math. 1998, 33, 377–401. [Google Scholar] [CrossRef]
- Heins, A.E. The Green’s Function for Periodic Structures in Diffraction Theory with an Application to Parallel Plate Media, I. J. Math. Mech. 1957, 6, 401–426. [Google Scholar] [CrossRef][Green Version]
- Linton, C.M.; Evans, D.V. The Radiation and Scattering of Surface Waves by a Vertical Circular Cylinder in a Channel. Philos. Trans. Phys. Sci. Eng. 1992, 338, 325–357. [Google Scholar] [CrossRef]
- Heins, A.E.; Baldwin, G.L. On the diffraction of a plane wave by an infinite plane grating. Math. Scand. 1954, 2, 103–118. [Google Scholar] [CrossRef][Green Version]
- Mansuripur, M. Classical Optics and Its Applications; Cambridge University Press: Cambridge, UK, 2009; pp. 387–403. [Google Scholar] [CrossRef]
- Priddin, M. Scattering by Porous Aerofoil Adaptations. Ph.D. Thesis, University of Cambridge, Cambridge, UK, 2022. [Google Scholar]
- Leppington, F.G. The effective compliance of perforated screens. Mathematika 1977, 24, 199–215. [Google Scholar] [CrossRef]
- Lamb, H. Hydrodynamics, 6th ed.; Cambridge University Press: Cambridge, UK, 1993. [Google Scholar]
- Howe, M.S. Acoustics of Fluid-Structure Interactions; Cambridge University Press: Cambridge, UK, 1998. [Google Scholar]
- Meylan, M.H.; Smith, M.J. Perforated grating stacks in thin elastic plates. Wave Motion 2017, 70, 15–28. [Google Scholar] [CrossRef]
- Desanto, J.; Erdmann, G.; Hereman, W.; Misra, M. Theoretical and computational aspects of scattering from periodic surfaces: One-dimensional transmission interface. Waves Random Media 2001, 11, 425–453. [Google Scholar] [CrossRef]
- Fornberg, B.; Flyer, N. A numerical implementation of Fokas boundary integral approach: Laplace’s equation on a polygonal domain. Proc. R. Soc. A 2011, 467, 2983–3003. [Google Scholar] [CrossRef]
- Tymis, N.; Thompson, I. Scattering by a semi-infinite lattice and the excitation of Bloch waves. Q. J. Mech. Appl. Math. 2014, 67, 469–503. [Google Scholar] [CrossRef][Green Version]
- Kuchment, P. Floquet Theory for Partial Differential Equations; Birkhäuser Basel: Basel, Switzerland, 1993. [Google Scholar] [CrossRef]








Disclaimer/Publisher’s Note: The statements, opinions and data contained in all publications are solely those of the individual author(s) and contributor(s) and not of MDPI and/or the editor(s). MDPI and/or the editor(s) disclaim responsibility for any injury to people or property resulting from any ideas, methods, instructions or products referred to in the content. |
© 2025 by the authors. Licensee MDPI, Basel, Switzerland. This article is an open access article distributed under the terms and conditions of the Creative Commons Attribution (CC BY) license (https://creativecommons.org/licenses/by/4.0/).
Share and Cite
Naqvi, S.B.; Ayton, L.J. A Periodic Extension to the Fokas Method for Acoustic Scattering by an Infinite Grating. Acoustics 2025, 7, 5. https://doi.org/10.3390/acoustics7010005
Naqvi SB, Ayton LJ. A Periodic Extension to the Fokas Method for Acoustic Scattering by an Infinite Grating. Acoustics. 2025; 7(1):5. https://doi.org/10.3390/acoustics7010005
Chicago/Turabian StyleNaqvi, Shiza B., and Lorna J. Ayton. 2025. "A Periodic Extension to the Fokas Method for Acoustic Scattering by an Infinite Grating" Acoustics 7, no. 1: 5. https://doi.org/10.3390/acoustics7010005
APA StyleNaqvi, S. B., & Ayton, L. J. (2025). A Periodic Extension to the Fokas Method for Acoustic Scattering by an Infinite Grating. Acoustics, 7(1), 5. https://doi.org/10.3390/acoustics7010005
