Generative Models for Periodicity Detection in Noisy Signals
Abstract
1. Introduction
2. Generative Models
- is the set of P prime periodicities in the time series;
- is the set P variances of the periodic intervals;
- is the rate of false positive events, i.e., noise;
- is the starting point of periodicity p;
- M is the generative model scheme.
2.1. Clock Model
2.2. Random Walk Model
2.3. Inference
3. GMPDA
| Algorithm 1: Main Steps of the GMPDA. |
|
4. Performance Evaluation on Test Cases
4.1. Test Cases
Configurations
- , with ,
- ,
- .
4.2. Performance with Respect to
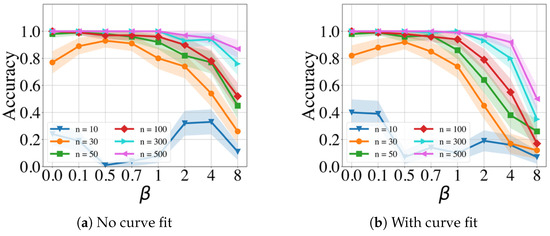
4.2.1. GMPDA Performance
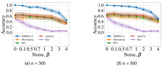
4.2.2. Comparison with Alternative Periodicity Detection Algorithms
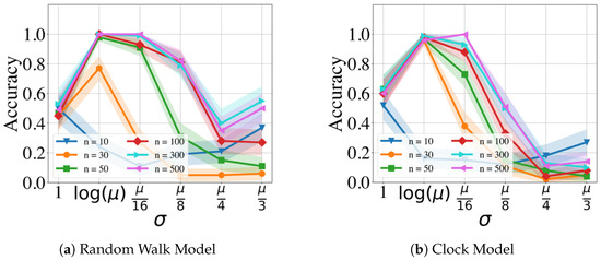
4.3. Performance with Respect to
4.4. Computational Performance
4.5. Summary
5. Real Application
5.1. GMPDA Configurations
5.2. Reference Loss
5.3. Results
6. Conclusions
Author Contributions
Funding
Data Availability Statement
Acknowledgments
Conflicts of Interest
Abbreviations
| ACF | Autocorrelation Function |
| FFT | Fast Fourier Transform |
| GMPDA | Gaussian Mixture Periodicity Detection Algorithm |
| GMPDA cf | GMPDA with curve fitting |
| ts | time series |
Appendix A. GMPDA
Appendix A.1. Approximation of |ζ(μ)|
Appendix A.2. Candidate Period Identification
Appendix A.3. Non-Linear Least Squares Fitting for σ ^
Appendix A.4. Selecting True Parameters: Loss Function
Appendix B. Performance
Appendix B.1. |μ|=1


Appendix B.2. Comparison to Alternative Methods with Respect to Noise β



Appendix B.3. Comparison to Alternative Methods with Respect to Variance σ



Appendix B.4. Sensitivity Analysis
- Number of events ;
- Number of periods ;
- Variance ;
- Noise .
| Number of Events | Number of Periods | Noise | Sigma Ratio | |
|---|---|---|---|---|
| Df | 5 | 2 | 7 | 5 |
| Random Walk Models | ||||
| GMPDA with curve fitting | 5110 | 3746 | 5096 | 4756 |
| GMPDA w/o curve fitting | 3349 | 1821 | 1291 | 7830 |
| E-periodicity | 3218 | 10 | 5221 | 438 |
| FFT | 5519 | 1420 | 1359 | 6687 |
| FFT Autocorrelation | 5506 | 1252 | 3058 | 6013 |
| FFT Histogram | 619 | 1159 | 958 | 2994 |
| Clock Models | ||||
| GMPDA with curve fitting | 2714 | 2377 | 3186 | 7399 |
| GMPDA w/o curve fitting | 2089 | 454 | 1210 | 6806 |
| E-periodicity | 7659 | 280 | 651 | 4707 |
| FFT | 8520 | 157 | 1522 | 5216 |
| FFT Autocorrelation | 8480 | 87 | 1283 | 5689 |
| FFT Histogram | 438 | 211 | 2829 | 1035 |
Appendix B.5. Real Application: Loss

References
- Welch, P. The use of fast Fourier transform for the estimation of power spectra: A method based on time averaging over short, modified periodograms. IEEE Trans. Audio Electroacoust. 1967, 15, 70–73. [Google Scholar] [CrossRef]
- Priestley, M.B. Spectral Analysis and Time Series: Univariate Series; Academic Press: London, UK, 1981. [Google Scholar]
- Madsen, H. Time Series Analysis; CRC Press: Boca Raton, FL, USA, 2007. [Google Scholar]
- Mitsa, T. Temporal Data Mining; CRC Press: Boca Raton, FL, USA, 2010. [Google Scholar]
- Box, G.E.P.; Jenkins, G.M.; Reinsel, G.C.; Ljung, G.M. Time Series Analysis: Forecasting and Control; John Wiley & Sons: New York, NY, USA, 2015. [Google Scholar]
- Junier, I.; Hérisson, J.; Képès, F. Periodic pattern detection in sparse boolean sequences. Algorithms Mol. Biol. 2010, 5, 31. [Google Scholar] [CrossRef] [PubMed][Green Version]
- Glynn, E.F.; Chen, J.; Mushegian, A.R. Detecting periodic patterns in unevenly spaced gene expression time series using Lomb-Scargle periodograms. Bioinformatics 2006, 22, 310–316. [Google Scholar] [CrossRef] [PubMed]
- Vlachos, M.; Yu, P.; Castelli, V. On Periodicity Detection and Structural Periodic Similarity. In Proceedings of the 2005 SIAM International Conference on Data Mining (SDM), Newport Beach, CA, USA, 21–23 April 2005; Society for Industrial and Applied Mathematics: Philadelphia, PA, USA, 2005; pp. 449–460. [Google Scholar] [CrossRef]
- Ahdesmäki, M.; Lähdesmäki, H.; Gracey, A.; Shmulevich, L.; Yli-Harja, O. Robust regression for periodicity detection in non-uniformly sampled time-course gene expression data. BMC Bioinform. 2007, 8, 233. [Google Scholar] [CrossRef] [PubMed]
- Berberidis, C.; Aref, W.G.; Atallah, M.; Vlahavas, I.; Elmagarmid, A.K. Multiple and Partial periodicity mining in time series databases. In Proceedings of the 15th European Conference on Artificial Intelligence, NLD, ECAI’02, Lyon, France, 21–26 July 2002; pp. 370–374. [Google Scholar]
- Elfeky, M.G.; Aref, W.G.; Elmagarmid, A.K. STAGGER: Periodicity Mining of Data Streams Using Expanding Sliding Windows. In Proceedings of the Sixth International Conference on Data Mining (ICDM’06), Hong Kong, China, 18–22 December 2006; pp. 188–199. [Google Scholar] [CrossRef]
- Li, Z.; Wang, J.; Han, J. ePeriodicity: Mining Event Periodicity from Incomplete Observations. IEEE Trans. Knowl. Data Eng. 2015, 27, 1219–1232. [Google Scholar] [CrossRef]
- Sheng, M.; Hellerstein, J. Mining partially periodic event patterns with unknown periods. In Proceedings of the 17th International Conference on Data Engineering, Heidelberg, Germany, 2–6 April 2001; pp. 205–214. [Google Scholar] [CrossRef]
- Yang, K.J.; Hong, T.P.; Chen, Y.M.; Lan, G.C. Projection-based partial periodic pattern mining for event sequences. Expert Syst. Appl. 2013, 40, 4232–4240. [Google Scholar] [CrossRef]
- Yuan, Q.; Shang, J.; Cao, X.; Zhang, C.; Geng, X.; Han, J. Detecting Multiple Periods and Periodic Patterns in Event Time Sequences. In Proceedings of the 2017 ACM on Conference on Information and Knowledge Management, Singapore, 6–10 November 2017; pp. 617–626. [Google Scholar] [CrossRef]
- Van Dongen, H.; Olofsen, E.; Van Hartevelt, J.; Kruyt, E. A Procedure of Multiple Period Searching in Unequally Spaced Time-Series with the Lomb–Scargle Method. Biol. Rhythm. Res. 1999, 30, 149–177. [Google Scholar] [CrossRef] [PubMed]
- Parthasarathy, S.; Mehta, S.; Srinivasan, S. Robust periodicity detection algorithms. In Proceedings of the 15th ACM International Conference on Information and Knowledge Management, CIKM ’06, Alrington, VA, USA, 6–11 November 2006; pp. 874–875. [Google Scholar] [CrossRef]
- Ghosh, A.; Lucas, C.; Sarkar, R. Finding Periodic Discrete Events in Noisy Streams. In Proceedings of the 2017 ACM on Conference on Information and Knowledge Management, Singapore, 6–10 November 2017; pp. 627–636. [Google Scholar] [CrossRef]
- Grinstead, C.M.; Snell, J.L. Introduction to Probability, 2nd ed.; American Mathematical Society: Palo Alto, CA, USA, 2013. [Google Scholar]
- Auger, F.; Flandrin, P. Improving the readability of time-frequency and time-scale representations by the reassignment method. IEEE Trans. Signal Process. 1995, 43, 1068–1089. [Google Scholar] [CrossRef]
- Zhang, G.Q.; Cui, L.; Mueller, R.; Tao, S.; Kim, M.; Rueschman, M.; Mariani, S.; Mobley, D.; Redline, S. The National Sleep Research Resource: Towards a sleep data commons. J. Am. Med. Inform. Assoc. 2018, 25, 1351–1358. [Google Scholar] [CrossRef] [PubMed]
- Dean, D.A.; Goldberger, A.L.; Mueller, R.; Kim, M.; Rueschman, M.; Mobley, D.; Sahoo, S.S.; Jayapandian, C.P.; Cui, L.; Morrical, M.G.; et al. Scaling Up Scientific Discovery in Sleep Medicine: The National Sleep Research Resource. Sleep 2016, 39, 1151–1164. [Google Scholar] [CrossRef] [PubMed]
- Blackwell, T.; Yaffe, K.; Ancoli-Israel, S.; Redline, S.; Ensrud, K.E.; Stefanick, M.L.; Laffan, A.; Stone, K.L.; Osteoporotic Fractures in Men Study Group. Associations between sleep architecture and sleep-disordered breathing and cognition in older community-dwelling men: The Osteoporotic Fractures in Men Sleep Study. J. Am. Geriatr. Soc. 2011, 59, 2217–2225. [Google Scholar] [CrossRef] [PubMed]
- Blank, J.B.; Cawthon, P.M.; Carrion-Petersen, M.L.; Harper, L.; Johnson, J.P.; Mitson, E.; Delay, R.R. Overview of recruitment for the osteoporotic fractures in men study (MrOS). Contemp. Clin. Trials 2005, 26, 557–568. [Google Scholar] [CrossRef] [PubMed]
- Orwoll, E.; Blank, J.B.; Barrett-Connor, E.; Cauley, J.; Cummings, S.; Ensrud, K.; Lewis, C.; Cawthon, P.M.; Marcus, R.; Marshall, L.M.; et al. Design and baseline characteristics of the osteoporotic fractures in men (MrOS) study–a large observational study of the determinants of fracture in older men. Contemp. Clin. Trials 2005, 26, 569–585. [Google Scholar] [CrossRef] [PubMed]
- Haba-Rubio, J.; Marti-Soler, H.; Marques-Vidal, P.; Tobback, N.; Andries, D.; Preisig, M.; Waeber, G.; Vollenweider, P.; Kutalik, Z.; Tafti, M.; et al. Prevalence and determinants of periodic limb movements in the general population. Ann. Neurol. 2016, 79, 464–474. [Google Scholar] [CrossRef] [PubMed]
- Ferri, R.; Fulda, S.; Allen, R.P.; Zucconi, M.; Bruni, O.; Chokroverty, S.; Ferini-Strambi, L.; Frauscher, B.; Garcia-Borreguero, D.; Hirshkowitz, M.; et al. World Association of Sleep Medicine (WASM) 2016 standards for recording and scoring leg movements in polysomnograms developed by a joint task force from the International and the European Restless Legs Syndrome Study Groups (IRLSSG and EURLSSG). Sleep Med. 2016, 26, 86–95. [Google Scholar] [CrossRef] [PubMed]
- Ferri, R.; Koo, B.B.; Picchietti, D.L.; Fulda, S. Periodic leg movements during sleep: Phenotype, neurophysiology, and clinical significance. Sleep Med. 2017, 31, 29–38. [Google Scholar] [CrossRef] [PubMed]

















Disclaimer/Publisher’s Note: The statements, opinions and data contained in all publications are solely those of the individual author(s) and contributor(s) and not of MDPI and/or the editor(s). MDPI and/or the editor(s) disclaim responsibility for any injury to people or property resulting from any ideas, methods, instructions or products referred to in the content. |
© 2024 by the authors. Licensee MDPI, Basel, Switzerland. This article is an open access article distributed under the terms and conditions of the Creative Commons Attribution (CC BY) license (https://creativecommons.org/licenses/by/4.0/).
Share and Cite
Barnett, E.; Kaiser, O.; Masci, J.; Wit, E.C.; Fulda, S. Generative Models for Periodicity Detection in Noisy Signals. Clocks & Sleep 2024, 6, 359-388. https://doi.org/10.3390/clockssleep6030025
Barnett E, Kaiser O, Masci J, Wit EC, Fulda S. Generative Models for Periodicity Detection in Noisy Signals. Clocks & Sleep. 2024; 6(3):359-388. https://doi.org/10.3390/clockssleep6030025
Chicago/Turabian StyleBarnett, Ezekiel, Olga Kaiser, Jonathan Masci, Ernst C. Wit, and Stephany Fulda. 2024. "Generative Models for Periodicity Detection in Noisy Signals" Clocks & Sleep 6, no. 3: 359-388. https://doi.org/10.3390/clockssleep6030025
APA StyleBarnett, E., Kaiser, O., Masci, J., Wit, E. C., & Fulda, S. (2024). Generative Models for Periodicity Detection in Noisy Signals. Clocks & Sleep, 6(3), 359-388. https://doi.org/10.3390/clockssleep6030025

