The Impact of Chronotype on the Sleep and Training Responses of Elite Female Australian Footballers
Abstract
:1. Introduction
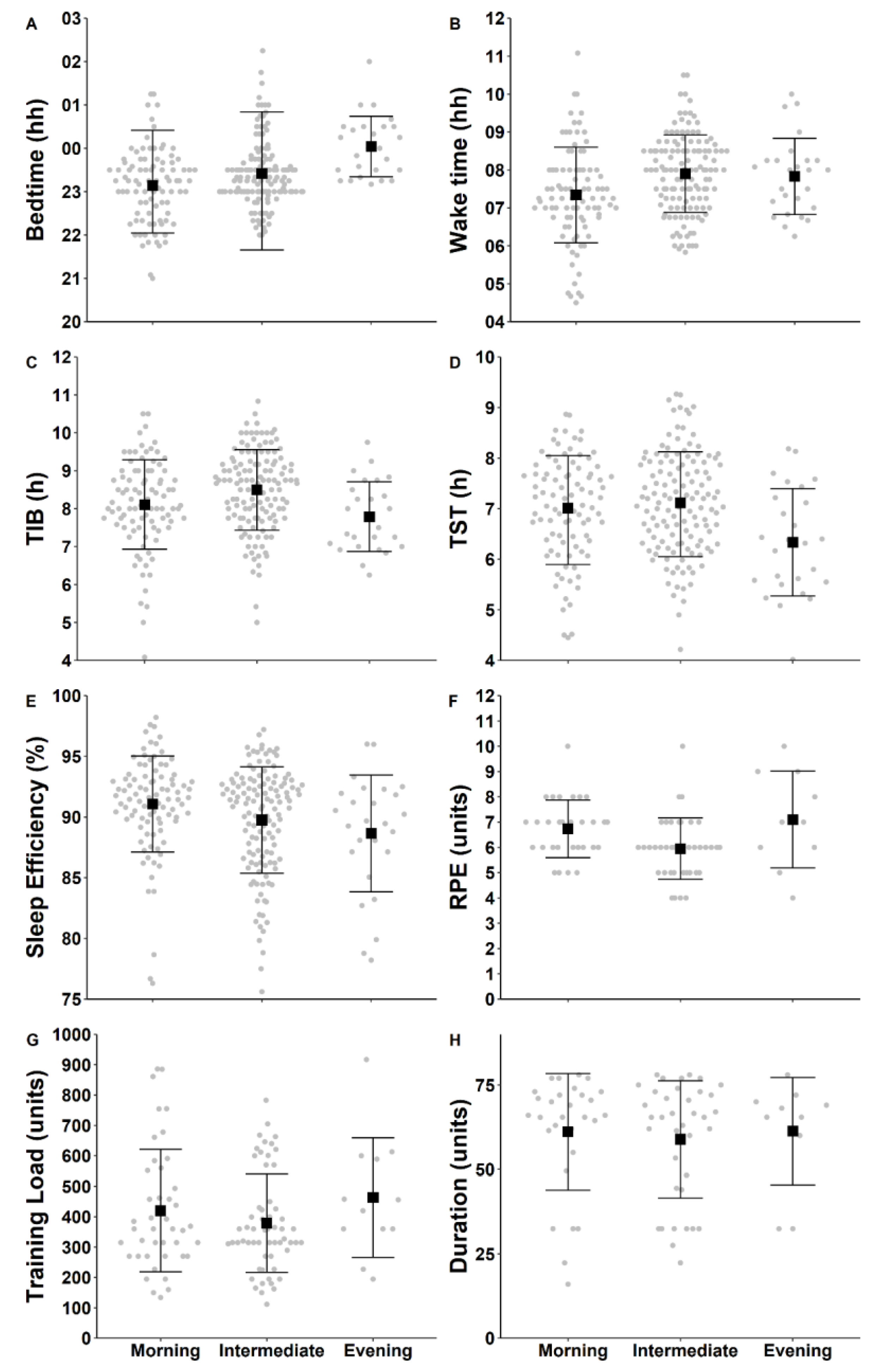
2. Results
3. Discussion
Practical Implications
4. Methods & Materials
4.1. Participants
4.2. Design
4.3. Sleep Assessment
- Bedtime (hh:mm): the self-reported clock time at which a participant went to bed to attempt to sleep.
- Get-up Time (hh:mm): the self-reported clock time at which a participant got out of bed and stopped attempting to sleep.
- Time in Bed (h): the amount of time spent in bed attempting to sleep between bedtime and get-up time.
- Total Sleep Time (h): the total amount of sleep obtained during a sleep period.
- Sleep Efficiency (%): the percentage of time in bed that was spent asleep.
4.4. Training Load Assessment
4.5. Chronotype (rMEQ)
4.6. Epworth Sleepiness Scale
4.7. Statistical Analyses
5. Conclusions
Author Contributions
Funding
Institutional Review Board Statement
Informed Consent Statement
Data Availability Statement
Acknowledgments
Conflicts of Interest
References
- Clarke, A.C.; Ryan, S.; Couvalias, G.; Dascombe, B.J.; Coutts, A.J.; Kempton, T. Physical demands and technical performance in Australian Football League Women’s (AFLW) competition match-play. J. Sci. Med. Sport 2018, 21, 748–752. [Google Scholar] [CrossRef]
- Roberts, S.S.H.; Teo, W.-P.; Warmington, S.A. Effects of training and competition on the sleep of elite athletes: A systematic review and meta-analysis. Br. J. Sports Med. 2019, 53, 513–522. [Google Scholar] [CrossRef] [Green Version]
- Roberts, S.S.; Falkenberg, E.; Stevens, A.; Aisbett, B.; Lastella, M.; Condo, D. The Sleep of Elite Australian Rules Footballers During Preseason: A Comparison of Men and Women. Int. J. Sports Physiol. Perform. 2021, 16, 641–646. [Google Scholar] [CrossRef] [PubMed]
- Lastella, M.; Roach, G.D.; Vincent, G.E.; Scanlan, A.T.; Halson, S.L.; Sargent, C. The Impact of Training Load on Sleep During a 14-Day Training Camp in Elite, Adolescent, Female Basketball Players. Int. J. Sports Physiol. Perform. 2020, 15, 724–730. [Google Scholar] [CrossRef] [PubMed]
- Sargent, C.; Halson, S.; Roach, G. Sleep or swim? Early-morning training severely restricts the amount of sleep obtained by elite swimmers. Eur. J. Sport Sci. 2014, 14, S310–S315. [Google Scholar] [CrossRef] [PubMed]
- Vitale, J.A.; Weydahl, A. Chronotype, physical activity, and sport performance: A systematic review. Sports Med. 2017, 47, 1859–1868. [Google Scholar] [CrossRef] [PubMed] [Green Version]
- Vitale, J.A.; Banfi, G.; Sias, M.; La Torre, A. Athletes’ rest-activity circadian rhythm differs in accordance with the sport discipline. Chronobiol. Int. 2019, 36, 578–586. [Google Scholar] [CrossRef] [PubMed]
- Lastella, M.; Roach, G.D.; Halson, S.L.; Sargent, C. The Chronotype of Elite Athletes. J. Hum. Kinet. 2016, 54, 219–225. [Google Scholar] [CrossRef] [PubMed] [Green Version]
- Thun, E.; Bjorvatn, B.; Flo, E.; Harris, A.; Pallesen, S. Sleep, circadian rhythms, and athletic performance. Sleep Med. Rev. 2015, 23, 1–9. [Google Scholar] [CrossRef]
- López-Samanes, Á.; Moreno-Pérez, D.; Maté-Muñoz, J.L.; Domínguez, R.; Pallarés, J.G.; Mora-Rodriguez, R.; Ortega, J.F. Circadian rhythm effect on physical tennis performance in trained male players. J. Sports Sci. 2017, 35, 2121–2128. [Google Scholar] [CrossRef]
- Kunorozva, L.; Roden, L.C.; Rae, D.E. Perception of effort in morning-type cyclists is lower when exercising in the morning. J. Sports Sci. 2014, 32, 917–925. [Google Scholar] [CrossRef] [PubMed]
- Rae, D.E.; Stephenson, K.J.; Roden, L.C. Factors to consider when assessing diurnal variation in sports performance: The influence of chronotype and habitual training time-of-day. Eur. J. Appl. Physiol. 2015, 115, 1339–1349. [Google Scholar] [CrossRef]
- Reilly, T.; Baxter, C. Influence of time of day on reactions to cycling at a fixed high intensity. Br. J. Sports Med. 1983, 17, 128–130. [Google Scholar] [CrossRef] [PubMed] [Green Version]
- Anderson, A.; Murray, G.; Herlihy, M.; Weiss, C.; King, J.; Hutchinson, E.; Ingram, K.K. Circadian effects on performance and effort in collegiate swimmers. J. Circadian Rhythm. 2018, 16, 1–9. [Google Scholar] [CrossRef] [PubMed]
- Facer-Childs, E.; Brandstaetter, R. The impact of circadian phenotype and time since awakening on diurnal performance in athletes. Curr. Biol. 2015, 25, 518–522. [Google Scholar] [CrossRef] [PubMed] [Green Version]
- Adan, A.; Almirall, H. Horne & Östberg morningness-eveningness questionnaire: A reduced scale. Personality and Individual differences. Personal. Individ. Differ. 1991, 12, 241–253. [Google Scholar]
- Ryan, R.; Bahnert, A.; McBrien, J.; Siegler, J.; Lovell, R. The effect of chronotype upon physical performance during Australian rules football matches scheduled in the morning, afternoon and evening. J. Aust. Strength Cond. 2015, 23, 101–104. [Google Scholar]
- Van Ryswyk, E.; Weeks, R.; Bandick, L.; O’Keefe, M.; Vakulin, A.; Catcheside, P.; Antic, N.A. A novel sleep optimisation programme to improve athletes’ well-being and performance. Eur. J. Sport Sci. 2017, 17, 144–151. [Google Scholar] [CrossRef]
- Mulè, A.; Galasso, L.; Castelli, L.; Condemi, V.; Bisconti, A.V.; Esposito, F.; Montaruli, A. Effect of chronotype on rating of perceived exertion in active young people. Sport Sci. Health 2020, 16, 331–336. [Google Scholar] [CrossRef]
- Foster, C.; Daines, E.; Hector, L.; Snyder, A.C.; Welsh, R. Athletic performance in relation to training load. Wis. Med. J. 1996, 95, 370. [Google Scholar]
- Crawford, D.A.; Drake, N.B.; Carper, M.J.; DeBlauw, J.; Heinrich, K.M. Validity, reliability, and application of the session-RPE method for quantifying training loads during high intensity functional training. Sports 2018, 6, 84. [Google Scholar] [CrossRef] [PubMed] [Green Version]
- Kosmadopoulos, A.; Darwent, D.; Roach, G.D. Is it on? An algorithm for discerning wrist-accelerometer non-wear times from sleep/wake activity. Chronobiol. Int. 2016, 33, 599–603. [Google Scholar] [CrossRef] [PubMed]
- Weiss, A.R.; Johnson, N.L.; Berger, N.A.; Redline, S. Validity of activity-based devices to estimate sleep. J. Clin. Sleep Med. 2010, 6, 336–342. [Google Scholar] [CrossRef] [PubMed]
- Lastella, M.; Roach, G.D.; Halson, S.L.; Martin, D.T.; West, N.P.; Sargent, C. The impact of a simulated grand tour on sleep, mood, and well-being of competitive cyclists. J. Sports Med. Phys. Fit. 2015, 55, 1555–1564. [Google Scholar]
- Lastella, M.; Roach, G.D.; Halson, S.L.; Sargent, C. Sleep/wake behaviours of elite athletes from individual and team sports. Eur. J. Sport Sci. 2015, 15, 94–100. [Google Scholar] [CrossRef] [Green Version]
- Foster, C.; Florhaug, J.A.; Franklin, J.; Gottschall, L.; Hrovatin, L.A.; Parker, S.; Dodge, C. A new approach to monitoring exercise training. J. Strength Cond. Res. Natl. Strength Cond. Assoc. 2001, 15, 109. [Google Scholar]
- Chelminski, I.; Petros, T.V.; Plaud, J.J.; Ferraro, F.R. Psychometric properties of the reduced Horne and Ostberg questionnaire. Personal. Individ. Differ. 2000, 29, 469–478. [Google Scholar] [CrossRef]
- Caci, H.; Deschaux, O.; Adan, A.; Natale, V. Comparing three morningness scales: Age and gender effects, structure and cut-off criteria. Sleep Med. 2009, 10, 240–245. [Google Scholar] [CrossRef]
- Johns, M.W. A new method for measuring daytime sleepiness: The Epworth sleepiness scale. Sleep 1991, 14, 540–545. [Google Scholar] [CrossRef] [Green Version]

| Chronotype | Outcomes | ||||
|---|---|---|---|---|---|
| Variables | Morning | Intermediate | Evening^ | F (df) | p |
| Bedtime (hh:mm) | 23:38 ± 01:10 | 23:40 ± 01:36 | 00:01 ± 00:42 | 0.01 (1,25) | 0.98 |
| Wake Time (hh:mm) | 07:19 ± 01:16 | 07:53 ± 01:01 | 07:50 ± 01:00 | 4.72 (1,25) | 0.04 * |
| Time in Bed (h) | 8.1 ± 1.9 | 8.5 ± 1.1 | 7.8 ± 0.9 | 2.50 (1,25) | 0.13 |
| Total Sleep Time (h) | 7.0 ± 1.1 | 7.1 ± 1.0 | 6.4 ± 1.1 | 0.30 (1,25) | 0.58 |
| Sleep Efficiency (%) | 86.4 ± 4.0 | 83.5 ± 4.4 | 82.1 ± 4.8 | 1.12 (1,25) | 0.30 |
| Rating of Perceived Exertion (units) | 6.7 ± 1.1 | 5.9 ± 1.2 | 7.1 ± 1.9 | 6.91 (1,27) | 0.01 * |
| Training Duration (min) | 61.1 ± 17.3 | 58.9 ± 17.4 | 61.3 ± 15.9 | 0.27 (1,26) | 0.61 |
| Internal Training load (units) | 419.8 ± 201.3 | 378.7 ± 161.6 | 462.9 ± 196.5 | 1.02 (1,23) | 0.32 |
Publisher’s Note: MDPI stays neutral with regard to jurisdictional claims in published maps and institutional affiliations. |
© 2021 by the authors. Licensee MDPI, Basel, Switzerland. This article is an open access article distributed under the terms and conditions of the Creative Commons Attribution (CC BY) license (https://creativecommons.org/licenses/by/4.0/).
Share and Cite
Lastella, M.; Miller, D.J.; Quilelli, M.; Roberts, S.; Aisbett, B.; Condo, D. The Impact of Chronotype on the Sleep and Training Responses of Elite Female Australian Footballers. Clocks & Sleep 2021, 3, 528-535. https://doi.org/10.3390/clockssleep3040037
Lastella M, Miller DJ, Quilelli M, Roberts S, Aisbett B, Condo D. The Impact of Chronotype on the Sleep and Training Responses of Elite Female Australian Footballers. Clocks & Sleep. 2021; 3(4):528-535. https://doi.org/10.3390/clockssleep3040037
Chicago/Turabian StyleLastella, Michele, Dean J. Miller, Manuella Quilelli, Spencer Roberts, Brad Aisbett, and Dominique Condo. 2021. "The Impact of Chronotype on the Sleep and Training Responses of Elite Female Australian Footballers" Clocks & Sleep 3, no. 4: 528-535. https://doi.org/10.3390/clockssleep3040037
APA StyleLastella, M., Miller, D. J., Quilelli, M., Roberts, S., Aisbett, B., & Condo, D. (2021). The Impact of Chronotype on the Sleep and Training Responses of Elite Female Australian Footballers. Clocks & Sleep, 3(4), 528-535. https://doi.org/10.3390/clockssleep3040037

