Abstract
The formation of xerogels implies a sequence of hydrolysis and condensation reactions, which are intricate to analyze in heteromolecular sols. We analyze by probabilistic Montecarlo methods the development of hybrid organosilane–titania xerogels and illustrate how partial charges of the reacting molecules can help estimating relative probabilities for the condensation of the molecules. Since the condensation rate of Ti alkoxides is much higher than the corresponding rate of Si alkoxides (especially if bearing a non-hydrolizable group), by imposing a fast condensation process in agreement with low pH kinetics, the process leads to a surface segregation of the organosilane. The simulation results are compared with results of characterization of thin condensates of two different organosilanes within a titanium–isopropoxide matrix. Non-destructive in-depth profiles were obtained by hard x-ray photoelectron spectroscopy, which can resolve through estimation of Si and specific moieties of the organosilane molecules the progress of the condensation. These results are relevant for the generalization of chemo-functionalization processes by kinetic demixing of organosilanes, which have myriad applications in biomedicine and biotechnology.
1. Introduction
The sol–gel process is a generic chemical route for the synthesis of materials of different nature and in different configurations. Although the origin of the process refers to transformations of organic solutions (mainly sugar and protein sols) into solids, most scientific and technological reports on sol–gel refer to purely inorganic [1] or organic-inorganic [2] materials, depending on the precursor molecules and synthesis process. Most widely studied inorganic and hybrid sol–gel materials are based on alkoxides [3] and the conditions of reaction progress (solvents, temperature) and post processing treatments (thermal annealing [4] or plasma processes [5]) determine the final nature and microstructure. The final state of the material can be in particle form [6] (including nanoparticles [7,8]), as fibers [9], as monoliths [10], porous aerogels [11] or as thin film [12], depending especially on the selected kinetics (acid vs. basic) and the solvent evaporation speed. It is also eventually influenced by the sol dispersion method (spin-casting [13,14], injection [15], aerosol [16], extrusion [17], electrospinning [18], etc.). This versatility has derived into myriad applications of sol–gel materials, which span to the fields of electronics [13,19], optics [20], optoelectronics [21] including photovoltaics [22], protective [23] and decorative coatings [24], catalysis [25] and biomedicine and biotechnology [26,27]. One of the most attractive points of the previously extracted literature is that sol–gel synthesized materials are not homogeneous by nature, with the possibility to engineer compositional gradients [2], induce surface self-assembly [6] and thus promote surface functionalization [23].
Functionalizing the surface of materials is a recurrent method to provide additional properties to a material. The surface modification can for instance passivate the surface to prevent corrosion, add catalytic properties through nanoparticles or incorporate key chemical moieties towards adhesion of the material. Although these are only examples, they represent well the three categories of surface functionalization processes: promoting inertness [28], incorporating new physicochemical properties [29] or activating interactions and chemical reactions with defined moieties [30]. For the latter categorization, the incorporation of desired chemical groups on a materials surface is an essential step, especially for new applications of advanced materials in the biomedical and biotechnological sectors [31,32,33]. The fate of the surface when interfaced in-vitro or in-vivo with biomolecules will be determined by the surface chemical moieties (together with micro or nano-scale topography, if existing) [34,35]. Implications span from implantable biomaterials [36,37], through biosensors [38,39] to the surfaces of biomedical microfluidic devices [40], drug delivery [41,42] and bioreactors [43,44].
The technological value and the optimization of the engineering of sol–gel materials have pushed forward the simulation of different molecular processes in sol–gel condensation [45]. Excluding atomistic studies, which are relatively independent of the processing method, simulations of sol–gel materials are often related to surface properties or surface derived phenomena. One of the most recurrent is the formation of pores [46], but simulations describe also the presence of ordered structures [47], hierarchy between different integrating fractions [48], the reconfiguration of bioglass surfaces during body fluid testing [49], or the ability of molecules to template final microstructures [50]. Montecarlo simulations have emerged among the different simulation techniques as a valuable approach to explain experimentally observed order phenomena [51] with the possibility of making dynamic pictures of the process [48,52].
In the present work we aim at describing through Montecarlo simulations the surface segregation by kinetic demixing taking place in hybrid organosilane/Ti-alkoxide (OrgSil/Ti-alk) xerogels. This surface segregation has been in fact used previously to activate antibody immobilization in biosensors [53,54] or DNA in micro-arrays [55], to study the adsorption of viral capsids [56] and condition cell-adhesion [57]. To compare the simulations with experiments, we propose the determination of in-depth concentration profiles of the OrgSil/Ti-alk condensates through hard x-ray photoelectron spectroscopy, a non-destructive technique allowing the description of gradients of matter in the range of tens of nanometers [58,59], a scale matching perfectly the typical thickness of the OrgSil/Ti-alk functionalization layers.
2. Materials and Methods
2.1. Simulations and Background
Dynamic simulations were performed on thin slabs of sols containing two types of molecules (OrgSil vs. Ti-alk). The relative concentration between the two different molecules (Cr) was a simulation parameter with cotes defined by the typical experimental stoichiometric range (1:10 to 1:50 OrgSil:Ti-alk). We considered a condensation process progressing from bottom to top since last solvent molecules evaporate from the top surface in spin-casting processes. The probability of condensation of the three hydrolysable bonds of OrgSil’s and of the four bonds of the Ti-alk were considered to be identical within the same molecule. This consideration is justified by the symmetry of the individual molecules, although this is not strictly correct due to the molecular environment during the condensation process. The probability of condensation of the OrgSil was considered to be relative to the condensation of the Ti-alk (pr). The hydrolysis and condensation dynamics and kinetics of alkoxides are known to be driven by partial charges [60]. This partial charges have been estimated using the Pauling scale of electronegativity and take typical values of +0.6 for Ti-alks and +0.2 for OrgSils [61]. We considered thus that the relative probability of condensation of the two molecules can be a good indicator of the relative condensation speed. To consider realistic relative condensation speeds, we considered an exponential dependence of the partial charge in the condensation probability. The relative condensation probability was thus monitored from 1:25 to 1:200 for OrgSil:Ti-alk.
We performed in this way routines of condensation running from molecules at the bottom to molecules on the top. The flow chart of the algorithm is presented in Figure 1. The algorithm takes into account a total number of molecules (No), which are distributed into OrgSils (N(Si)) or Ti-Alks (N(Ti)) according to the relative concentration input (Cr). The routine considers that the condensation of an OrgSil or a Ti-alk can take place at a certain plane position ((x,y)) according to a factor (K(Si) or K(Ti)) proportional to the remaining number of molecules of each type and their corresponding condensation probability. At each x,y position there could be a condensation of an OrgSil, of a Ti-alk, or no condensation at all, depending on how the K(Si) and K(Ti) factors compare with random numbers. In this sense, the z coordinate evolves independently for each plane position, in a similar approach to those used for simulating roughness and porogenesis [51]. For each x,y position, the z coordinate is considered prior to the evaluation of the condensation as the minimum z that remains vacant for that x,y coordinate. Routines in x,y coordinates continue if there are molecules in the solution. Consequently, the final thickness of the condensed slab was not homogeneous with a vertical step difference depending on the stoichiometric and relative condensation probability.
Figure 1.
Basic flowchart describing the random process for the simulation of the condensation process of OrgSil/Ti-alk hybrids.
2.2. Preparation of Organosilanized Titanate Films
Organosilanized surfaces were prepared on 2 × 2 cm2 one side polished Si wafers (p-type, (100) orientation, ITME) after sequential trichloroethylene, acetone, and ethanol cleaning and drying in N2. The OrgSil/Ti-alk condensate films were prepared with titanium–isopropoxide (TIPT, 98% Sigma Aldrich, Alcobendas, Spain) and two different OrgSils: aminophenyl-trimethoxy-silane (APhTS, 98% Sigma Aldrich, Alcobendas, Spain), bearing an aminophenyl polar group as non-hydrolysable moiety and, perfluorodecyl-trimethoxy-silane (PFDS, 98% Sigma Aldrich, Alcobendas, Spain), which bears an apolar group. Figure 2 shows the structure of the Ti-alk and the two OrgSils.
Figure 2.
Molecular structure of titanium–isopropoxide (TIPT) (a) aminophenyl-trimethoxy-silane (APhTS) (b) and perfluorodecyl-trimethoxy-silane (PFDS) (c) (courtesy of PubChem).
For each one of the OrgSils considered, the reactive sols consisted of equal-volume mixtures from the following two solutions: (1) a TIPT solution in ethanol (absolute, 99.8%, Sigma Aldrich) at 0.4 M, pH of 1.27 fixed with HCl (37%, Sigma Aldrich) and TIPT/water molar ratio of 0.82 [16], and (2) an OrgSil solution in ethanol at 0.01 M (APhTS or PFDS) [56]. These sols were spin casted on Si wafer pieces by dropping 50 µL during substrate spinning at 2000 rpm under N2 flow (Laurell Technologies, North Wales, PA, USA). The condensation evolves in a few seconds and is visible to the eye, as interference fringes emerge due to the progressive diminution of thickness of the condensing sol.
2.3. Surface and Interface Characterization
To estimate the thickness and organic content of the layers, ellipsometry was done over the samples with a M2000 Spectroscopic Ellipsometer (JAWoollam, Lincoln, NE, USA). The ellipsometry was performed in the 250–1500 nm spectral range at 70° with respect to the surface normal. To infer the values of thickness and organic content of the hybrid film from ellipsometric data, an effective medium approximation model was used with TiO2 and polycarbonate reference phases.
Conventional x-ray photoelectron spectroscopy (XPS) measurements were performed in an ultrahigh vacuum (UHV) chamber with a base pressure of 1 × 10−7 Pa equipped with a hemispherical analyzer and a non-monochromatic Mg-Kα x-ray source. The data were analyzed after removal of the Mg Kα satellite lines. Hard x-ray photoelectron spectroscopy measurements were performed at the BM-25 SpLine beamline of The European Synchrotron, Grenoble, France [59]. The experimental set-up includes a high electron kinetic energy analyzer working from a few eV up to 15 keV [62]. All data were analyzed using CasaXPS software after subtraction of a Shirley baseline, correcting charge shifts referencing to the alkane C 1s peak at a binding energy (BE) of 285.0 eV and determining chemical contributions through Gaussian/Lorentzian peak fitting.
3. Results and Discussion
3.1. Montecarlo Simulations
The Montecarlo code was run with different input parameters and total numbers of molecules resembling a final xerogel of a virtual thickness of 100 nm. The two main parameters that were modified were the relative concentration OrgSil:Ti-alk (Cr) and the relative probability of condensation (pc). The output simulation file consisted of a list of two types of nucleating atoms (Ti vs. Si) with their corresponding coordinates in the slab. Figure 3a shows the in-depth distribution of Si atoms normalized by the Ti distribution for three different relative condensation probabilities for a fixed OrgSil:Ti-alk with relative concentration of 1:40. The distribution shows the efficiency of the selected parameters to induce a segregation from the original random distribution of molecules, showing almost no Si atoms at the interface with the substrate (0 nm) and an almost monotonous growth until the surface is reached (100 nm). The reported conditions clearly illustrate that although the reduction of the relative probability leads to an overall increase in the segregation efficiency, the rate of improvement is worse each time the relative probability is reduced by a fixed factor. Looking at the values at the surface of the slab at 100 nm, the first reduction of the relative probability by a factor of 2 (from 1:50 to 1:100) increases the relative surface Si content by a factor of circa 3. Meanwhile, a second reduction of this parameter by the same factor (from 1:100 to 1:200) leads to an increase of the relative concentration of Si of only 1/3 of the previous relative concentration. This effect of the relative probability in the final gradients underlines the relevance of this parameter in the progress of the reaction. This suggests an influence of the relative probability in the chemical potential of the system. In other words, the relative probability can be considered to be linked to the way the molecular interactions between OrgSils and Ti-Alks evolve leading to condensation.
Figure 3.
Plot of Si to Ti concentration ([Si]/[Ti]) obtained from simulations for: (a) a fixed relative concentration of 1:40 (OrgSil:Ti-alk) and different relative condensation probabilities (OrgSil:Ti-alk) and, (b) a fixed relative condensation probability of 1:100 (OrgSil:Ti-alk) and different relative concentrations (OrgSil:Ti-alk).
Figure 3b shows the in-depth distribution of Si atoms normalized by the Ti distribution for three different OrgSil:Ti-alk relative concentrations and a fixed relative condensation probability of 1:100 (OrgSil:Ti-alk). The charts confirm the trends observed in the previous figure with a clear monotonous growth of the Si concentration towards the surface (100 nm on top of the interface with the substrate). An increase of the OrgSil in the original molecular mixture induces a clear increase of the surface concentration of Si on the surface. In this second case, the trend follows a proportional rate. By doubling the initial relative concentration of the OrgSil one obtains a doubled relative Si concentration on the surface. This effect can be understood in a diluted system, but should require a modification of the criteria considered for the condensation when the concentration of the OrgSil becomes comparable with that of the Ti-alk. In that environment, the condensation probability of the OrgSil shall be even lower taking into account not only the partial charge of the molecule, but additional chemical environment conditions.
In overall, the simulations show that the critical parameter determining the evolution of the segregation is the relative condensation probability, which is linked to the reactivity of the system. The effect of concentration appears as something easier to predict following a proportionality rule within the typical experimental conditions for the hybrid system. The curves show that at the interface with the substrate, the probability of finding a Si atom is much lower than the expected from a proportional condensation of the silane according to stoichiometry. Inversely, on the surface one can find a concentration of Si atoms that exceeds considerably the expected from its original concentration in the sol.
3.2. Optical Analysis
A condensed film of APhTS/TIPT deposited on Si was analyzed by ellipsometry, a reputed technique for the characterization of heterogeneous optical media. Figure 4 shows the dependence of the ellipsometric parameters Psi and Delta for different wavelengths of the white incident light. After abrupt changes within the ultra-violet (UV) and visible range (close to 500 nm) the two functions vary monotonically and smoothly within the remaining visible range and the near infrared range. Such optical behavior has been fitted according to a three layer model consisting of a Si substrate (including a native oxide layer), an interface layer of a titania-organic hybrid of 77 nm thickness and a gradient organic layer of 23 nm on the surface (see schematic of the model in the inset of Figure 4). The best fit to both Psi and Delta functions (shown with a dotted line in Figure 4) shows a very good agreement, with deviations only visible at points with a high variation of the derivative of these functions. Relevantly, the gradient organic layer representing only circa 25% of the total layered system, could improve the overall mean standard error of the fitting by 10% with respect to the fitting with a sharp organic layer. This optical analysis suggests that there is a segregation layer on top of the condensed film, but provides only indirect information of the stoichiometric arrangement within that film.
Figure 4.
Ellipsometric analysis of an APhTS/TIPT condensed film obtained from sols with relative concentration of 1:40 (OrgSil:Ti-alk). Continuous lines correspond to the Psi and Delta ellipsometric parameters and dotted lines correspond to the model, with fitted thickness illustrated in the inset structure.
3.3. XPS Analysis
To obtain an experimental evidence of the molecular arrangement between OrgSils and Ti-alk, we performed a surface analysis by XPS on two OrgSil systems with different non-hydrolysable groups. Figure 5a shows the widescan spectrum from an APhTS/TIPT xerogel film prepared from 1:40 sols. The widescan allows identifying surface elementary composition, which consisted of dominant C and O species (circa 40% each), Ti (13%) and then N, Si and Cl with 2–3% composition for each (see inset table to Figure 5a for detailed composition). The first relevant observation from this stoichiometry stems from the evaluation of the concentration of Si relative to Ti ([Si]/[Ti]). The obtained value of 0.15 exceeds enormously the value of the starting sol (0.025). We underline the robustness of this estimation by two factors: (a) even though the substrate is Si, no signal can be expected from the substrate since the estimated thickness (100 nm) exceeds the expected electron mean free path and, (b) the same estimation can be made by considering the concentration of N linked to the aminophenyl group in APhTS.
Figure 5.
Conventional XPS analysis of an APhTS/TIPT condensed film. (a) Survey spectrum with details of surface elements and stoichiometry. (b) Characteristic N 1s core level and (c) Si 2p core level.
Figure 5b,c shows the N 1s and Si 2p core-level spectra for the APhTS/TIPT film, respectively. The N 1s peak could be fitted with two contributions stemming from protonated and non-protonated amino species at 402.2 and 400.4 eV, respectively. The Si 2p peak shows a clear mono-component (neglecting the spin orbit splitting, generally not considered at low Si concentrations) at 102.4 eV, clearly related to the Si(O-R)3 bonds of the OrgSil present on the surface, which confirms that there is no contribution to the Si peak from the bulk Si of the substrate. Remarkably, there is either no trace of a fully developed SiO2 network (identified by chemical shift up to 103.5 eV), which are characteristic of OrgSil structures. These results of surface characterization (i.e., relative to a thickness of less than 10 nm) demonstrate the presence of segregated OrgSil species but lack of an interface (in depth) picture of the segregation phenomenon.
The analysis of PFDS/TIPT hybrid xerogel films showed analogue results to those described for APhTS/TIPT as derived from the information in Figure 6a–c. The relative surface concentration of Si with respect to Ti was 0.38, showing an even more drastic segregation of this OrgSil. The surface composition is drastically reduced in Cl, which suggests that incorporation in APhTS/TIPT xerogels is favored by the presence of the protonated amines (Figure 6a). The incorporation of F to the film is un-doubtful, from both the widescan and the core-level spectra. The widescan spectrum allows estimating a relative concentration with respect to Ti of circa 1, which confirms the presence of more F than Si atoms from the molecular structure of PFDS (although the F/Si ratio does not reach the stoichiometric value of the molecule). The analysis of the F 1s core level shows a clear mono-component peak centered at 689 eV, characteristic of the perfluoro group (Figure 6b). The characteristic Si 2p core-level peak shows extreme resemblance with the one relative to the previous OrgSil/Ti-alk xerogel, exhibiting a single mono-component peak at 102.4 eV (Figure 6c). In overall, the XPS characterization confirms that the segregation phenomenon of the OrgSils within condensing TIPT is generic. This is relevant in view of the different nature of the groups in the two considered OrgSils. These differences may have an implication in the final conformation of the organic groups (i.e., surface exposed vs. buried) but imply no difference in their trend to condense on top of the OrgSil/Ti-alk xerogel films.
Figure 6.
Conventional XPS analysis of a PFDS/TIPT condensed film. (a) Survey spectrum with details of surface elements and stoichiometry. (b) Characteristic F 1s core level and (c) Si 2p core level.
3.4. HAXPES Analysis
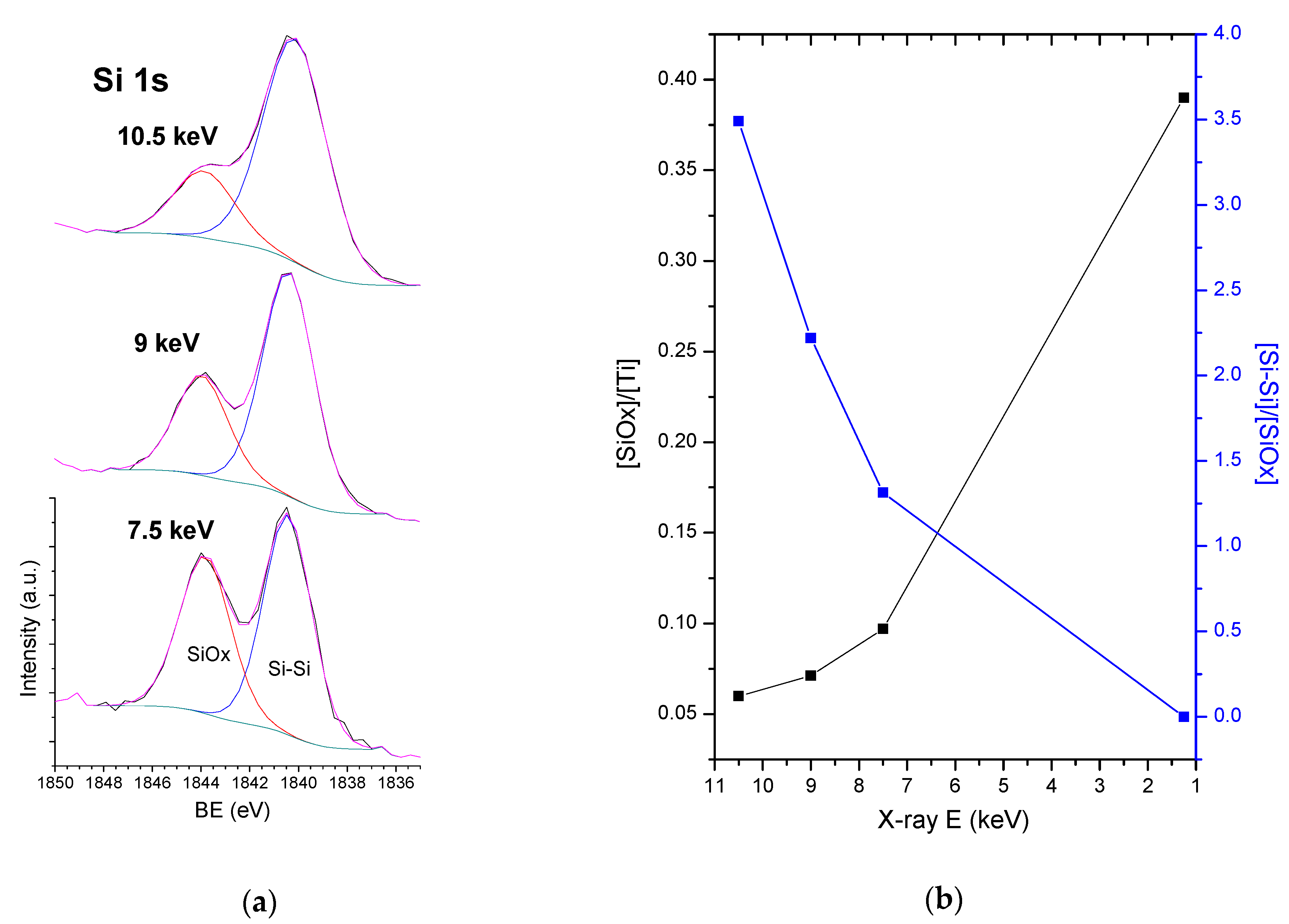
A non-destructive in-depth analysis of the film was performed by using HAXPES on the two considered OrgSil/Ti-alk hybrid films. The spectra were obtained at three increasing energies allowing the probing of increasing depths of the condensed xerogel films. Figure 7a shows the Si 1s core-level spectra obtained from the surfaces of APhTS/TIPT films at energies from 7.5 to 10.5 keV. It is relevant that, in contrast to what observed on the XPS analysis, two contributions can be observed in the spectra. These correspond to a Si-Si component at 1841 eV and a SiOx component at 1844 eV [63]. The evolution of the relative intensity of these two contributions (illustrated in the right axis plot of Figure 7b) clearly illustrates that the Si-Si component tends to disappear when the analysis concentrates on the surface (i.e., at lower x-ray excitation energy). Note inclusion of data in Figure 7b from XPS experiments performed with conventional x-ray excitation (circa 1.25 keV). The presence of these two components clearly illustrates the ideal conditions to analyze the whole film in-depth, bearing a signal that monitors the presence of the underlying substrate (Si-Si peak at 1841 eV) and the second one that monitors the OrgSil (SiOx peak at 1844 eV). To illustrate the in-depth distribution of the OrgSil, we analyzed the aforementioned SiOx component in parallel with the Ti composition.
Figure 7.
HAXPES analysis of an APhTS/TIPT condensed film. (a) Experimental and fitted spectra of the Si 1s peak obtained at 7.5, 9.0 and 10.5 x-ray beam energy (from bottom to top). (b) Evolution of [SiOx]/[Ti] and [Si-Si]/[SiOx] as a function of x-ray beam energy. Note inclusion of additional data from conventional XPS analysis.
The derived [SiOx]/[Ti] plots are presented in the left axis of Figure 7b. The plot as a function of decreasing x-ray excitation energy (increasing substrate to surface distance) illustrates that the OrgSil tracing signal increases monotonically from the substrate to the surface. This is a clear experimental evidence of the segregation process through a stoichiometric determination.
A parallel HAXPES analysis was performed on the PFDS/TIPT xerogel films. The analysis of the Si 1s spectra of the xerogels at different x-ray excitation energies (7.5–10.5 keV) lead to an analogue conclusion; the selected range of x-ray excitation energies allows monitoring the state of the film until the substrate (Figure 8a). In this case, the Si-Si component was dominant over the SiOx component. This illustrates clearly a reduction of the total thickness of the PFDS/TIPT film with respect to the APhTS/TIPT film, which may stem from differences in the viscosity of the sols and determines the retention of the sol and its final condensation. Irrespectively of this difference, the trend of the relative intensity between the two Si 1s components was analogue to the described for the APhTS/TIPT film, with an increasing intensity of the SiOx component, characteristic of the OrgSil, at lower x-ray excitation energy. The trend, including the data from the conventional XPS analysis can be observed in the right axis of the plot in Figure 8b. The data of the trend of SiOx trace with respect to the substrate was complemented with the analysis of the trend of the SiOx trace with respect to the Ti matrix. Again in this case the trace of the OrgSil was observed to increase monotonically from the substrate to the surface of the film (left axis, Figure 8b), confirming through an in-depth stoichiometric analysis the surface segregation of the OrgSil.
Figure 8.
HAXPES analysis of a PFDS/TIPT xerogel film. (a) Experimental and fitted spectra of the Si 1s peak obtained at 7.5, 9.0 and 10.5 x-ray beam energy (from bottom to top). (b) Evolution of [SiOx]/[Ti] and [Si-Si]/[SiOx] as a function of x-ray beam energy. Note inclusion of additional data from conventional XPS analysis.
To add a piece of evidence to the parallelism of the segregation process of the two OrgSils, irrespective of the nature of the organic moiety, the trend of the characteristic element of the organic moiety (N for APhTS and F for PFDS) was monitored relative to the trend of the main matrix element (Ti).
The results are presented in Figure 9 and show that despite the different absolute stoichiometry, the trend of [N]/[Ti] and [F]/[Ti] are similar, with a pronounced monotonic increment of the functional group towards the film surface. This latter information confirms again that the segregation process may be considered generic for trialkoxi OrgSils, which may be exploited for a wide range of chemical functionalizations of materials, provided that they show some interface affinity with the Ti-alk matrix. These results further confirm that the OrgSils transformation affect almost exclusively the hydrolysable methoxi groups. Meanwhile, the non-hydrolysable bonding between the core Si atom in the OrgSils molecules and the first C atom of the functional group remain strongly linked, ensuring the transfer of the organic functionality to the films surface.
Figure 9.
Evolution of [N]/[Ti] for APhTS/TIPT (right) and [F]/[Ti] for PFDS/TIPT (left) as a function of x-ray beam energy. Note inclusion of additional data from conventional XPS analysis.
4. Conclusions
The present report shows on the one hand that the condensation of hybrid OrgSil/Ti-alk xerogel films leads to a segregation process that remarkably increases the final concentration of the OrgSil on the surface of the film with respect to its original concentration in the precursor sol. This main experimental conclusion is supported by in-depth stoichiometric analyses performed by non-destructive HAXPES measurements. We show on the second hand that the segregation process can be simulated by a Montecarlo approach that considers two main variables: the relative concentration of the OrgSil with respect to the Ti-alk and the relative probability of condensation between the two molecules. We show that the relative condensation probability is a determinant parameter that could be used to predict a change of the chemical potential of the system. Meanwhile, the behavior of the condensation for different concentrations can be, more or less predicted, from simulations at concentrations related linearly by a known factor.
The two selected OrgSils bear different moieties (aminophenyl vs. perfluorodecyl), which implies strongly different behavior as functional groups. However, these groups do not apparently influence the segregation during hybrid condensation of the xerogels. A comparison of the experimental and simulation profiles cannot be performed straightforwardly. However, it can be pointed out that by looking to the surface [Si]/[Ti] values (obtained by conventional XPS), the condensation of the APhTS hybrid fits better the simulations obtained for a relative condensation probability of 1:50. Meanwhile, the results for the PFDS hybrids show a higher segregation efficiency, which can be linked to a relative condensation probability of approximately 1:80 (see simulation outputs for relative concentrations of 1:40 in Figure 3a).
Finally, we underline that neither the experiments, nor the simulations shed light on the final conformation of the organic groups on the surface. Ideally, those groups should point out of the surface to facilitate the chemical reactions they were selected for. Further research is necessary to predict the final surface or bulk orientation of the functional groups as a function of their hydrophilic/hydrophobic nature, the solvent during condensation, and the nature of the condensing matrix.
Author Contributions
Conceptualization, M.M.S.; methodology, J.M.M. and J.R.Z.; software, J.M.M. and R.C.M.; validation, M.M.S. and J.R.Z.; formal analysis, M.M.S. and R.C.M.; investigation, M.M.S., S.P.Y. and J.R.Z.; resources, M.M.S. and J.R.Z.; data curation, M.M.S., R.C.M. and J.R.Z.; writing—original draft preparation, M.M.S.; writing—review and editing, M.M.S. and J.R.Z.; visualization, M.M.S.; supervision, M.M.S. and J.R.Z.; project administration, M.M.S. and J.R.Z.; funding acquisition, M.M.S. and J.R.Z. All authors have read and agreed to the published version of the manuscript.
Funding
We acknowledge the Spanish “Ministerio de Ciencia e Innovación” and “Consejo Superior de Investigaciones Científicas” for financial support and for provision of synchrotron radiation facilities in ESRF 25B Beamline (SpLine) through 25-02-931 beamtime project. Materials and additional characterization were funded by Ministerio de Economía y Competitividad (Spanish Government) through project SPECTRASENSE, RTC-2017-6311-1. Rodrigo Calvo Membibre thanks funding of his training from Dirección General de Investigación (Madrid Regional Government) through project IND2019/IND-17155.
Conflicts of Interest
The authors declare no conflict of interest.
References
- Aksay, I.A. Molecular and colloidal engineering of ceramics. Ceram. Int. 1991, 17, 267–274. [Google Scholar] [CrossRef]
- Sakka, S. The current state of sol-gel technology. J. Sol Gel Sci. Technol. 1994, 3, 69–81. [Google Scholar] [CrossRef]
- Messing, G.L.; Minehan, W.T. Synthesis of Ceramic Powders from Metal Alkoxides. J. Ceram. Soc. Jpn. 1991, 99, 1036–1046. [Google Scholar] [CrossRef]
- Kobayashi, Y.; Ishizaka, T.; Kurokawa, Y. Preparation of alumina films by the sol-gel method. J. Mater. Sci. 2005, 40, 263–283. [Google Scholar] [CrossRef]
- Ramadan, R.; Simiz, J.G.; Ynsa, M.D.; Silvan, M.M. Microwave plasma annealing of sol-gel deposited tantalum oxide and zinc oxide films. Vacuum 2018, 149, 336–342. [Google Scholar] [CrossRef]
- Sanchez, C.; Soler-Illia, G.; Ribot, F.; Grosso, D. Design of functional nano-structured materials through the use of controlled hybrid organic-inorganic interfaces. Comptes Rendus Chim. 2003, 6, 1131–1151. [Google Scholar] [CrossRef]
- Niederberger, M.; Garnweitner, G. Organic Reaction Pathways in the Nonaqueous Synthesis of Metal Oxide Nanoparticles. Chem. A Eur. J. 2006, 12, 7282–7302. [Google Scholar] [CrossRef]
- Parashar, M.; Shukla, V.K.; Singh, R. Metal oxides nanoparticles via sol-gel method: A review on synthesis, characterization and applications. J. Mater. Sci. Mater. Electron. 2020, 31, 3729–3749. [Google Scholar] [CrossRef]
- Sakka, S.; Yoko, T. Fibers from gels. J. Non Cryst. Solids 1992, 147, 394–403. [Google Scholar] [CrossRef]
- Kirkbir, F.; Murata, H.; Meyers, D.; Chaudhuri, S.R.; Sarkar, A. Drying and sintering of sol-gel derived large SiO2 monoliths. J. Sol Gel Sci. Technol. 1996, 6, 203–217. [Google Scholar] [CrossRef]
- Barton, T.J.; Bull, L.M.; Klemperer, W.G.; Loy, D.A.; McEnaney, B.; Misono, M.; Monson, P.A.; Pez, G.; Scherer, G.W.; Vartuli, J.C.; et al. Tailored Porous Materials. Chem. Mater. 1999, 11, 2633–2656. [Google Scholar] [CrossRef]
- Brinker, C.J.; Hurd, A.J.; Schunk, P.R.; Frye, G.C.; Ashley, C.S. Review of sol-gel thin-film formation. J. Non Cryst. Solids 1992, 147, 424–436. [Google Scholar] [CrossRef]
- Kim, S.J.; Yoon, S.; Kim, H.J. Review of solution-processed oxide thin-film transistors. Jpn. J. Appl. Phys. 2014, 53, 10. [Google Scholar] [CrossRef]
- Manso-Silvan, A.; Fuentes-Cobas, L.; Martin-Palma, R.J.; Hernandez-Velez, M.; Martinez-Duart, J.M. BaTiO3 thin films obtained by sol-gel spin coating. Surf. Coat. Technol. 2002, 151, 118–121. [Google Scholar] [CrossRef]
- Russellfloyd, R.S.; Harris, B.; Jones, R.W.; Cooke, R.G.; Wang, T.H.; Laurie, J.; Hammett, F.W. Sol-gel processing of fiber-reinforced ceramic shapes. Br. Ceram. Trans. 1993, 92, 8–12. [Google Scholar]
- Langlet, M.; Jenouvrier, P.; Kim, A.; Manso, M.; Valdez, M.T. Functionality of aerosol-gel deposited TiO2 thin films processed at low temperature. J. Sol Gel Sci. Technol. 2003, 26, 759–763. [Google Scholar] [CrossRef]
- Kinadjian, N.; Depardieu, M.; Hillard, E.A.; Backov, R. Extrusion-based Integrative Chemistry: Generation and applications of inorganic fibers. Comptes Rendus Chim. 2016, 19, 674–683. [Google Scholar] [CrossRef]
- Rivero, P.J.; Urrutia, A.; Goicoechea, J.; Arregui, F.J. Nanomaterials for Functional Textiles and Fibers. Nanoscale Res. Lett. 2015, 10, 22. [Google Scholar] [CrossRef]
- Levy, D. Sol-gel glasses for optics and electro-optics. J. Non Cryst. Solids 1992, 147, 508–517. [Google Scholar] [CrossRef]
- Reisfeld, R.; Saraidarov, T. Innovative materials based on sol-gel technology. Opt. Mater. 2006, 28, 64–70. [Google Scholar] [CrossRef]
- Hodgson, S.N.B.; Weng, L. Chemical and sol-gel processing of tellurite glasses for optoelectronics. J. Mater. Sci. Mater. Electron. 2006, 17, 723–733. [Google Scholar] [CrossRef]
- Muller-Buschbaum, P.; Thelakkat, M.; Fassler, T.F.; Stutzmann, M. Hybrid Photovoltaics-from Fundamentals towards Application. Adv. Energy Mater. 2017, 7, 1700248. [Google Scholar] [CrossRef]
- Duran, A.; Castro, Y.; Aparicio, M.; Conde, A.; de Damborenea, J.J. Protection and surface modification of metals with sol-gel coatings. Int. Mater. Rev. 2007, 52, 175–192. [Google Scholar] [CrossRef]
- Schottner, G. Hybrid sol-gel-derived polymers: Applications of multifunctional materials. Chem. Mater. 2001, 13, 3422–3435. [Google Scholar] [CrossRef]
- Ward, D.A.; Ho, E.I. Preparing catalytic materials by the sol-gel method. Ind. Eng. Chem. Res. 1995, 34, 421–433. [Google Scholar] [CrossRef]
- Burns, A.; Ow, H.; Wiesner, U. Fluorescent core-shell silica nanoparticles: Towards “Lab on a Particle” architectures for nanobiotechnology. Chem. Soc. Rev. 2006, 35, 1028–1042. [Google Scholar] [CrossRef]
- Manso, M.; Langlet, M.; Fernandez, M.; Vazquez, L.; Martinez-Duart, J.M. Surface and interface analysis of hydroxyapatite/TiO2 biocompatible structures. Mater. Sci. Eng. C-Biomim. Supramol. Syst. 2003, 23, 451–454. [Google Scholar] [CrossRef]
- Metroke, T.L.; Parkhill, R.L.; Knobbe, E.T. Passivation of metal alloys using sol-gel-derived materials-a review. Prog. Org. Coat. 2001, 41, 233–238. [Google Scholar] [CrossRef]
- Yan, W.F.; Mahurin, S.M.; Overbury, S.H.; Dai, S. Nanoengineering catalyst supports via layer-by-layer surface functionalization. Top. Catal. 2006, 39, 199–212. [Google Scholar] [CrossRef]
- Baldan, A. Adhesively-bonded joints and repairs in metallic alloys, polymers and composite materials: Adhesives, adhesion theories and surface pretreatment. J. Mater. Sci. 2004, 39, 1–49. [Google Scholar] [CrossRef]
- Wong, J.Y.; Leach, J.B.; Brown, X.Q. Balance of chemistry, topography, and mechanics at the cell-biomaterial interface: Issues and challenges for assessing the role of substrate mechanics on cell response. Surf. Sci. 2004, 570, 119–133. [Google Scholar] [CrossRef]
- Mrksich, M. A surface chemistry approach to studying cell adhesion. Chem. Soc. Rev. 2000, 29, 267–273. [Google Scholar] [CrossRef]
- Sanchez-Vaquero, V.; Satriano, C.; Tejera-Sanchez, N.; Mendez, L.G.; Ruiz, J.P.G.; Silvan, M.M. Characterization and cytocompatibility of hybrid aminosilane-agarose hydrogel scaffolds. Biointerphases 2010, 5, 23–29. [Google Scholar] [CrossRef] [PubMed]
- Castner, D.G.; Ratner, B.D. Biomedical surface science: Foundations to frontiers. Surf. Sci. 2002, 500, 28–60. [Google Scholar] [CrossRef]
- Silvan, M.M.; Messina, G.M.L.; Montero, I.; Satriano, C.; Ruiz, J.P.G.; Marletta, G. Aminofunctionalization and sub-micrometer patterning on silicon through silane doped agarose hydrogels. J. Mater. Chem. 2009, 19, 5226–5233. [Google Scholar] [CrossRef]
- Zreiqat, H.; Evans, P.; Howlett, C.R. Effect of surface chemical modification of bioceramic on phenotype of human bone-derived cells. J. Biomed. Mater. Res. 1999, 44, 389–396. [Google Scholar] [CrossRef]
- Massia, S.P.; Holecko, M.M.; Ehteshami, G.R. In vitro assessment of bioactive coatings for neural implant applications. J. Biomed. Mater. Res. Part A 2004, 68, 177–186. [Google Scholar] [CrossRef]
- Arroyo-Hernandez, M.; Manso-Silvan, M.; Lopez-Elvira, E.; Munoz, A.; Climent, A.; Martinez Duart, J.M. One step processing of aminofunctionalized gate oxides. Biosens. Bioelectron. 2007, 22, 2786–2789. [Google Scholar] [CrossRef]
- Lata, S.; Piehler, J. Stable and functional immobilization of histidine-tagged proteins via multivalent chelator headgroups on a molecular poly(ethylene glycol) brush. Anal. Chem. 2005, 77, 1096–1105. [Google Scholar] [CrossRef]
- Zhang, Z.L.; Crozatier, C.; Le Berre, M.; Chen, Y. In situ bio-functionalization and cell adhesion in microfluidic devices. Microelectron. Eng. 2005, 78–79, 556–562. [Google Scholar] [CrossRef]
- Ahmed, A.; Bonner, C.; Desai, T.A. Bioadhesive Microde vices for Drug Delivery: A Feasibility Study. Biomed. Microdevices 2001, 3, 89–95. [Google Scholar] [CrossRef]
- Feng, S.S.; Mu, L.; Chen, B.H.; Pack, D. Polymeric nanospheres fabricated with natural emulsifiers for clinical administration of an anticancer drug paclitaxel (Taxol((R))). Mater. Sci. Eng. C-Biomim. Supramol. Syst. 2002, 20, 85–92. [Google Scholar] [CrossRef]
- Ndlovu, T.M.; Ward, A.C.; Glassey, J.; Eskildsen, J.; Akay, G. Bioprocess intensification of antibiotic production by Streptomyces coelicolor A3(2) in micro-porous culture. Mater. Sci. Eng. C-Mater. Biol. Appl. 2015, 49, 799–806. [Google Scholar] [CrossRef] [PubMed]
- Li, Y.; Luo, Y.F.; Xie, Z.; Xing, J.; Lin, M.P.; Yang, L.; Wang, Y.L.; Huang, K. The optimal combination of substrate chemistry with physiological fluid shear stress. Colloids Surf. B-Biointerfaces 2013, 112, 51–60. [Google Scholar] [CrossRef]
- Maximiano, P.; Duraes, L.; Simoes, P. Overview of Multiscale Molecular Modeling and Simulation of Silica Aerogels. Ind. Eng. Chem. Res. 2019, 58, 18905–18929. [Google Scholar] [CrossRef]
- Gelb, L.D. Modeling Amorphous Porous Materials and Confined Fluids. Mrs Bull. 2009, 34, 592–601. [Google Scholar] [CrossRef]
- Garofalini, S.H.; Martin, G. Molecular simulations of the polymerization of silicic-acid molecules and network formation. J. Phys. Chem. 1994, 98, 1311–1316. [Google Scholar] [CrossRef]
- Morales-Florez, V.; De La Rosa-Fox, N.; Pinero, M.; Esquivias, L. The cluster model: A simulation of the aerogel structure as a hierarchically-ordered arrangement of randomly packed spheres. J. Sol Gel Sci. Technol. 2005, 35, 203–210. [Google Scholar] [CrossRef]
- Tilocca, A. Models of structure, dynamics and reactivity of bioglasses: A review. J. Mater. Chem. 2010, 20, 6848–6858. [Google Scholar] [CrossRef]
- Azenha, M.; Szefczyk, B.; Loureiro, D.; Kathirvel, P.; Cordeiro, M.; Fernando-Silva, A. Computational and Experimental Study of the Effect of PEG in the Preparation of Damascenone-Imprinted Xerogels. Langmuir 2013, 29, 2024–2032. [Google Scholar] [CrossRef]
- Schumacher, C.; Gonzalez, J.; Wright, P.A.; Seaton, N.A. Generation of atomistic models of periodic mesoporous silica by kinetic Monte Carlo simulation of the synthesis of the material. J. Phys. Chem. B 2006, 110, 319–333. [Google Scholar] [CrossRef] [PubMed]
- Majd, M.T.; Bahlakeh, G.; Dehghani, A.; Ramezanzadeh, B.; Ramezanzadeh, M. A green complex film based on the extract of Persian Echium amoenum and zinc nitrate for mild steel protection in saline solution; Electrochemical and surface explorations besides dynamic simulation. J. Mol. Liq. 2019, 291. [Google Scholar] [CrossRef]
- Magdaleno, A.; Gordillo, N.; Pau, J.L.; Manso Silvan, M. A fibrinogen biosensing platform based on plasmonic Ga nanoparticles and aminosilane-titanate antibody trapping. Med. Devices Sens. 2020, 00, 10083. [Google Scholar] [CrossRef]
- Zhang, T.; Tian, B.Z.; Kong, J.L.; Yang, P.Y.; Liu, B.H. A sensitive mediator-free tyrosinase biosensor based on an inorganic-organic hybrid titania sol-gel matrix. Anal. Chim. Acta 2003, 489, 199–206. [Google Scholar] [CrossRef]
- Manso-Silvan, M.; Valsesia, A.; Hasiwa, M.; Rodriguez-Navas, C.; Gilliland, D.; Ceccone, G.; Garcia Ruiz, J.P.; Rossi, F. Micro-spot, UV and wetting patterning pathways for applications of biofunctional aminosilane-titanate coatings. Biomed. Microdevices 2007, 9, 287–294. [Google Scholar] [CrossRef]
- Moreno-Cerrada, D.; Rodriguez, C.; Moreno-Madrid, F.; Selivanovitch, E.; Douglas, T.; de Pablo, P.J.; Manso Silvan, M. Loading the dice: The orientation of virus-like particles adsorbed on titanate assisted organosilanized surfaces. Biointerphases 2019, 14. [Google Scholar] [CrossRef]
- Manso-Silvan, M.; Rodriguez-Navas, C.; Hernandez, M.A.; Lopez-Elvira, E.; Gago, R.; Vazquez, L.; Agullo-Rueda, F.; Climent, A.; Martinez-Duart, J.M.; Garcia-Ruiz, J.P. Hybrid titania-aminosilane platforms evaluated with human mesenchymal stem cells. J. Biomed. Mater. Res. Part B-Appl. Biomater. 2007, 83B, 232–239. [Google Scholar] [CrossRef]
- Benito, N.; Galindo, R.E.; Rubio-Zuazo, J.; Castro, G.R.; Palacio, C. High-and low-energy x-ray photoelectron techniques for compositional depth profiles: Destructive versus non-destructive methods. J. Phys. D Appl. Phys. 2013, 46. [Google Scholar] [CrossRef]
- Rubio-Zuazo, J.R.; Castro, G.R. Hard X-ray photoelectron spectroscopy (HAXPES) (<= 15 keV) at SpLine, the Spanish CRG beamline at the ESRF. Nucl. Instrum. Methods Phys. Res. Sect. A Accel. Spectrometers Detect. Assoc. Equip. 2005, 547, 64–72. [Google Scholar] [CrossRef]
- Bartlett, J.R.; Woolfrey, J.L. Preparation of multicomponent powders by alkoxide hydrolysis 1. Chemical processing. Chem. Mater. 1996, 8, 1167–1174. [Google Scholar] [CrossRef]
- Livage, J.; Henry, M.; Sanchez, C. Sol-gel chemistry of transition-metal oxides. Prog. Solid State Chem. 1988, 18, 259–341. [Google Scholar] [CrossRef]
- Rubio-Zuazo, J.; Escher, M.; Merkel, M.; Castro, G.R. High Voltage-Cylinder Sector Analyzer 300/15: A cylindrical sector analyzer for electron kinetic energies up to 15 keV. Rev. Sci. Instrum. 2010, 81. [Google Scholar] [CrossRef] [PubMed]
- Kitayama, S.; Fujiwara, H.; Gloskovsky, A.; Gorgoi, M.; Schaefers, F.; Felser, C.; Funabashi, G.; Yamaguchi, J.; Kimura, M.; Kuwahara, G.; et al. Photon Energy dependent Hard X-Ray Photoemission Spectroscopy of YbCu2Si2. J. Phys. Soc. Jpn. 2012, 81, 4. [Google Scholar] [CrossRef]
© 2020 by the authors. Licensee MDPI, Basel, Switzerland. This article is an open access article distributed under the terms and conditions of the Creative Commons Attribution (CC BY) license (http://creativecommons.org/licenses/by/4.0/).








