Smart Renting: Harnessing Urban Data with Statistical and Machine Learning Methods for Predicting Property Rental Prices from a Tenant’s Perspective
Abstract
1. Introduction
2. Literature Review
3. Materials and Methods
4. Results and Analysis
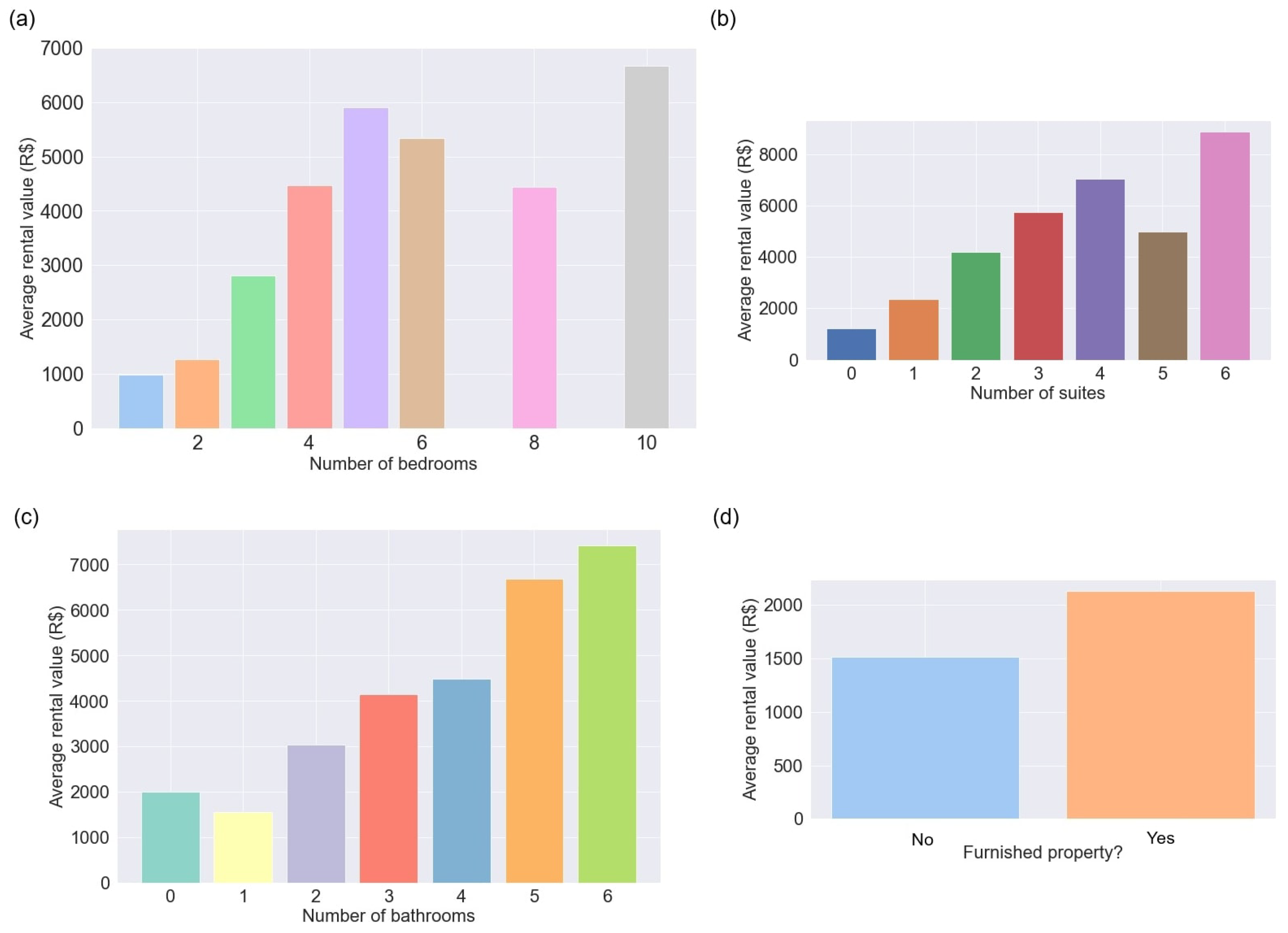
4.1. Exploratory Data Analysis
4.2. ML Models, Metrics, and Best Model
4.3. Statistical Analysis Using OLS
4.4. Website Creation and Operation
- Type: choose between “House” and “Apartment”;
- Bedrooms, Bathrooms, Garages, and Suites: the user can input the desired number or click the up and down arrows until the desired number is reached;
- Neighborhood: choose among all the displayed neighborhoods;
- Furnished: choose between “Yes” and “No”.
5. Conclusions
Author Contributions
Funding
Institutional Review Board Statement
Informed Consent Statement
Data Availability Statement
Acknowledgments
Conflicts of Interest
Abbreviations
| 3D | Three Dimensions |
| API | Application Programming Interface |
| COVID-19 | Corona Virus Disease 2019 |
| CSS | Cascading Style Sheets |
| EUA | United States of America |
| GAMLSSs | Generalized Additive Models for Location, Scale and Shape |
| HTML | HyperText Markup Language |
| HTTP | HyperText Transfer Protocol |
| IBGE | Brazilian Institute of Geography and Statistics |
| JS | JavaScript |
| KNNs | K-Nearest Neighbors |
| MAE | Mean Absolute Error |
| MSE | Mean Squared Error |
| OLS | Ordinary Least Squares |
| ReLU | Rectified Linear Unit |
| RMSE | Root Mean Squared Error |
| SP | São Paulo |
| SVM | Support Vector Machine |
| SVR | Support Vector Regression |
| UFSCar | Federal University of São Carlos |
| URL | Uniform Resource Locator |
| USP | University of São Paulo |
| XGBoost | Extreme Gradient Boosting |
| XML | Extensible Markup Language |
References
- Nunes, J.M.; Longo, O.C.; Alcoforado, L.F.; Pinto, G.O. Análise dos impactos da covid-19 no mercado imobiliário brasileiro. Res. Soc. Dev. 2020, 9, e46891211317. [Google Scholar] [CrossRef]
- Tolentino, E. Como o Avanço Tecnológico Impacta o Mercado Imobiliário. 2023. Available online: https://exame.com/bussola/como-o-avanco-tecnologico-impacta-o-mercado-imobiliario/ (accessed on 20 January 2025).
- Barr, J.R.; Ellis, E.A.; Kassab, A.; Redfearn, C.L.; Srinivasan, N.N.; Voris, K.B. Home price index: A machine learning methodology. Int. J. Semant. Comput. 2017, 11, 111–133. [Google Scholar] [CrossRef]
- Huang, Y. Predicting home value in California, United States via machine learning modeling. Stat. Optim. Inf. Comput. 2019, 7, 66–74. [Google Scholar] [CrossRef]
- Oike, V. Tendências do Mercado Imobiliário: O Que a Economia Nos Aponta? 2022. Available online: https://conteudos.quintoandar.com.br/tendencias-mercado-imobiliario-2023/ (accessed on 20 January 2025).
- Geltner, D.; MacGregor, B.D.; Schwann, G.M. Appraisal smoothing and price discovery in real estate markets. Urban Stud. 2003, 40, 1047–1064. [Google Scholar] [CrossRef]
- Ghysels, E.; Plazzi, A.; Valkanov, R.; Torous, W. Forecasting real estate prices. Handb. Econ. Forecast. 2013, 2, 509–580. [Google Scholar]
- Theurillat, T.; Rérat, P.; Crevoisier, O. The real estate markets: Players, institutions and territories. Urban Stud. 2015, 52, 1414–1433. [Google Scholar] [CrossRef]
- Salzman, D.; Zwinkels, R.C. Behavioral real estate. J. Real Estate Lit. 2017, 25, 77–106. [Google Scholar] [CrossRef]
- Rolnik, R.; Pereira, A.L.d.S.; Moreira, F.A.; Royer, L.d.O.; Iacovini, R.F.G.; Nisida, V.C. O Programa Minha Casa Minha Vida nas regiões metropolitanas de São Paulo e Campinas: Aspectos socioespaciais e segregação. Cad. Metrópole 2015, 17, 127–154. [Google Scholar] [CrossRef]
- Matos, T. A Expansão do Mercado Imobiliário no Brasil: Um Paralelo Entre a Evolução dos Preços no Mercado Brasileiro e a Bolha Imobiliária Norte-americana. Dissertation. Pontífera Univ. Católica Do Rio De Janeiro, Dep. De Ciências Econômicas, Rio De Janeiro. v.24. 2017. Available online: https://www.econ.puc-rio.br/uploads/adm/trabalhos/files/Thiago_Oliveira_Rio_Tinto_de_Matos.pdf (accessed on 20 January 2025).
- Chau, K.W.; Chin, T. A critical review of literature on the hedonic price model. Int. J. Hous. Sci. Its Appl. 2003, 27, 145–165. [Google Scholar]
- Herath, S.; Maier, G. The Hedonic Price Method in Real Estate and Housing Market Research: A Review of the Literature; Institute for Regional Development and Environment, University of Economics and Business: Vienna, Austria, 2010; pp. 1–21. [Google Scholar]
- Valier, A. Who performs better? AVMs vs hedonic models. J. Prop. Invest. Financ. 2020, 38, 213–225. [Google Scholar] [CrossRef]
- Čeh, M.; Kilibarda, M.; Lisec, A.; Bajat, B. Estimating the performance of random forest versus multiple regression for predicting prices of the apartments. ISPRS Int. J. Geo-Inf. 2018, 7, 168. [Google Scholar] [CrossRef]
- Fan, G.Z.; Ong, S.E.; Koh, H.C. Determinants of house price: A decision tree approach. Urban Stud. 2006, 43, 2301–2315. [Google Scholar] [CrossRef]
- Zulkifley, N.H.; Rahman, S.A.; Ubaidullah, N.H.; Ibrahim, I. House Price Prediction using a Machine Learning Model: A Survey of Literature. Int. J. Mod. Educ. Comput. Sci. 2020, 12, 46–54. [Google Scholar] [CrossRef]
- Estevam, A.C. Modelagem Estatística Para Análise de Dados Imobiliários Completos e Com Censura à Esquerda; Universidade Federal de São Carlos: São Carlos, Brazil, 2014. [Google Scholar]
- Ferreira, J.F.; Ferraudo, G.M.; Louzada-Neto, F. Inferência do Valor de Mercado de Lotes Urbanos. Estudo de Caso: Município de São Carlos, São Paulo, Brasil. Technical Report, Latin American Real Estate Society (LARES). 2008. Available online: https://ideas.repec.org/p/lre/wpaper/lares_2008_artigo003-ferreira.html (accessed on 20 January 2025).
- Geraldo, G.P. O Programa Minha Casa Minha Vida, o Mercado Imobiliário e o Direito à Cidade: Análise dos Impactos do Programa na Cidade de São Carlos-SP; Universidade Estadual Paulista, Instituto de Geociências e Ciências Exatas: Rio Claro, Brazil, 2014. [Google Scholar]
- Petrucelli Neto, G. A Influência das Universidades Públicas de São Carlos-SP na Dinâmica do Espaço Geográfico: A Importância da População Estudantil Para o Setor Imobiliário; Universidade Estadual Paulista (Unesp): Rio Claro, Brazil, 2011. [Google Scholar]
- Cardinali. 2023. Available online: https://www.cardinali.com.br/ (accessed on 20 January 2025).
- Chandra, R.V.; Varanasi, B.S. Python Requests Essentials; Packt Publishing Ltd.: Birmingham, UK, 2015. [Google Scholar]
- Richardson, L. Beautiful soup Documentation. 2007. Available online: https://readthedocs.org/projects/beautiful-soup-4/downloads/pdf/latest/ (accessed on 20 January 2025).
- Pedregosa, F.; Varoquaux, G.; Gramfort, A.; Michel, V.; Thirion, B.; Grisel, O.; Blondel, M.; Prettenhofer, P.; Weiss, R.; Dubourg, V.; et al. Scikit-learn: Machine learning in Python. J. Mach. Learn. Res. 2011, 12, 2825–2830. [Google Scholar]
- Hunter, J.D. Matplotlib: A 2D graphics environment. Comput. Sci. Eng. 2007, 9, 90–95. [Google Scholar] [CrossRef]
- de Oliveira Ferreira, D.A. A produção e o consumo da habitação verticalizada em São Carlos–SP. Geo UERJ 2009, 2, 88–107. [Google Scholar]
- Growww. Os Melhores Bairros Para Morar em São Carlos. 2020. Available online: https://www.blog.cardinali.com.br/2020/12/12/os-melhores-bairros-para-morar-em-sao-carlos/ (accessed on 20 January 2025).
- Seabold, S.; Perktold, J. statsmodels: Econometric and statistical modeling with python. In Proceedings of the 9th Python in Science Conference, Austin, TX, USA, 28 June–3 July 2010. [Google Scholar]













| Metric | Transformed Value | Value in BRL |
|---|---|---|
| MAE | 0.24 | 517.77 |
| MSE | 0.10 | 910,429.47 |
| RMSE | 0.32 | 954.16 |
| R2 | 0.79 | 0.74 |
| Dep. Variable: | Rent_value | R-squared: | 0.711 |
| Model: | OLS | Adj. R-squared: | 0.666 |
| Method: | Least Squares | F-statistic: | 15.92 |
| No. Observations: | 1166 | Prob (F-statistic): | 1.08 |
| Df Residuals: | 1009 | Log-Likelihood: | −9635.1 |
| Df Model: | 156 | AIC: | 1.958 |
| Covariance Type: | nonrobust | BIC: | 2.038 |
| coef | std err | t | [0.025, 0.975] | ||
|---|---|---|---|---|---|
| Furnished[T.Sim] | 258.4720 | 68.272 | 3.786 | 0.000 | [124.501, 392.443] |
| Bedrooms | 386.1371 | 44.553 | 8.667 | 0.000 | [298.709, 473.565] |
| Bathrooms | 415.9925 | 53.066 | 7.839 | 0.000 | [311.860, 520.125] |
| Garages | 160.3343 | 26.629 | 6.021 | 0.000 | [108.079, 212.589] |
| Suites | 522.3489 | 53.845 | 9.701 | 0.000 | [416.689, 628.009] |
| coef | std err | t | [0.025, 0.975] | ||
|---|---|---|---|---|---|
| Neighborhood[T.Vila Carmem] | 352.2406 | 680.464 | 0.518 | 0.605 | [−983.045, 1687.527] |
| Neighborhood[T.Vila Celina] | 1248.5893 | 566.906 | 2.202 | 0.028 | [136.139, 2361.040] |
| Neighborhood[T.Vila Conceição] | 162.8175 | 1106.468 | 0.147 | 0.883 | [−2000.424, 2334.059] |
Disclaimer/Publisher’s Note: The statements, opinions and data contained in all publications are solely those of the individual author(s) and contributor(s) and not of MDPI and/or the editor(s). MDPI and/or the editor(s) disclaim responsibility for any injury to people or property resulting from any ideas, methods, instructions or products referred to in the content. |
© 2025 by the authors. Licensee MDPI, Basel, Switzerland. This article is an open access article distributed under the terms and conditions of the Creative Commons Attribution (CC BY) license (https://creativecommons.org/licenses/by/4.0/).
Share and Cite
Louzada, F.; de Lacerda, K.J.C.C.; Ferreira, P.H.; Gomes, N.D. Smart Renting: Harnessing Urban Data with Statistical and Machine Learning Methods for Predicting Property Rental Prices from a Tenant’s Perspective. Stats 2025, 8, 12. https://doi.org/10.3390/stats8010012
Louzada F, de Lacerda KJCC, Ferreira PH, Gomes ND. Smart Renting: Harnessing Urban Data with Statistical and Machine Learning Methods for Predicting Property Rental Prices from a Tenant’s Perspective. Stats. 2025; 8(1):12. https://doi.org/10.3390/stats8010012
Chicago/Turabian StyleLouzada, Francisco, Kleython José Coriolano Cavalcanti de Lacerda, Paulo Henrique Ferreira, and Naomy Duarte Gomes. 2025. "Smart Renting: Harnessing Urban Data with Statistical and Machine Learning Methods for Predicting Property Rental Prices from a Tenant’s Perspective" Stats 8, no. 1: 12. https://doi.org/10.3390/stats8010012
APA StyleLouzada, F., de Lacerda, K. J. C. C., Ferreira, P. H., & Gomes, N. D. (2025). Smart Renting: Harnessing Urban Data with Statistical and Machine Learning Methods for Predicting Property Rental Prices from a Tenant’s Perspective. Stats, 8(1), 12. https://doi.org/10.3390/stats8010012

